Suppr超能文献

元启发式算法在优化智能健康预测模型中的应用:以透析患者低血压预测为例

Application of Metaheuristics for Optimizing Predictive Models in iHealth: A Case Study on Hypotension Prediction in Dialysis Patients.

作者信息

Cisternas-Caneo Felipe, Santamera-Lastras María, Barrera-Garcia José, Crawford Broderick, Soto Ricardo, Brante-Aguilera Cristóbal, Garcés-Jiménez Alberto, Rodriguez-Puyol Diego, Gómez-Pulido José Manuel

机构信息

Escuela de Ingeniería Informática, Pontificia Universidad Católica de Valparaíso, Avenida Brasil 2241, Valparaíso 2362807, Chile.

Department of Medicine and Medical Specialties, Universidad de Alcalá, Alcalá de Henares, 28805 Madrid, Spain.

出版信息

Biomimetics (Basel). 2025 May 12;10(5):314. doi: 10.3390/biomimetics10050314.

Abstract

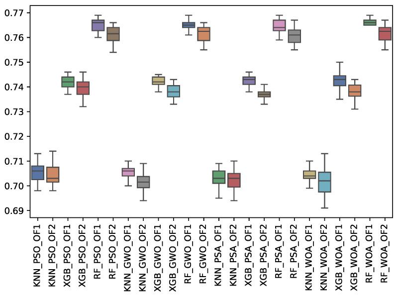
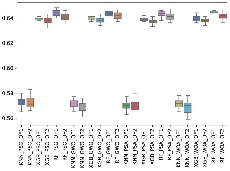
Intradialytic hypotension (IDH) is a critical complication in patients with chronic kidney disease undergoing dialysis, affecting both patient safety and treatment efficacy. This study examines the application of advanced machine learning techniques, combined with metaheuristic optimization methods, to improve predictive models for intradialytic hypotension (IDH) in hemodialysis patients. Given the critical nature of IDH, which can lead to significant complications during dialysis, the development of effective predictive tools is vital for improving patient safety and outcomes. Dialysis session data from 758 patients collected between January 2016 and October 2019 were analyzed. Particle Swarm Optimization, Grey Wolf Optimizer, Pendulum Search Algorithm, and Whale Optimization Algorithm were employed to reduce the feature space, removing approximately 45% of clinical and analytical variables while maintaining high recall for the minority class of patients experiencing hypotension. Among the evaluated models, the XGBoost classifier showed superior performance, achieving a macro F-score of 0.745 with a recall of 0.756 and a precision of 0.718. These results highlight the effectiveness of the combined approach for early identification of patients at risk for IDH, minimizing false negatives, and improving clinical decision-making in nephrology.

摘要

透析中低血压(IDH)是接受透析的慢性肾病患者的一种严重并发症,会影响患者安全和治疗效果。本研究探讨了先进的机器学习技术与元启发式优化方法相结合的应用,以改进血液透析患者透析中低血压(IDH)的预测模型。鉴于IDH的严重性,它可在透析期间导致严重并发症,因此开发有效的预测工具对于提高患者安全和改善预后至关重要。分析了2016年1月至2019年10月期间收集的758例患者的透析 session 数据。采用粒子群优化算法、灰狼优化算法、摆线搜索算法和鲸鱼优化算法来减少特征空间,去除了约45%的临床和分析变量,同时对低血压患者的少数类保持高召回率。在评估的模型中,XGBoost分类器表现出卓越的性能,宏F分数达到0.745,召回率为0.756,精确率为0.718。这些结果凸显了该联合方法在早期识别有IDH风险患者、最大限度减少假阴性以及改善肾脏病临床决策方面的有效性。

https://cdn.ncbi.nlm.nih.gov/pmc/blobs/aa3d/12108628/4587854bd38d/biomimetics-10-00314-g001.jpg

文献检索

告别复杂PubMed语法,用中文像聊天一样搜索,搜遍4000万医学文献。AI智能推荐,让科研检索更轻松。

立即免费搜索

文件翻译

保留排版,准确专业,支持PDF/Word/PPT等文件格式,支持 12+语言互译。

免费翻译文档

深度研究

AI帮你快速写综述,25分钟生成高质量综述,智能提取关键信息,辅助科研写作。

立即免费体验