• 文献检索
  • 文档翻译
  • 深度研究
  • 学术资讯
  • Suppr Zotero 插件Zotero 插件
  • 邀请有礼
  • 套餐&价格
  • 历史记录
应用&插件
Suppr Zotero 插件Zotero 插件浏览器插件Mac 客户端Windows 客户端微信小程序
定价
高级版会员购买积分包购买API积分包
服务
文献检索文档翻译深度研究API 文档MCP 服务
关于我们
关于 Suppr公司介绍联系我们用户协议隐私条款
关注我们

Suppr 超能文献

核心技术专利:CN118964589B侵权必究
粤ICP备2023148730 号-1Suppr @ 2026

文献检索

告别复杂PubMed语法,用中文像聊天一样搜索,搜遍4000万医学文献。AI智能推荐,让科研检索更轻松。

立即免费搜索

文件翻译

保留排版,准确专业,支持PDF/Word/PPT等文件格式,支持 12+语言互译。

免费翻译文档

深度研究

AI帮你快速写综述,25分钟生成高质量综述,智能提取关键信息,辅助科研写作。

立即免费体验

基于柱头颜色变化确定L. 的最佳采收时间。

Determination of Optimal Harvest Time in L. Based upon Stigma Color Transition.

作者信息

Tran Jonathan, Dimech Adam M, Vassiliadis Simone, Elkins Aaron C, Cogan Noel O I, Naim-Feil Erez, Rochfort Simone J

机构信息

Agriculture Victoria Research, Department of Energy, Environment and Climate Action, AgriBio Centre for Agribioscience, Bundoora, Melbourne, VIC 3083, Australia.

School of Applied Systems Biology, La Trobe University, Bundoora, Melbourne, VIC 3083, Australia.

出版信息

Plants (Basel). 2025 May 20;14(10):1532. doi: 10.3390/plants14101532.

DOI:10.3390/plants14101532
PMID:40431097
原文链接:https://pmc.ncbi.nlm.nih.gov/articles/PMC12114869/
Abstract

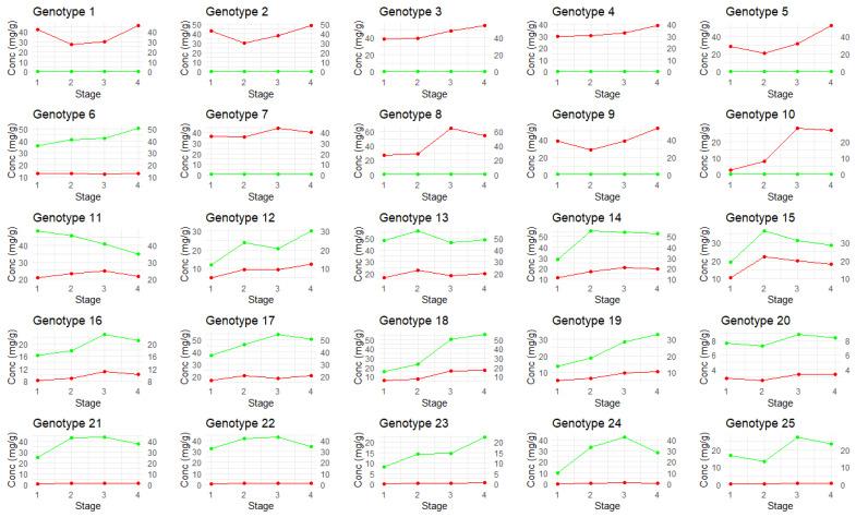
L. is cultivated for therapeutic and recreational use. Delta-9 tetrahydrocannabinol (THC) and cannabidiol (CBD) are primarily responsible for its psychoactive and medicinal effects. As the global cannabis industry continues to expand, constant review and optimization of horticultural practices are needed to ensure a reliable harvest and improved crop quality. There is currently uncertainty about the optimal harvest time of , i.e., when cannabinoid concentrations are at their highest during inflorescence maturation. At present, growers observe the color transition of stigmas from white to amber as an indicator of harvest time. This research investigates the relationship between stigma color and cannabinoid concentration using liquid chromatography-mass spectrometry (LCMS) and digital image analysis. Additionally, early screening prediction models have also been developed for six cannabinoids using near-infrared (NIR) spectroscopy and LCMS to assist in early cannabinoid determination. Among the genotypes grown, 22 of 25 showed cannabinoid concentration peaks between the third (mostly amber) and fourth (fully amber) stages; however, some genotypes peaked within the first (no amber) and second (some amber) stages. We have determined that the current 'rule of thumb' of harvesting when a cannabis plant is mostly amber is still a useful approximation in most cases; however, studies on individual genotypes should be performed to determine their individual optimal harvest time based on the desired cannabinoid profile or total cannabinoid concentration.

摘要

大麻因治疗和娱乐用途而被种植。Δ-9 四氢大麻酚(THC)和大麻二酚(CBD)是其产生精神活性和药用效果的主要原因。随着全球大麻产业的持续扩张,需要不断审查和优化园艺实践,以确保可靠的收成并提高作物质量。目前,关于大麻的最佳收获时间存在不确定性,即在花序成熟期间大麻素浓度何时最高。目前,种植者将柱头颜色从白色变为琥珀色作为收获时间的指标。本研究使用液相色谱 - 质谱联用(LCMS)和数字图像分析来研究柱头颜色与大麻素浓度之间的关系。此外,还使用近红外(NIR)光谱和LCMS为六种大麻素开发了早期筛选预测模型,以协助早期大麻素测定。在所种植的基因型中,25个中有22个在第三阶段(大多为琥珀色)和第四阶段(完全为琥珀色)之间出现大麻素浓度峰值;然而,一些基因型在第一阶段(无琥珀色)和第二阶段(有一些琥珀色)内达到峰值。我们已经确定,目前当大麻植株大多为琥珀色时进行收获的“经验法则”在大多数情况下仍然是一个有用的近似方法;然而,应该对个体基因型进行研究,以根据所需的大麻素谱或总大麻素浓度确定其个体最佳收获时间。

https://cdn.ncbi.nlm.nih.gov/pmc/blobs/96f2/12114869/9b82361fc460/plants-14-01532-g011.jpg
https://cdn.ncbi.nlm.nih.gov/pmc/blobs/96f2/12114869/fa65e4610a96/plants-14-01532-g001.jpg
https://cdn.ncbi.nlm.nih.gov/pmc/blobs/96f2/12114869/af7167d31dac/plants-14-01532-g002.jpg
https://cdn.ncbi.nlm.nih.gov/pmc/blobs/96f2/12114869/482b59e858de/plants-14-01532-g003.jpg
https://cdn.ncbi.nlm.nih.gov/pmc/blobs/96f2/12114869/e8deb294d14f/plants-14-01532-g004.jpg
https://cdn.ncbi.nlm.nih.gov/pmc/blobs/96f2/12114869/bc4d65506935/plants-14-01532-g005.jpg
https://cdn.ncbi.nlm.nih.gov/pmc/blobs/96f2/12114869/6ddfc27fdb46/plants-14-01532-g006.jpg
https://cdn.ncbi.nlm.nih.gov/pmc/blobs/96f2/12114869/3605cdeecc49/plants-14-01532-g007.jpg
https://cdn.ncbi.nlm.nih.gov/pmc/blobs/96f2/12114869/29e192d2b3a4/plants-14-01532-g008.jpg
https://cdn.ncbi.nlm.nih.gov/pmc/blobs/96f2/12114869/afce9ca3130c/plants-14-01532-g009.jpg
https://cdn.ncbi.nlm.nih.gov/pmc/blobs/96f2/12114869/73513f4a9c8c/plants-14-01532-g010.jpg
https://cdn.ncbi.nlm.nih.gov/pmc/blobs/96f2/12114869/9b82361fc460/plants-14-01532-g011.jpg
https://cdn.ncbi.nlm.nih.gov/pmc/blobs/96f2/12114869/fa65e4610a96/plants-14-01532-g001.jpg
https://cdn.ncbi.nlm.nih.gov/pmc/blobs/96f2/12114869/af7167d31dac/plants-14-01532-g002.jpg
https://cdn.ncbi.nlm.nih.gov/pmc/blobs/96f2/12114869/482b59e858de/plants-14-01532-g003.jpg
https://cdn.ncbi.nlm.nih.gov/pmc/blobs/96f2/12114869/e8deb294d14f/plants-14-01532-g004.jpg
https://cdn.ncbi.nlm.nih.gov/pmc/blobs/96f2/12114869/bc4d65506935/plants-14-01532-g005.jpg
https://cdn.ncbi.nlm.nih.gov/pmc/blobs/96f2/12114869/6ddfc27fdb46/plants-14-01532-g006.jpg
https://cdn.ncbi.nlm.nih.gov/pmc/blobs/96f2/12114869/3605cdeecc49/plants-14-01532-g007.jpg
https://cdn.ncbi.nlm.nih.gov/pmc/blobs/96f2/12114869/29e192d2b3a4/plants-14-01532-g008.jpg
https://cdn.ncbi.nlm.nih.gov/pmc/blobs/96f2/12114869/afce9ca3130c/plants-14-01532-g009.jpg
https://cdn.ncbi.nlm.nih.gov/pmc/blobs/96f2/12114869/73513f4a9c8c/plants-14-01532-g010.jpg
https://cdn.ncbi.nlm.nih.gov/pmc/blobs/96f2/12114869/9b82361fc460/plants-14-01532-g011.jpg

相似文献

1
Determination of Optimal Harvest Time in L. Based upon Stigma Color Transition.基于柱头颜色变化确定L. 的最佳采收时间。
Plants (Basel). 2025 May 20;14(10):1532. doi: 10.3390/plants14101532.
2
Developing Prediction Models Using Near-Infrared Spectroscopy to Quantify Cannabinoid Content in .利用近红外光谱法开发预测模型,定量分析. 中的大麻素含量。
Sensors (Basel). 2023 Feb 27;23(5):2607. doi: 10.3390/s23052607.
3
Rapid In Situ Near-Infrared Assessment of Tetrahydrocannabinolic Acid in Cannabis Inflorescences before Harvest Using Machine Learning.使用机器学习技术在收获前对大麻花序中的四氢大麻酚酸进行快速原位近红外评估。
Sensors (Basel). 2024 Aug 6;24(16):5081. doi: 10.3390/s24165081.
4
Optimal nitrogen rates and clonal effects on cannabinoid yields of medicinal cannabis.最佳氮素施用量及克隆效应对药用大麻大麻素产量的影响
Sci Rep. 2025 Apr 10;15(1):12341. doi: 10.1038/s41598-025-96761-6.
5
Development and Validation of a Simple, Fast, and Accessible HPLC-UV Method for Cannabinoids Determination in L. Extracts and Medicinal Oils.开发并验证了一种简单、快速、易于使用的 HPLC-UV 方法,用于测定 L.提取物和药用油中的大麻素。
Curr Pharm Des. 2023;29(24):1918-1928. doi: 10.2174/1381612829666230809094304.
6
Effect of augmented nutrient composition and fertigation system on biomass yield and cannabinoid content of medicinal cannabis ( L.) cultivation.增加营养成分和滴灌系统对药用大麻(L.)种植的生物量产量和大麻素含量的影响。
Front Plant Sci. 2024 Jan 24;15:1322824. doi: 10.3389/fpls.2024.1322824. eCollection 2024.
7
First systematic evaluation of the potency of Cannabis sativa plants grown in Albania.首次对在阿尔巴尼亚种植的大麻植物药效进行系统评估。
Forensic Sci Int. 2012 Oct 10;222(1-3):40-6. doi: 10.1016/j.forsciint.2012.04.032. Epub 2012 May 18.
8
(-)--Δ-Tetrahydrocannabiphorol Content of Inflorescence from Various Chemotypes.不同化学型大麻雌花花序中四氢大麻酚的含量。
J Nat Prod. 2021 Feb 26;84(2):531-536. doi: 10.1021/acs.jnatprod.0c01034. Epub 2021 Feb 10.
9
Multivariate classification of cannabis chemovars based on their terpene and cannabinoid profiles.基于萜烯和大麻素特征对大麻化学型进行多元分类。
Phytochemistry. 2022 Aug;200:113215. doi: 10.1016/j.phytochem.2022.113215. Epub 2022 Apr 26.
10
Effect of harvest time on the compositional changes in essential oils, cannabinoids, and waxes of hemp ( L.).收获时间对大麻(L.)精油、大麻素和蜡成分变化的影响。
R Soc Open Sci. 2022 Jun 15;9(6):211699. doi: 10.1098/rsos.211699. eCollection 2022 Jun.

本文引用的文献

1
Digitally Quantifying Growth and Verdancy of Plants In Vitro.植物离体生长与翠绿度的数字量化
Plants (Basel). 2025 May 16;14(10):1499. doi: 10.3390/plants14101499.
2
Rapid In Situ Near-Infrared Assessment of Tetrahydrocannabinolic Acid in Cannabis Inflorescences before Harvest Using Machine Learning.使用机器学习技术在收获前对大麻花序中的四氢大麻酚酸进行快速原位近红外评估。
Sensors (Basel). 2024 Aug 6;24(16):5081. doi: 10.3390/s24165081.
3
The Cannabinoids, CBDA and THCA, Rescue Memory Deficits and Reduce Amyloid-Beta and Tau Pathology in an Alzheimer's Disease-like Mouse Model.
大麻素、CBDA 和 THCA 可挽救阿尔茨海默病样小鼠模型的记忆缺陷,并减少淀粉样-β和 Tau 病理。
Int J Mol Sci. 2023 Apr 6;24(7):6827. doi: 10.3390/ijms24076827.
4
Glandular trichome development, morphology, and maturation are influenced by plant age and genotype in high THC-containing cannabis (Cannabis sativa L.) inflorescences.在高四氢大麻酚含量的大麻( Cannabis sativa L.)花序中,腺毛的发育、形态和成熟受植株年龄和基因型的影响。
J Cannabis Res. 2023 Apr 4;5(1):12. doi: 10.1186/s42238-023-00178-9.
5
Developing Prediction Models Using Near-Infrared Spectroscopy to Quantify Cannabinoid Content in .利用近红外光谱法开发预测模型,定量分析. 中的大麻素含量。
Sensors (Basel). 2023 Feb 27;23(5):2607. doi: 10.3390/s23052607.
6
The Cannabis Plant as a Complex System: Interrelationships between Cannabinoid Compositions, Morphological, Physiological and Phenological Traits.作为复杂系统的大麻植物:大麻素成分、形态、生理和物候特征之间的相互关系。
Plants (Basel). 2023 Jan 21;12(3):493. doi: 10.3390/plants12030493.
7
Identification and mapping of major-effect flowering time loci and in L.L.中主要开花时间基因座的鉴定与定位
Front Plant Sci. 2022 Sep 21;13:991680. doi: 10.3389/fpls.2022.991680. eCollection 2022.
8
The Efficacy of Cannabis on Multiple Sclerosis-Related Symptoms.大麻对多发性硬化症相关症状的疗效。
Life (Basel). 2022 May 5;12(5):682. doi: 10.3390/life12050682.
9
High-Throughput Quantitation of Cannabinoids by Liquid Chromatography Triple-Quadrupole Mass Spectrometry.采用液相色谱三重四极杆质谱法对大麻素进行高通量定量分析。
Molecules. 2022 Jan 24;27(3):742. doi: 10.3390/molecules27030742.
10
Impact of Harvest Time and Pruning Technique on Total CBD Concentration and Yield of Medicinal Cannabis.收获时间和修剪技术对药用大麻总大麻二酚(CBD)含量及产量的影响
Plants (Basel). 2022 Jan 5;11(1):140. doi: 10.3390/plants11010140.