• 文献检索
  • 文档翻译
  • 深度研究
  • 学术资讯
  • Suppr Zotero 插件Zotero 插件
  • 邀请有礼
  • 套餐&价格
  • 历史记录
应用&插件
Suppr Zotero 插件Zotero 插件浏览器插件Mac 客户端Windows 客户端微信小程序
定价
高级版会员购买积分包购买API积分包
服务
文献检索文档翻译深度研究API 文档MCP 服务
关于我们
关于 Suppr公司介绍联系我们用户协议隐私条款
关注我们

Suppr 超能文献

核心技术专利:CN118964589B侵权必究
粤ICP备2023148730 号-1Suppr @ 2026

文献检索

告别复杂PubMed语法,用中文像聊天一样搜索,搜遍4000万医学文献。AI智能推荐,让科研检索更轻松。

立即免费搜索

文件翻译

保留排版,准确专业,支持PDF/Word/PPT等文件格式,支持 12+语言互译。

免费翻译文档

深度研究

AI帮你快速写综述,25分钟生成高质量综述,智能提取关键信息,辅助科研写作。

立即免费体验

源自肿瘤免疫相互作用机制模型的mRNA疫苗疗效生物标志物。

Biomarkers of mRNA vaccine efficacy derived from mechanistic modeling of tumor-immune interactions.

作者信息

Voutouri Chrysovalantis, Munn Lance L, Stylianopoulos Triantafyllos, Jain Rakesh K

机构信息

Cancer Biophysics Laboratory, Department of Mechanical and Manufacturing Engineering, University of Cyprus, Nicosia, Cyprus.

Edwin L Steele Laboratories, Department of Radiation Oncology, Massachusetts General Hospital and Harvard Medical School, Boston, Massachusetts, United States of America.

出版信息

PLoS Comput Biol. 2025 Jun 12;21(6):e1013163. doi: 10.1371/journal.pcbi.1013163. eCollection 2025 Jun.

DOI:10.1371/journal.pcbi.1013163
PMID:40504865
原文链接:https://pmc.ncbi.nlm.nih.gov/articles/PMC12201673/
Abstract

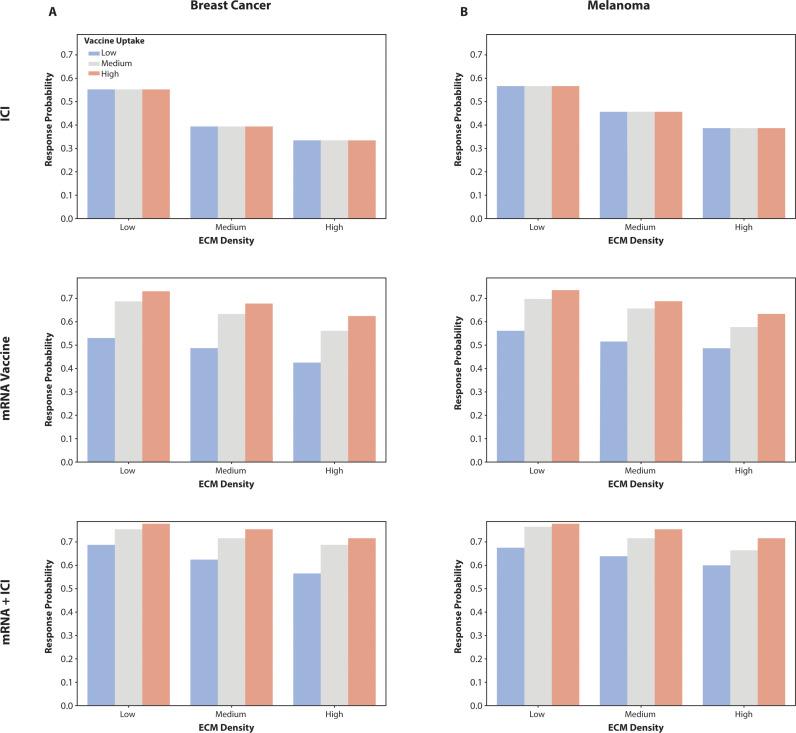
The success of mRNA vaccines against infectious diseases such as COVID-19 has opened new avenues for their application in oncology. In cancer immunotherapy, mRNA vaccines-typically encapsulated in lipid nanoparticles (LNPs) 100-200 nm in size-enable delivery of tumor-specific antigens to activate immune responses. Here, we investigated the efficacy of mRNA vaccines in cancer by modeling tumor-immune interactions and tumor microenvironment (TME) dynamics to identify predictive biomarkers. Using a mechanistic mathematical model, we simulated tumor growth, immune cell dynamics, and vaccine pharmacokinetics in virtual cohorts of 1,635 patients generated via Latin hypercube sampling. Our simulations demonstrated a 45% average tumor size reduction and a 60% increase in CD8 + T cell infiltration in responsive tumors. Multiple regression analyses validated the predictive power of both pre- and on-treatment biomarkers. Key predictors of vaccine efficacy included antigen-presenting cell (APC) density and cytotoxic T cell fraction. Specifically, an APC density above 500 cells/mm³ in lymph nodes correlated with a 55% increase in vaccine response rates, while a cytotoxic T cell fraction above 20% in tumors was associated with a 60% reduction in tumor volume. A reduced M2/M1 macrophage ratio further improved treatment outcomes by 50%, highlighting the role of reprograming immunosuppressive macrophages. TME characteristics significantly influenced vaccine efficacy. Low extracellular matrix (ECM) density-modeled as a 5-10 × increase in hydraulic conductivity-combined with medium cytokine levels (IL-2 and TNF-α at 10-50 pg/ml), created optimal conditions for immune activation. Under these conditions, vaccine uptake improved by 35% and cytotoxic T cell infiltration increased by 65%, resulting in up to a 50% improvement in therapeutic outcomes. Model predictions aligned with pre-clinical data from melanoma and breast cancer models. These findings provide a framework for optimizing mRNA vaccine strategies and advancing personalized cancer immunotherapy.

摘要

针对 COVID-19 等传染病的 mRNA 疫苗的成功,为其在肿瘤学中的应用开辟了新途径。在癌症免疫治疗中,mRNA 疫苗(通常封装在大小为 100 - 200 纳米的脂质纳米颗粒(LNP)中)能够递送肿瘤特异性抗原以激活免疫反应。在此,我们通过模拟肿瘤 - 免疫相互作用和肿瘤微环境(TME)动态来研究 mRNA 疫苗在癌症中的疗效,以识别预测性生物标志物。使用一个机械数学模型,我们在通过拉丁超立方抽样生成的 1635 名患者的虚拟队列中模拟了肿瘤生长、免疫细胞动态和疫苗药代动力学。我们的模拟显示,在有反应的肿瘤中,平均肿瘤大小减少了 45%,CD8 + T 细胞浸润增加了 60%。多元回归分析验证了治疗前和治疗中生物标志物的预测能力。疫苗疗效的关键预测指标包括抗原呈递细胞(APC)密度和细胞毒性 T 细胞分数。具体而言,淋巴结中 APC 密度高于 500 个细胞/mm³与疫苗反应率增加 55%相关,而肿瘤中细胞毒性 T 细胞分数高于 20%与肿瘤体积减少 60%相关。降低的 M2/M1 巨噬细胞比率进一步使治疗效果提高了 50%,突出了重编程免疫抑制巨噬细胞的作用。TME 特征显著影响疫苗疗效。低细胞外基质(ECM)密度(模拟为水力传导率增加 5 - 10 倍)与中等细胞因子水平(IL - 2 和 TNF -α为 10 - 50 pg/ml)相结合,为免疫激活创造了最佳条件。在这些条件下,疫苗摄取提高了 35%,细胞毒性 T 细胞浸润增加了 65%,治疗效果提高了多达 50%。模型预测与来自黑色素瘤和乳腺癌模型的临床前数据一致。这些发现为优化 mRNA 疫苗策略和推进个性化癌症免疫治疗提供了一个框架。

https://cdn.ncbi.nlm.nih.gov/pmc/blobs/7f84/12201673/5c5864c0e4e4/pcbi.1013163.g007.jpg
https://cdn.ncbi.nlm.nih.gov/pmc/blobs/7f84/12201673/6e223e7f0235/pcbi.1013163.g001.jpg
https://cdn.ncbi.nlm.nih.gov/pmc/blobs/7f84/12201673/f128a4c7cbef/pcbi.1013163.g002.jpg
https://cdn.ncbi.nlm.nih.gov/pmc/blobs/7f84/12201673/1e0639e9a885/pcbi.1013163.g003.jpg
https://cdn.ncbi.nlm.nih.gov/pmc/blobs/7f84/12201673/8bddf226923c/pcbi.1013163.g004.jpg
https://cdn.ncbi.nlm.nih.gov/pmc/blobs/7f84/12201673/00f1803d338e/pcbi.1013163.g005.jpg
https://cdn.ncbi.nlm.nih.gov/pmc/blobs/7f84/12201673/1c904c918be4/pcbi.1013163.g006.jpg
https://cdn.ncbi.nlm.nih.gov/pmc/blobs/7f84/12201673/5c5864c0e4e4/pcbi.1013163.g007.jpg
https://cdn.ncbi.nlm.nih.gov/pmc/blobs/7f84/12201673/6e223e7f0235/pcbi.1013163.g001.jpg
https://cdn.ncbi.nlm.nih.gov/pmc/blobs/7f84/12201673/f128a4c7cbef/pcbi.1013163.g002.jpg
https://cdn.ncbi.nlm.nih.gov/pmc/blobs/7f84/12201673/1e0639e9a885/pcbi.1013163.g003.jpg
https://cdn.ncbi.nlm.nih.gov/pmc/blobs/7f84/12201673/8bddf226923c/pcbi.1013163.g004.jpg
https://cdn.ncbi.nlm.nih.gov/pmc/blobs/7f84/12201673/00f1803d338e/pcbi.1013163.g005.jpg
https://cdn.ncbi.nlm.nih.gov/pmc/blobs/7f84/12201673/1c904c918be4/pcbi.1013163.g006.jpg
https://cdn.ncbi.nlm.nih.gov/pmc/blobs/7f84/12201673/5c5864c0e4e4/pcbi.1013163.g007.jpg

相似文献

1
Biomarkers of mRNA vaccine efficacy derived from mechanistic modeling of tumor-immune interactions.源自肿瘤免疫相互作用机制模型的mRNA疫苗疗效生物标志物。
PLoS Comput Biol. 2025 Jun 12;21(6):e1013163. doi: 10.1371/journal.pcbi.1013163. eCollection 2025 Jun.
2
Unleashing the future of cancer immunotherapy: in silico design of a multi-epitope and mRNA vaccine duo targeting EWSR1-ATF1, EWSR1-CREB1, and PRAME to conquer clear cell sarcoma using immunoinformatics approaches.释放癌症免疫治疗的未来:利用免疫信息学方法对靶向EWSR1-ATF1、EWSR1-CREB1和PRAME的多表位和mRNA疫苗组合进行计算机设计,以攻克透明细胞肉瘤。
Med Oncol. 2025 Jun 28;42(8):295. doi: 10.1007/s12032-025-02863-6.
3
Systemic treatments for metastatic cutaneous melanoma.转移性皮肤黑色素瘤的全身治疗
Cochrane Database Syst Rev. 2018 Feb 6;2(2):CD011123. doi: 10.1002/14651858.CD011123.pub2.
4
Immunogenicity and seroefficacy of pneumococcal conjugate vaccines: a systematic review and network meta-analysis.肺炎球菌结合疫苗的免疫原性和血清效力:系统评价和网络荟萃分析。
Health Technol Assess. 2024 Jul;28(34):1-109. doi: 10.3310/YWHA3079.
5
Signs and symptoms to determine if a patient presenting in primary care or hospital outpatient settings has COVID-19.在基层医疗机构或医院门诊环境中,如果患者出现以下症状和体征,可判断其是否患有 COVID-19。
Cochrane Database Syst Rev. 2022 May 20;5(5):CD013665. doi: 10.1002/14651858.CD013665.pub3.
6
Systemic pharmacological treatments for chronic plaque psoriasis: a network meta-analysis.系统性药理学治疗慢性斑块状银屑病:网络荟萃分析。
Cochrane Database Syst Rev. 2021 Apr 19;4(4):CD011535. doi: 10.1002/14651858.CD011535.pub4.
7
Better, Faster, Stronger: Accelerating mRNA-Based Immunotherapies With Nanocarriers.更好、更快、更强:纳米载体加速基于 mRNA 的免疫疗法。
Wiley Interdiscip Rev Nanomed Nanobiotechnol. 2024 Nov-Dec;16(6):e2017. doi: 10.1002/wnan.2017.
8
Systemic pharmacological treatments for chronic plaque psoriasis: a network meta-analysis.慢性斑块状银屑病的全身药理学治疗:一项网状荟萃分析。
Cochrane Database Syst Rev. 2017 Dec 22;12(12):CD011535. doi: 10.1002/14651858.CD011535.pub2.
9
Extracellular vesicles derived from mature dendritic cells loaded with cDC1-specific chemokine XCL1 combined with chemotherapy-induced ICD for the treatment of castration-resistant prostate cancer.负载cDC1特异性趋化因子XCL1的成熟树突状细胞衍生的细胞外囊泡联合化疗诱导的免疫原性细胞死亡用于去势抵抗性前列腺癌的治疗。
Cancer Immunol Immunother. 2025 Jun 18;74(8):242. doi: 10.1007/s00262-025-04070-8.
10
Systemic pharmacological treatments for chronic plaque psoriasis: a network meta-analysis.慢性斑块状银屑病的全身药理学治疗:一项网状Meta分析。
Cochrane Database Syst Rev. 2020 Jan 9;1(1):CD011535. doi: 10.1002/14651858.CD011535.pub3.

本文引用的文献

1
Effectiveness of a single COVID-19 mRNA vaccine dose in individuals with prior SARS-CoV-2 infection: a systematic review.一剂新冠病毒mRNA疫苗对既往感染过严重急性呼吸综合征冠状病毒2的个体的有效性:一项系统评价
Commun Med (Lond). 2025 May 3;5(1):151. doi: 10.1038/s43856-025-00882-y.
2
Using mathematical modelling and AI to improve delivery and efficacy of therapies in cancer.利用数学建模和人工智能提高癌症治疗的递送效率和疗效。
Nat Rev Cancer. 2025 May;25(5):324-340. doi: 10.1038/s41568-025-00796-w. Epub 2025 Feb 19.
3
Systematic review and meta-analysis of COVID-19 mRNA vaccine effectiveness against hospitalizations in adults.
关于新冠病毒mRNA疫苗对成人住院治疗有效性的系统评价和荟萃分析。
Immunother Adv. 2024 Nov 27;4(1):ltae011. doi: 10.1093/immadv/ltae011. eCollection 2024.
4
Modulating cancer mechanopathology to restore vascular function and enhance immunotherapy.调节癌症机制病理学以恢复血管功能并增强免疫疗法。
Cell Rep Med. 2024 Jul 16;5(7):101626. doi: 10.1016/j.xcrm.2024.101626. Epub 2024 Jun 28.
5
Complex heatmap visualization.复杂热图可视化。
Imeta. 2022 Aug 1;1(3):e43. doi: 10.1002/imt2.43. eCollection 2022 Sep.
6
Dynamic heterogeneity in COVID-19: Insights from a mathematical model.COVID-19 的动态异质性:数学模型的启示。
PLoS One. 2024 May 31;19(5):e0301780. doi: 10.1371/journal.pone.0301780. eCollection 2024.
7
Cancer mRNA vaccines: clinical advances and future opportunities.癌症 mRNA 疫苗:临床进展和未来机遇。
Nat Rev Clin Oncol. 2024 Jul;21(7):489-500. doi: 10.1038/s41571-024-00902-1. Epub 2024 May 17.
8
In silico clinical studies for optimal COVID-19 vaccination schedules in patients with cancer.计算机模拟临床研究以确定癌症患者的最佳 COVID-19 疫苗接种方案。
Cell Rep Med. 2024 Mar 19;5(3):101436. doi: 10.1016/j.xcrm.2024.101436.
9
Investigating the synergistic effects of immunotherapy and normalization treatment in modulating tumor microenvironment and enhancing treatment efficacy.探讨免疫治疗和规范化治疗在调节肿瘤微环境和增强治疗效果方面的协同作用。
J Theor Biol. 2024 Apr 21;583:111768. doi: 10.1016/j.jtbi.2024.111768. Epub 2024 Feb 23.
10
Lipid Nanoparticle (LNP) Delivery Carrier-Assisted Targeted Controlled Release mRNA Vaccines in Tumor Immunity.脂质纳米颗粒(LNP)递送载体辅助的肿瘤免疫靶向控释mRNA疫苗
Vaccines (Basel). 2024 Feb 12;12(2):186. doi: 10.3390/vaccines12020186.