Berski Slawomir
Faculty of Chemistry, University of Wroclaw, 14 F. Joliot-Curie, 50-383 Wroclaw, Poland.
Molecules. 2025 May 28;30(11):2357. doi: 10.3390/molecules30112357.
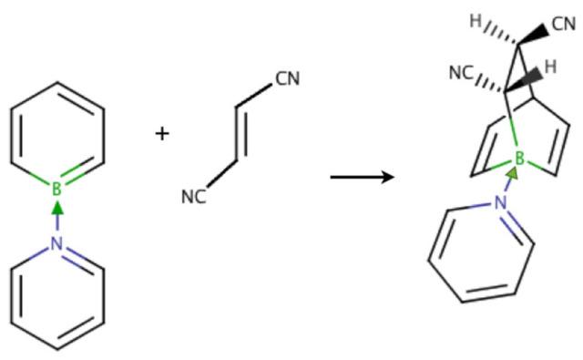
The mechanism of the DA cycloaddition reaction between the pyridine adduct of borabenzene and acetylene has been investigated using topological analysis of the electron localization function (ELF) and catastrophe theory (bonding evolution theory, BET). The study focuses on the differences in the electronic structures of C-C and C-B bonds during their formation. Additionally, the influence of electron density functionals with different constructions (B3LYP, CAM-B3LYP, B2PLYP, M06, M062X, and M052X) on the BET results was examined. The reaction proceeds through ten distinct phases. The B-C bond forms first, followed by the C-C bond. Significant differences were observed in the behavior of the non-bonding basins V(C) and V(B) compared to the V(C), V(C) basins, which precede the formation of the bonding basins V(B,C) and V(C,C). The use of different functionals results in quantitative variations in the lengths and positions of the reaction phases-for example, relative to the transition state structure. A possible qualitative influence on the overall picture of the reaction mechanism is suggested by the results obtained using the CAM-B3LYP and B2PLYP functionals, particularly in phases VI and VII.
利用电子定位函数(ELF)的拓扑分析和突变理论(键演化理论,BET)研究了硼苯吡啶加合物与乙炔之间的DA环加成反应机理。该研究聚焦于C-C键和C-B键形成过程中电子结构的差异。此外,还考察了不同结构的电子密度泛函(B3LYP、CAM-B3LYP、B2PLYP、M06、M062X和M052X)对BET结果的影响。该反应通过十个不同阶段进行。首先形成B-C键,随后形成C-C键。与在形成成键盆地V(B,C)和V(C,C)之前的V(C)、V(C)盆地相比,观察到非键合盆地V(C)和V(B)的行为存在显著差异。使用不同的泛函会导致反应阶段的长度和位置出现定量变化——例如,相对于过渡态结构。使用CAM-B3LYP和B2PLYP泛函获得的结果表明,可能对反应机理的整体情况产生定性影响,特别是在阶段VI和VII。