• 文献检索
  • 文档翻译
  • 深度研究
  • 学术资讯
  • Suppr Zotero 插件Zotero 插件
  • 邀请有礼
  • 套餐&价格
  • 历史记录
应用&插件
Suppr Zotero 插件Zotero 插件浏览器插件Mac 客户端Windows 客户端微信小程序
定价
高级版会员购买积分包购买API积分包
服务
文献检索文档翻译深度研究API 文档MCP 服务
关于我们
关于 Suppr公司介绍联系我们用户协议隐私条款
关注我们

Suppr 超能文献

核心技术专利:CN118964589B侵权必究
粤ICP备2023148730 号-1Suppr @ 2026

文献检索

告别复杂PubMed语法,用中文像聊天一样搜索,搜遍4000万医学文献。AI智能推荐,让科研检索更轻松。

立即免费搜索

文件翻译

保留排版,准确专业,支持PDF/Word/PPT等文件格式,支持 12+语言互译。

免费翻译文档

深度研究

AI帮你快速写综述,25分钟生成高质量综述,智能提取关键信息,辅助科研写作。

立即免费体验

与生命基本八项评分中的种族和民族差异相关的趋势及关键因素

Trends and Key Factors Associated With Racial and Ethnic Differences in Life's Essential 8 Scores.

作者信息

Yang Huanhuan, Huang Chenxi, Sawano Mitsuaki, Herrin Jeph, Faridi Kamil F, Li Zhihui, Spatz Erica, Krumholz Harlan M, Lu Yuan

机构信息

Center for Outcomes Research and Evaluation, Yale New Haven Hospital, New Haven, Connecticut.

Vanke School of Public Health, Tsinghua University, Beijing, China.

出版信息

JAMA Netw Open. 2025 Jun 2;8(6):e2516663. doi: 10.1001/jamanetworkopen.2025.16663.

DOI:10.1001/jamanetworkopen.2025.16663
PMID:40531529
原文链接:https://pmc.ncbi.nlm.nih.gov/articles/PMC12177675/
Abstract

IMPORTANCE

Significant racial and ethnic differences exist in Life's Essential 8 (LE8), but the trends in these differences over time are not well understood. Additionally, the key components of LE8 associated with these differences are unclear.

OBJECTIVES

To evaluate trends in racial and ethnic differences in LE8 over a 10-year period and to identify the primary factors associated with the LE8 differences.

DESIGN, SETTING, AND PARTICIPANTS: Serial population-based cross-sectional study of the National Health and Nutrition Examination Survey from 2011 to 2020 that included adults aged 20 to 79 years. The analysis was performed between March and October 2024.

EXPOSURE

Self-reported race and ethnicity.

MAIN OUTCOME AND MEASURES

Trends in racial and ethnic differences in LE8 and primary factors associated with the differences.

RESULTS

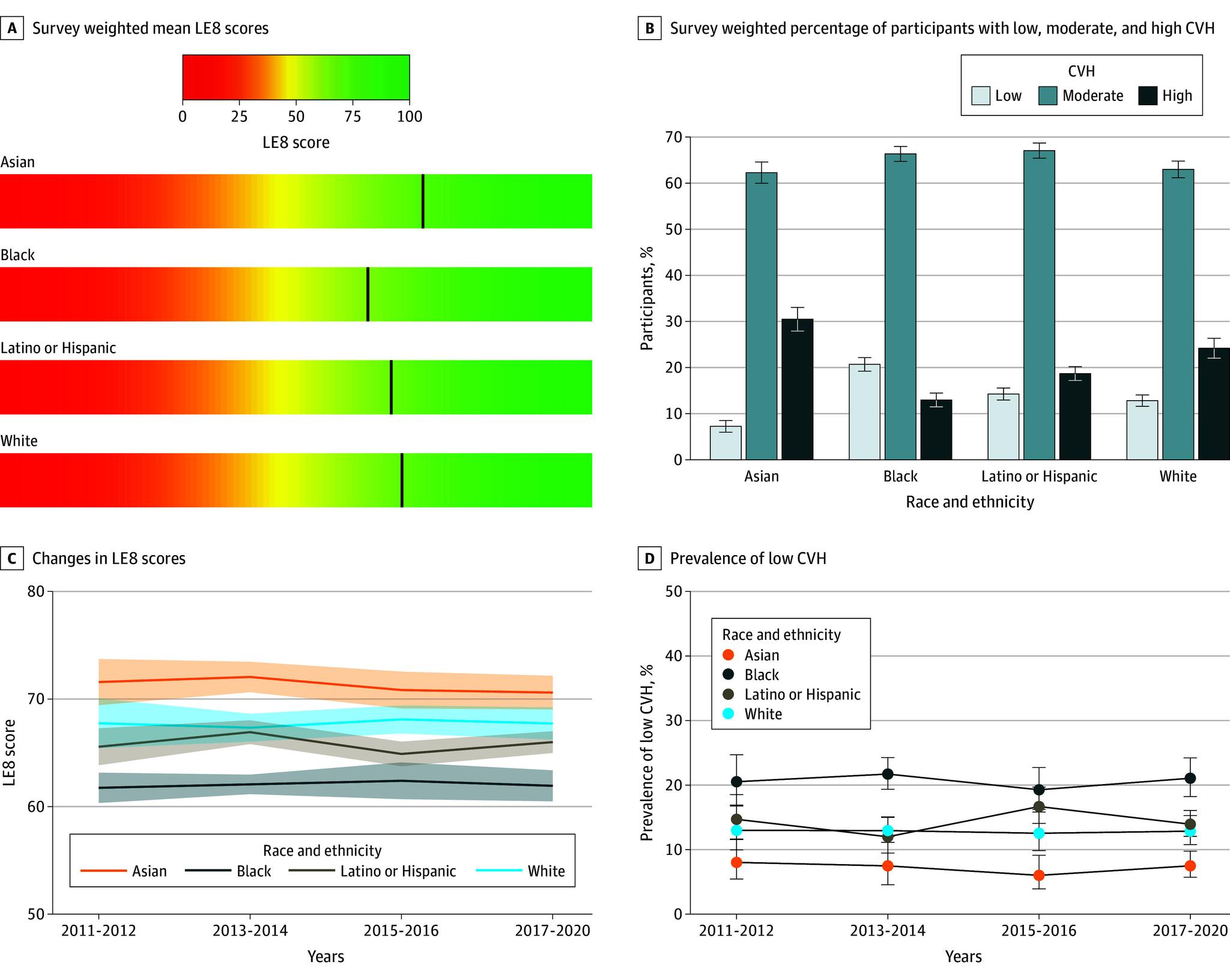
The median (IQR) age of the 16 104 participants was 46 (32-59) years; 8262 (51.1%) were women; 1974 (5.2%) were Asian, 3918 (10.9%) were Black, 4144 (15.7%) were Latino/Hispanic, and 6068 (68.2%) were White. From 2011 to 2020, Asian adults had the highest LE8 score (71.2; 95% CI, 70.3-72.0), followed by White (67.7; 95% CI, 66.9-68.6) and Latino/Hispanic (65.9; 95% CI, 61.3-62.7) adults, and Black adults (62.0) had the lowest LE8 score. These racial and ethnic differences in LE8 overall score did not significantly change from 2011 to 2020. However, the differences in several individual components of LE8 changed significantly. For example, the Latino/Hispanic vs White difference in sleep health score significantly increased, from -1.25 to -4.38, with a descriptive difference-of-differences of -3.12 (95% CI, -5.83 to -0.42; P = .02). In 2017 to 2020, all but blood lipids and nicotine exposure were negatively associated factors (z scores <0) for the Black vs White difference; nicotine exposure was the key positive (z score = 1.01), while physical activity was the key negative (z score = -1.01) factor associated with the Latino/Hispanic vs White difference; nicotine exposure (z score = 2.59) and diet (z score = 2.12) were the primary positive factors associated with Asian vs White difference.

CONCLUSIONS AND RELEVANCE

In this cross-sectional study, racial and ethnic differences in overall LE8 scores compared with White adults remained largely unchanged from 2011 to 2020. These differences were associated with varying components across different racial and ethnic groups, emphasizing the need for targeted, group-specific interventions.

摘要

重要性

生命基本八项指标(LE8)存在显著的种族和民族差异,但这些差异随时间的变化趋势尚不清楚。此外,与这些差异相关的LE8关键组成部分也不明确。

目的

评估10年间LE8种族和民族差异的趋势,并确定与LE8差异相关的主要因素。

设计、设置和参与者:基于2011年至2020年美国国家健康与营养检查调查的系列人群横断面研究,纳入20至79岁的成年人。分析于2024年3月至10月进行。

暴露因素

自我报告的种族和民族。

主要结局和测量指标

LE8种族和民族差异的趋势以及与差异相关的主要因素。

结果

16104名参与者的年龄中位数(四分位间距)为46(32 - 59)岁;8262名(51.1%)为女性;1974名(5.2%)为亚洲人,3918名(10.9%)为黑人,4144名(15.7%)为拉丁裔/西班牙裔,6068名(68.2%)为白人。从2011年到2020年,亚洲成年人的LE8得分最高(71.2;95%置信区间,70.3 - 72.0),其次是白人(67.7;95%置信区间,66.9 - 68.6)和拉丁裔/西班牙裔成年人(65.9;95%置信区间,61.3 - 62.7),黑人成年人(62.0)的LE8得分最低。从2011年到2020年,LE8总分的这些种族和民族差异没有显著变化。然而,LE8几个个体组成部分的差异有显著变化。例如,拉丁裔/西班牙裔与白人在睡眠健康得分上的差异显著增加,从 - 1.25增至 - 4.38,描述性差异差值为 - 3.12(95%置信区间, - 5.83至 - 0.42;P = 0.02)。在2017年至2020年,除血脂和尼古丁暴露外,所有因素都是黑人与白人差异的负相关因素(z分数<0);尼古丁暴露是关键的正相关因素(z分数 = 1.01),而体育活动是与拉丁裔/西班牙裔与白人差异相关的关键负相关因素(z分数 = - 1.01);尼古丁暴露(z分数 = 2.59)和饮食(z分数 = 2.12)是与亚洲人与白人差异相关的主要正相关因素。

结论与意义

在这项横断面研究中,与白人成年人相比,2011年至2020年LE8总分的种族和民族差异基本保持不变。这些差异与不同种族和民族群体的不同组成部分相关,强调了针对性的、特定群体干预措施的必要性。

https://cdn.ncbi.nlm.nih.gov/pmc/blobs/4bc2/12177675/fb25826f5684/jamanetwopen-e2516663-g002.jpg
https://cdn.ncbi.nlm.nih.gov/pmc/blobs/4bc2/12177675/baaef18ba761/jamanetwopen-e2516663-g001.jpg
https://cdn.ncbi.nlm.nih.gov/pmc/blobs/4bc2/12177675/fb25826f5684/jamanetwopen-e2516663-g002.jpg
https://cdn.ncbi.nlm.nih.gov/pmc/blobs/4bc2/12177675/baaef18ba761/jamanetwopen-e2516663-g001.jpg
https://cdn.ncbi.nlm.nih.gov/pmc/blobs/4bc2/12177675/fb25826f5684/jamanetwopen-e2516663-g002.jpg

相似文献

1
Trends and Key Factors Associated With Racial and Ethnic Differences in Life's Essential 8 Scores.与生命基本八项评分中的种族和民族差异相关的趋势及关键因素
JAMA Netw Open. 2025 Jun 2;8(6):e2516663. doi: 10.1001/jamanetworkopen.2025.16663.
2
Factors Associated with Opting Out of an Unrelated Hematopoietic Stem Cell Donor Registry: Differences and Similarities across Five Key Groups of Young Race/Ethnically Diverse Potential Donors in the United States.与选择退出无关造血干细胞捐献者登记相关的因素:美国五个关键年轻种族/族裔多样化潜在供者群体的差异和相似之处。
Transplant Cell Ther. 2024 May;30(5):512.e1-512.e15. doi: 10.1016/j.jtct.2024.02.012. Epub 2024 Feb 14.
3
Mortality due to falls by county, age group, race, and ethnicity in the USA, 2000-19: a systematic analysis of health disparities.美国 2000-19 年按县、年龄组、种族和民族划分的因跌倒导致的死亡率:健康差距的系统分析。
Lancet Public Health. 2024 Aug;9(8):e539-e550. doi: 10.1016/S2468-2667(24)00122-1.
4
Response to Treatment, Racial and Ethnic Disparity, and Survival in Patients With Breast Cancer Undergoing Neoadjuvant Chemotherapy in the US.美国新辅助化疗乳腺癌患者的治疗反应、种族和民族差异与生存
JAMA Netw Open. 2023 Mar 1;6(3):e235834. doi: 10.1001/jamanetworkopen.2023.5834.
5
Racial/ethnic disparities in costs, length of stay, and severity of severe maternal morbidity.种族/民族差异与严重产妇发病率的成本、住院时间和严重程度。
Am J Obstet Gynecol MFM. 2023 May;5(5):100917. doi: 10.1016/j.ajogmf.2023.100917. Epub 2023 Mar 5.
6
Association of Race and Ethnicity With Initial Prescription of Antiretroviral Therapy Among People With HIV in the US.美国艾滋病毒感染者初始抗逆转录病毒治疗中种族和民族与处方的关联。
JAMA. 2023 Jan 3;329(1):52-62. doi: 10.1001/jama.2022.23617.
7
Racial and Ethnic Disparities in EMS Use of Restraints and Sedation for Patients With Behavioral Health Emergencies.紧急医疗服务(EMS)在行为健康紧急情况中对患者使用约束措施和镇静剂方面的种族和族裔差异。
JAMA Netw Open. 2025 Mar 3;8(3):e251281. doi: 10.1001/jamanetworkopen.2025.1281.
8
ERBB2-Low Expression by Race and Ethnicity Among Patients With Triple-Negative Breast Cancer.三阴性乳腺癌患者中按种族和族裔划分的ERBB2低表达情况
JAMA Netw Open. 2025 Jun 2;8(6):e2514864. doi: 10.1001/jamanetworkopen.2025.14864.
9
Racial and ethnic disparities in fecundability: a North American preconception cohort study.生育力方面的种族和族裔差异:一项北美孕前队列研究。
Hum Reprod. 2025 Apr 17. doi: 10.1093/humrep/deaf067.
10
Racial and Ethnic Minorities Underrepresented in Pain Management Guidelines for Total Joint Arthroplasty: A Meta-analysis.在全膝关节置换术疼痛管理指南中代表性不足的少数族裔:一项荟萃分析。
Clin Orthop Relat Res. 2024 Sep 1;482(9):1698-1706. doi: 10.1097/CORR.0000000000003026. Epub 2024 Mar 18.

本文引用的文献

1
Dietaryindex: a user-friendly and versatile R package for standardizing dietary pattern analysis in epidemiological and clinical studies.膳食指数:一个用于在流行病学和临床研究中标准化膳食模式分析的用户友好且多功能的 R 包。
Am J Clin Nutr. 2024 Nov;120(5):1165-1174. doi: 10.1016/j.ajcnut.2024.08.021. Epub 2024 Aug 23.
2
Trends in cardiovascular health among US adults by glycemic status based on Life's Essential 8.基于“生命八要素”的血糖状况与美国成年人心血管健康趋势
Prev Med. 2024 Aug;185:108042. doi: 10.1016/j.ypmed.2024.108042. Epub 2024 Jun 13.
3
Using the New "Life's Essential 8" Metrics to Evaluate Trends in Cardiovascular Health Among US Adults From 2005 to 2018: Analysis of Serial Cross-sectional Studies.
利用新的“生命必需 8 项指标”评估 2005 年至 2018 年美国成年人心血管健康趋势:连续横断面研究分析。
JMIR Public Health Surveill. 2023 May 8;9:e45521. doi: 10.2196/45521.
4
AHA Life's essential 8 and ideal cardiovascular health among young adults.美国心脏协会“生命基本8要素”与年轻人的理想心血管健康状况
Am J Prev Cardiol. 2022 Dec 23;13:100452. doi: 10.1016/j.ajpc.2022.100452. eCollection 2023 Mar.
5
Disparities in Cardiovascular Mortality Between Black and White Adults in the United States, 1999 to 2019.美国黑人和白人成年人之间心血管死亡率的差异,1999 年至 2019 年。
Circulation. 2022 Jul 19;146(3):211-228. doi: 10.1161/CIRCULATIONAHA.122.060199. Epub 2022 Jul 18.
6
Racial and Ethnic Differences in All-Cause and Cardiovascular Disease Mortality: The MESA Study.种族和民族差异与全因和心血管疾病死亡率:MESA 研究。
Circulation. 2022 Jul 19;146(3):229-239. doi: 10.1161/CIRCULATIONAHA.122.059174. Epub 2022 Jul 18.
7
Status of Cardiovascular Health in US Adults and Children Using the American Heart Association's New "Life's Essential 8" Metrics: Prevalence Estimates From the National Health and Nutrition Examination Survey (NHANES), 2013 Through 2018.使用美国心脏协会新的“生命八项基本指标”衡量美国成年人和儿童的心血管健康状况:2013 年至 2018 年全国健康和营养调查(NHANES)的患病率估计。
Circulation. 2022 Sep 13;146(11):822-835. doi: 10.1161/CIRCULATIONAHA.122.060911. Epub 2022 Jun 29.
8
Life's Essential 8: Updating and Enhancing the American Heart Association's Construct of Cardiovascular Health: A Presidential Advisory From the American Heart Association.《生命的基础 8:更新和强化美国心脏协会心血管健康构建:美国心脏协会主席特别咨询报告》。
Circulation. 2022 Aug 2;146(5):e18-e43. doi: 10.1161/CIR.0000000000001078. Epub 2022 Jun 29.
9
Addressing Systemic Racism in Birth Doula Services to Reduce Health Inequities in the United States.解决分娩导乐服务中的系统性种族主义问题以减少美国的健康不平等现象。
Health Equity. 2022 Feb 2;6(1):98-105. doi: 10.1089/heq.2021.0033. eCollection 2022.
10
Heart Disease and Stroke Statistics-2022 Update: A Report From the American Heart Association.《心脏病与卒中统计-2022 更新:美国心脏协会报告》。
Circulation. 2022 Feb 22;145(8):e153-e639. doi: 10.1161/CIR.0000000000001052. Epub 2022 Jan 26.