Suppr超能文献

2022 - 2023年危地马拉农业工人及其家庭中新冠病毒二次感染率及传播风险

SARS-CoV-2 secondary attack rates and risks for transmission among agricultural workers and their households in Guatemala, 2022-2023.

作者信息

Carreon Joseph Daniel, Lamb Molly M, Chard Anna N, Calvimontes Diva M, Iwamoto Chelsea, Rojop Neudy, Monzon Jose, Plumb Ian D, Barrios Edgar, Del Cid-Villatoro Julio, Arias Kareen, Gomez Melissa, Reyes Claudia Maribel Paiz, Lopez Maria Renee, Chu May, Lopez Beatriz, Barrett Bradley S, Guo Kejun, Santiago Mario, Bolanos Guillermo Antonio, Zielinski-Gutierrez Emily, Azziz-Baumgartner Eduardo, Leidman Eva, Fowlkes Ashley, Asturias Edwin J, Cordon-Rosales Celia, Olson Daniel

机构信息

Centers for Disease Control and Prevention (CDC), Atlanta, USA.

Department of Epidemiology, Colorado School of Public Health, Aurora, USA.

出版信息

IJID Reg. 2025 May 27;16:100676. doi: 10.1016/j.ijregi.2025.100676. eCollection 2025 Sep.

Abstract

OBJECTIVES

It is unclear whether agricultural workers working during epidemics frequently introduce respiratory infections into their homes and trigger secondary transmission. We evaluate secondary attack rates (SAR) and transmission risk in households of agricultural workers in Guatemala during the COVID-19 pandemic.

METHODS

Households of participants in a workplace surveillance cohort were enrolled from September 2021 to August 2023. All participants reported symptoms twice weekly and provided saliva weekly for SARS-CoV-2 reverse-transcriptase-polymerase chain reaction testing. Upon SARS-CoV-2 detection, participants submitted saliva three times per week for 4 weeks. We calculated SARs, and we estimated the risk of transmission to household contacts adjusting for demographic factors, COVID-19 vaccination status, seropositivity, and significant covariates (p ≤ 0.05) in univariable analyses.

RESULTS

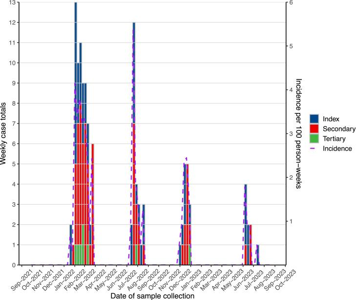
Among 83 households with 376 individuals, 48 (58%) had at least one SARS-CoV-2 infection (120 SARS-CoV-2 infections, 0.6 per 100 person-weeks), resulting in 64 secondary (SAR = 0.35, 95% confidence interval [CI] 0.28-0.43) and eight tertiary infections (tertiary attack rate = 0.07, 95% CI 0.03-0.13). The risk of secondary transmission increased by 112% among household contacts whose index cases were positive for ≥11 days (risk ratio: 2.12, 95% CI 1.29-3.49) but did not increase for those whose index case was positive for 6-10 days (risk ratio: 1.40, 95% CI 0.77-2.57) compared to those with index cases positive for ≤5 days.

CONCLUSIONS

More than half of agricultural households became infected with SARS-CoV-2 and approximately two-thirds of these had secondary chains of transmission, especially when index cases shed SARS-CoV-2 longer.

摘要

目的

尚不清楚在疫情期间工作的农业工人是否经常将呼吸道感染带回家中并引发二次传播。我们评估了危地马拉在2019冠状病毒病大流行期间农业工人家庭中的二代发病率(SAR)和传播风险。

方法

从2021年9月至2023年8月招募了一个工作场所监测队列参与者的家庭。所有参与者每周报告两次症状,并每周提供唾液进行严重急性呼吸综合征冠状病毒2(SARS-CoV-2)逆转录聚合酶链反应检测。在检测到SARS-CoV-2后,参与者连续4周每周提交3次唾液。我们计算了二代发病率,并在单变量分析中调整人口统计学因素、2019冠状病毒病疫苗接种状况、血清阳性率和显著协变量(p≤0.05)来估计家庭接触者的传播风险。

结果

在83户共376人的家庭中,48户(58%)至少有1例SARS-CoV-2感染(120例SARS-CoV-2感染,每100人周0.6例),导致64例二代感染(二代发病率=0.35,95%置信区间[CI]0.28 - 0.43)和8例三代感染(三代发病率=0.07,95%CI 0.03 - 0.13)。与索引病例阳性≤5天的家庭接触者相比,索引病例阳性≥11天的家庭接触者的二次传播风险增加了112%(风险比:2.12,95%CI 1.29 - 3.49),但索引病例阳性6 - 10天的家庭接触者的二次传播风险没有增加(风险比:1.40,95%CI 0.77 - 2.57)。

结论

超过一半的农业家庭感染了SARS-CoV-2,其中约三分之二有二代传播链,尤其是当索引病例排出SARS-CoV-2的时间更长时。

https://cdn.ncbi.nlm.nih.gov/pmc/blobs/a42f/12210297/d8e221512f01/gr1.jpg

文献检索

告别复杂PubMed语法,用中文像聊天一样搜索,搜遍4000万医学文献。AI智能推荐,让科研检索更轻松。

立即免费搜索

文件翻译

保留排版,准确专业,支持PDF/Word/PPT等文件格式,支持 12+语言互译。

免费翻译文档

深度研究

AI帮你快速写综述,25分钟生成高质量综述,智能提取关键信息,辅助科研写作。

立即免费体验