Suppr超能文献

用于环境修复的电离辐射交联壳聚糖基水凝胶

Ionizing Radiation Crosslinked Chitosan-Based Hydrogels for Environmental Remediation.

作者信息

Raza Muhammad Asim

机构信息

School of Chemical Engineering, Yeungnam University, Gyeongsan 38541, Republic of Korea.

出版信息

Gels. 2025 Jun 25;11(7):492. doi: 10.3390/gels11070492.

Abstract

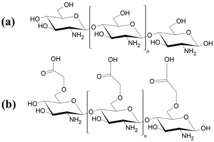
Since water contamination has become a serious concern, more effective environmental remediation methods are required. Chitosan (CHT)-based adsorbents have demonstrated high efficacy in removing pollutants due to their unique chemical and structural properties. However, their utilization remains limited by low environmental stability and the absence of effective adsorption sites. The functional moieties of CHT can be altered to improve its performance via graft modification and crosslinking. Compared to conventional hydrogel synthesis techniques, ionizing radiation-induced fabrication, using gamma or electron-beam irradiation, offers a promising platform for innovation across diverse fields. The prime focus of this review is on ionizing radiation developed CHT-based hydrogels to remove toxic heavy metals, dyes, organic contaminants, radionuclides, and humic substances. The fabrication strategy, adsorption mechanism, and factors affecting the adsorption capacity of CHT-based hydrogels are presented. This review aims to underscore the transformative potential of ionizing radiation-induced CHT hydrogels in environmental remediation by examining current research trends and identifying future prospects.

摘要

由于水污染已成为一个严重问题,因此需要更有效的环境修复方法。基于壳聚糖(CHT)的吸附剂因其独特的化学和结构特性,在去除污染物方面已显示出高效性。然而,它们的应用仍然受到环境稳定性低和缺乏有效吸附位点的限制。可以通过接枝改性和交联来改变CHT的功能基团,以提高其性能。与传统的水凝胶合成技术相比,利用γ射线或电子束辐照进行电离辐射诱导制备,为跨领域创新提供了一个有前景的平台。本综述的主要重点是利用电离辐射制备的基于CHT的水凝胶,用于去除有毒重金属、染料、有机污染物、放射性核素和腐殖质。介绍了基于CHT的水凝胶的制备策略、吸附机制以及影响其吸附容量的因素。本综述旨在通过研究当前的研究趋势并确定未来前景,强调电离辐射诱导的CHT水凝胶在环境修复中的变革潜力。

https://cdn.ncbi.nlm.nih.gov/pmc/blobs/e3de/12294129/05deb0916e48/gels-11-00492-g001.jpg

文献检索

告别复杂PubMed语法,用中文像聊天一样搜索,搜遍4000万医学文献。AI智能推荐,让科研检索更轻松。

立即免费搜索

文件翻译

保留排版,准确专业,支持PDF/Word/PPT等文件格式,支持 12+语言互译。

免费翻译文档

深度研究

AI帮你快速写综述,25分钟生成高质量综述,智能提取关键信息,辅助科研写作。

立即免费体验