Suppr超能文献

植物提取物作为伤口愈合过程的调节剂——初步研究

Plant Extracts as Modulators of the Wound Healing Process-Preliminary Study.

作者信息

Herman Anna, Leska Aleksandra, Wińska Patrycja, Herman Andrzej Przemysław

机构信息

Chair of Drug and Cosmetics Biotechnology, Faculty of Chemistry, Warsaw University of Technology, Koszykowa 75 Street, 00-662 Warsaw, Poland.

Department of Genetic Engineering, The Kielanowski Institute of Animal Physiology and Nutrition, Polish Academy of Sciences, Instytucka 3 Street, 05-110 Jabłonna, Poland.

出版信息

Int J Mol Sci. 2025 Aug 2;26(15):7490. doi: 10.3390/ijms26157490.

Abstract

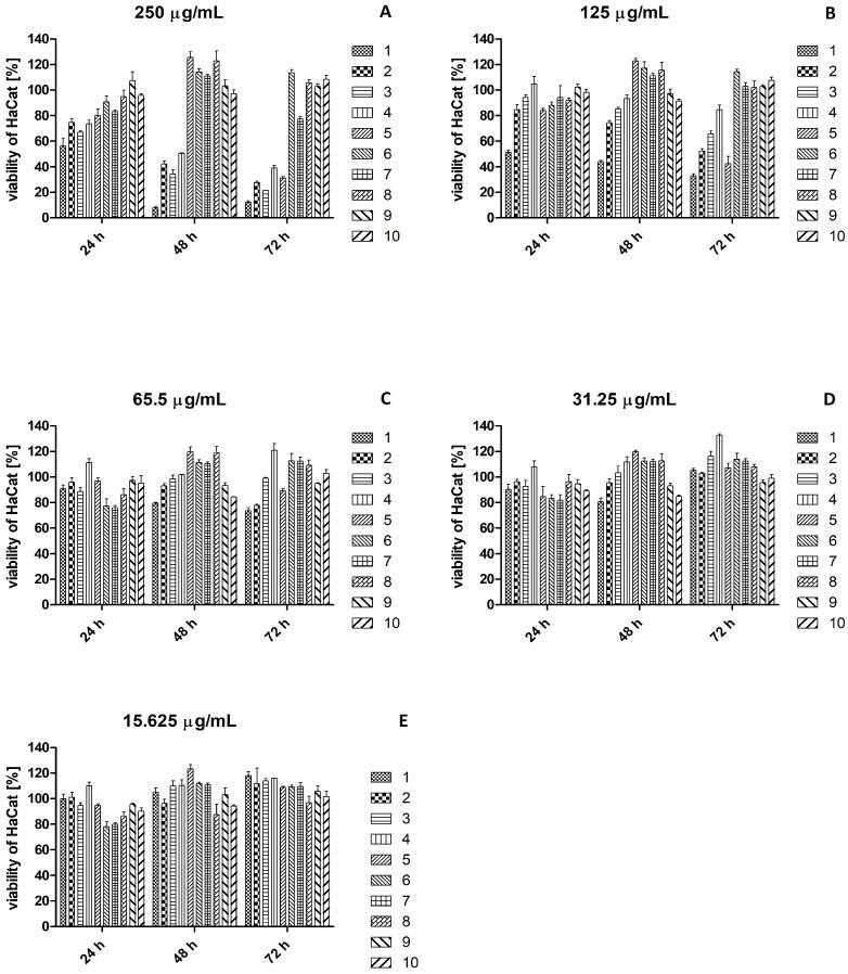
The treatment of chronic wounds is one of the most complex therapeutic problems of modern medicine. It leads to patients' protracted recovery, generating high treatment costs. Herbal products may be useful in the treatment of chronic wounds via a wide range of pharmacological properties and multidirectional effects on the wound healing phases. The study aims to determine the ability of selected plant extracts to modulate the processes involved in wound healing. The antimicrobial (MIC, MBC, MFC) and antioxidant (ABTS, DPPH) activities, cytotoxicity (MTT test), scratch wound test, and collagen assay were tested. (MBC 0.39 mg/mL) and (MBC 3.13 mg/mL) extracts had bactericidal activities against and , respectively. The extract showed the highest antioxidant activity in both ABTS (EC50 0.078 mg/mL) and DPPH (EC50 0.005 mg/mL) methods. The percentage of wound closure observed for , , and extracts with HaCaT, and extract with Hs27 cells was set as 100%. extract (50 μg/mL) stimulated collagen synthesis 5.16 times more strongly than ascorbic acid. Our preliminary study showed that some plant extracts may be promising modulators of the wound healing process, although further in-depth studies are necessary to determine their effectiveness in the in vivo model.

摘要

慢性伤口的治疗是现代医学中最复杂的治疗问题之一。它导致患者康复过程漫长,产生高昂的治疗成本。草药产品可能通过广泛的药理特性和对伤口愈合阶段的多向作用,对慢性伤口的治疗有用。本研究旨在确定所选植物提取物调节伤口愈合相关过程的能力。测试了抗菌活性(MIC、MBC、MFC)、抗氧化活性(ABTS、DPPH)、细胞毒性(MTT试验)、划痕伤口试验和胶原蛋白测定。(MBC为0.39mg/mL)和(MBC为3.13mg/mL)的提取物分别对和具有杀菌活性。提取物在ABTS(EC50为0.078mg/mL)和DPPH(EC50为0.005mg/mL)两种方法中均显示出最高的抗氧化活性。将、和提取物与HaCaT细胞,以及提取物与Hs27细胞的伤口闭合百分比设定为100%。提取物(50μg/mL)刺激胶原蛋白合成的强度比抗坏血酸高5.16倍。我们的初步研究表明,一些植物提取物可能是伤口愈合过程中有前景的调节剂,尽管需要进一步深入研究以确定它们在体内模型中的有效性。

https://cdn.ncbi.nlm.nih.gov/pmc/blobs/dbe7/12347978/4976e66c0af1/ijms-26-07490-g001.jpg

文献检索

告别复杂PubMed语法,用中文像聊天一样搜索,搜遍4000万医学文献。AI智能推荐,让科研检索更轻松。

立即免费搜索

文件翻译

保留排版,准确专业,支持PDF/Word/PPT等文件格式,支持 12+语言互译。

免费翻译文档

深度研究

AI帮你快速写综述,25分钟生成高质量综述,智能提取关键信息,辅助科研写作。

立即免费体验