• 文献检索
  • 文档翻译
  • 深度研究
  • 学术资讯
  • Suppr Zotero 插件Zotero 插件
  • 邀请有礼
  • 套餐&价格
  • 历史记录
应用&插件
Suppr Zotero 插件Zotero 插件浏览器插件Mac 客户端Windows 客户端微信小程序
定价
高级版会员购买积分包购买API积分包
服务
文献检索文档翻译深度研究API 文档MCP 服务
关于我们
关于 Suppr公司介绍联系我们用户协议隐私条款
关注我们

Suppr 超能文献

核心技术专利:CN118964589B侵权必究
粤ICP备2023148730 号-1Suppr @ 2026

文献检索

告别复杂PubMed语法,用中文像聊天一样搜索,搜遍4000万医学文献。AI智能推荐,让科研检索更轻松。

立即免费搜索

文件翻译

保留排版,准确专业,支持PDF/Word/PPT等文件格式,支持 12+语言互译。

免费翻译文档

深度研究

AI帮你快速写综述,25分钟生成高质量综述,智能提取关键信息,辅助科研写作。

立即免费体验

迈向假牙修复计划中的人工智能——一项初步的计算机模拟可行性研究。

Toward artificial intelligence in dental prosthesis planning - a preliminary in-silico feasibility study.

作者信息

Del Hougne Michael, Del Hougne Philipp, Di Lorenzo Isabella, Höhne Christian, Schrenker Johannes, Schmitter Marc

机构信息

Department of Prosthodontics, University of Würzburg, Pleicherwall 2, Würzburg, 97070, Germany.

Univ Rennes, CNRS, IETR - UMR 6164, Rennes, F-35000, France.

出版信息

BMC Oral Health. 2025 Aug 31;25(1):1386. doi: 10.1186/s12903-025-06778-6.

DOI:10.1186/s12903-025-06778-6
PMID:40887573
原文链接:https://pmc.ncbi.nlm.nih.gov/articles/PMC12398987/
Abstract

BACKGROUND

Dental prosthesis planning is a multi-faceted and nuanced process of conceiving individual treatment plans based on dental findings and in line with established treatment guidelines. The aim of this study was to assess whether an artificial neural network (ANN) provided with sufficient training data could approximate this process.

METHODS

Dental prosthesis planning was abstracted as a mapping from dental findings to choices of dental prosthesis. The problem was framed as a multi-output multi-class classification. An ANN was trained via supervised learning to approximate dental prosthesis planning based on synthetic datasets of dental findings and corresponding prosthesis choices. The accuracy on unseen test data was examined as a function of the ANN's random initializations, the training set sizes, and the ANN architecture.

RESULTS

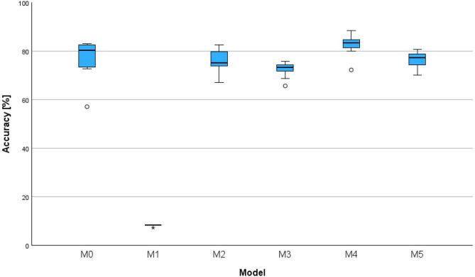
Within the scope and limitations of this study, the ANN achieved an accuracy of 99.51% (± 0.15).

CONCLUSIONS

The ability of ANNs to learn dental prosthesis planning was confirmed within the limitations of this preliminary in-silico study. The findings of this study corroborate that ANNs have the potential to support clinicians by providing automated recommendations for choices of dental prosthesis consistent with relevant rules, ultimately supporting and enhancing clinicians' decision making. Moreover, such ANNs may, in principle, enable advanced patient self-assessment of treatment needs and improve patient care in prosthodontics.

摘要

背景

牙修复体规划是一个多方面且细致入微的过程,需根据牙科检查结果并遵循既定治疗指南来制定个性化治疗方案。本研究的目的是评估配备足够训练数据的人工神经网络(ANN)是否能够模拟这一过程。

方法

将牙修复体规划抽象为从牙科检查结果到牙修复体选择的映射。该问题被构建为多输出多类别分类。通过监督学习对一个人工神经网络进行训练,使其基于牙科检查结果的合成数据集及相应的修复体选择来模拟牙修复体规划。将未见过的测试数据上的准确率作为人工神经网络随机初始化、训练集大小和人工神经网络架构的函数进行检验。

结果

在本研究的范围和局限性内,人工神经网络达到了99.51%(±0.15)的准确率。

结论

在这项初步的计算机模拟研究的局限性内,证实了人工神经网络学习牙修复体规划的能力。本研究结果证实,人工神经网络有潜力通过根据相关规则为牙修复体选择提供自动建议来支持临床医生,最终支持并加强临床医生的决策。此外,原则上,此类人工神经网络可实现患者对治疗需求的高级自我评估,并改善口腔修复学中的患者护理。

https://cdn.ncbi.nlm.nih.gov/pmc/blobs/2634/12398987/7c3d311707b0/12903_2025_6778_Fig5_HTML.jpg
https://cdn.ncbi.nlm.nih.gov/pmc/blobs/2634/12398987/48dbf54745a5/12903_2025_6778_Fig1_HTML.jpg
https://cdn.ncbi.nlm.nih.gov/pmc/blobs/2634/12398987/06d4d967156f/12903_2025_6778_Fig2_HTML.jpg
https://cdn.ncbi.nlm.nih.gov/pmc/blobs/2634/12398987/81cb3650cef4/12903_2025_6778_Fig3_HTML.jpg
https://cdn.ncbi.nlm.nih.gov/pmc/blobs/2634/12398987/70402b9e0845/12903_2025_6778_Fig4_HTML.jpg
https://cdn.ncbi.nlm.nih.gov/pmc/blobs/2634/12398987/7c3d311707b0/12903_2025_6778_Fig5_HTML.jpg
https://cdn.ncbi.nlm.nih.gov/pmc/blobs/2634/12398987/48dbf54745a5/12903_2025_6778_Fig1_HTML.jpg
https://cdn.ncbi.nlm.nih.gov/pmc/blobs/2634/12398987/06d4d967156f/12903_2025_6778_Fig2_HTML.jpg
https://cdn.ncbi.nlm.nih.gov/pmc/blobs/2634/12398987/81cb3650cef4/12903_2025_6778_Fig3_HTML.jpg
https://cdn.ncbi.nlm.nih.gov/pmc/blobs/2634/12398987/70402b9e0845/12903_2025_6778_Fig4_HTML.jpg
https://cdn.ncbi.nlm.nih.gov/pmc/blobs/2634/12398987/7c3d311707b0/12903_2025_6778_Fig5_HTML.jpg

相似文献

1
Toward artificial intelligence in dental prosthesis planning - a preliminary in-silico feasibility study.迈向假牙修复计划中的人工智能——一项初步的计算机模拟可行性研究。
BMC Oral Health. 2025 Aug 31;25(1):1386. doi: 10.1186/s12903-025-06778-6.
2
Prescription of Controlled Substances: Benefits and Risks管制药品的处方:益处与风险
3
Artificial intelligence systems in dental shade-matching: A systematic review.人工智能系统在牙科比色中的应用:系统评价。
J Prosthodont. 2024 Jul;33(6):519-532. doi: 10.1111/jopr.13805. Epub 2023 Dec 6.
4
Artificial intelligence models for tooth-supported fixed and removable prosthodontics: A systematic review.人工智能模型在牙支持式固定和可摘义齿修复学中的应用:系统评价。
J Prosthet Dent. 2023 Feb;129(2):276-292. doi: 10.1016/j.prosdent.2021.06.001. Epub 2021 Jul 17.
5
Improving reconstruction of patient-specific abnormalities in AI-driven fast MRI with an individually adapted diffusion model.利用个体适配的扩散模型改进人工智能驱动的快速磁共振成像中患者特异性异常的重建。
Med Phys. 2025 Jul;52(7):e17955. doi: 10.1002/mp.17955.
6
Signs and symptoms to determine if a patient presenting in primary care or hospital outpatient settings has COVID-19.在基层医疗机构或医院门诊环境中,如果患者出现以下症状和体征,可判断其是否患有 COVID-19。
Cochrane Database Syst Rev. 2022 May 20;5(5):CD013665. doi: 10.1002/14651858.CD013665.pub3.
7
The agreement of phonetic transcriptions between paediatric speech and language therapists transcribing a disordered speech sample.儿科言语和语言治疗师转写语音样本的音标转录的一致性。
Int J Lang Commun Disord. 2024 Sep-Oct;59(5):1981-1995. doi: 10.1111/1460-6984.13043. Epub 2024 Jun 8.
8
Development and Validation of a Convolutional Neural Network Model to Predict a Pathologic Fracture in the Proximal Femur Using Abdomen and Pelvis CT Images of Patients With Advanced Cancer.利用晚期癌症患者腹部和骨盆 CT 图像建立卷积神经网络模型预测股骨近端病理性骨折的研究
Clin Orthop Relat Res. 2023 Nov 1;481(11):2247-2256. doi: 10.1097/CORR.0000000000002771. Epub 2023 Aug 23.
9
Health professionals' experience of teamwork education in acute hospital settings: a systematic review of qualitative literature.医疗专业人员在急症医院环境中团队合作教育的经验:对定性文献的系统综述
JBI Database System Rev Implement Rep. 2016 Apr;14(4):96-137. doi: 10.11124/JBISRIR-2016-1843.
10
Can ChatGPT be trusted as a resource for a scholarly article on treatment planning implant-supported prostheses?ChatGPT能否被视为关于种植体支持修复体治疗计划的学术文章的可靠资源?
J Prosthet Dent. 2025 Apr 9. doi: 10.1016/j.prosdent.2025.03.025.

本文引用的文献

1
Artificial intelligence and mixed reality for dental implant planning: A technical note.人工智能和混合现实在牙种植体规划中的应用:一项技术说明。
Clin Implant Dent Relat Res. 2024 Oct;26(5):942-953. doi: 10.1111/cid.13357. Epub 2024 Jun 28.
2
Dental implant planning using artificial intelligence: A systematic review and meta-analysis.使用人工智能进行牙种植规划:一项系统评价和荟萃分析。
J Prosthet Dent. 2024 Apr 22. doi: 10.1016/j.prosdent.2024.03.032.
3
Detection and localization of caries and hypomineralization on dental photographs with a vision transformer model.
使用视觉Transformer模型在牙科照片上检测和定位龋齿与矿化不足。
NPJ Digit Med. 2023 Oct 25;6(1):198. doi: 10.1038/s41746-023-00944-2.
4
The impact of inconsistent human annotations on AI driven clinical decision making.人类标注不一致对人工智能驱动的临床决策的影响。
NPJ Digit Med. 2023 Feb 21;6(1):26. doi: 10.1038/s41746-023-00773-3.
5
Deep learning: A primer for dentists and dental researchers.深度学习:牙医及牙科研究人员入门指南。
J Dent. 2023 Mar;130:104430. doi: 10.1016/j.jdent.2023.104430. Epub 2023 Jan 20.
6
A manifesto on explainability for artificial intelligence in medicine.人工智能在医学中的可解释性宣言
Artif Intell Med. 2022 Nov;133:102423. doi: 10.1016/j.artmed.2022.102423. Epub 2022 Oct 9.
7
Artificial intelligence models for tooth-supported fixed and removable prosthodontics: A systematic review.人工智能模型在牙支持式固定和可摘义齿修复学中的应用:系统评价。
J Prosthet Dent. 2023 Feb;129(2):276-292. doi: 10.1016/j.prosdent.2021.06.001. Epub 2021 Jul 17.
8
Key challenges for delivering clinical impact with artificial intelligence.人工智能实现临床影响的关键挑战。
BMC Med. 2019 Oct 29;17(1):195. doi: 10.1186/s12916-019-1426-2.
9
Deep Learning for the Radiographic Detection of Periodontal Bone Loss.深度学习在牙周骨丧失放射学检测中的应用。
Sci Rep. 2019 Jun 11;9(1):8495. doi: 10.1038/s41598-019-44839-3.
10
Artificial Intelligence in Clinical Decision Support: Challenges for Evaluating AI and Practical Implications.临床决策支持中的人工智能:评估人工智能的挑战及实际意义
Yearb Med Inform. 2019 Aug;28(1):128-134. doi: 10.1055/s-0039-1677903. Epub 2019 Apr 25.