Suppr超能文献

传染病投诉的急诊科就诊模式建模:结果及在疾病监测中的应用

Modeling emergency department visit patterns for infectious disease complaints: results and application to disease surveillance.

作者信息

Brillman Judith C, Burr Tom, Forslund David, Joyce Edward, Picard Rick, Umland Edith

机构信息

Department of Emergency Medicine, MSC10 5560, 1 University of New Mexico, Albuquerque, NM 87131-0001, USA.

出版信息

BMC Med Inform Decis Mak. 2005 Mar 2;5:4. doi: 10.1186/1472-6947-5-4.

Abstract

BACKGROUND

Concern over bio-terrorism has led to recognition that traditional public health surveillance for specific conditions is unlikely to provide timely indication of some disease outbreaks, either naturally occurring or induced by a bioweapon. In non-traditional surveillance, the use of health care resources are monitored in "near real" time for the first signs of an outbreak, such as increases in emergency department (ED) visits for respiratory, gastrointestinal or neurological chief complaints (CC).

METHODS

We collected ED CCs from 2/1/94 - 5/31/02 as a training set. A first-order model was developed for each of seven CC categories by accounting for long-term, day-of-week, and seasonal effects. We assessed predictive performance on subsequent data from 6/1/02 - 5/31/03, compared CC counts to predictions and confidence limits, and identified anomalies (simulated and real).

RESULTS

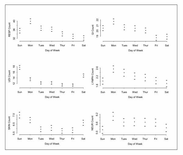
Each CC category exhibited significant day-of-week differences. For most categories, counts peaked on Monday. There were seasonal cycles in both respiratory and undifferentiated infection complaints and the season-to-season variability in peak date was summarized using a hierarchical model. For example, the average peak date for respiratory complaints was January 22, with a season-to-season standard deviation of 12 days. This season-to-season variation makes it challenging to predict respiratory CCs so we focused our effort and discussion on prediction performance for this difficult category. Total ED visits increased over the study period by 4%, but respiratory complaints decreased by roughly 20%, illustrating that long-term averages in the data set need not reflect future behavior in data subsets.

CONCLUSION

We found that ED CCs provided timely indicators for outbreaks. Our approach led to successful identification of a respiratory outbreak one-to-two weeks in advance of reports from the state-wide sentinel flu surveillance and of a reported increase in positive laboratory test results.

摘要

背景

对生物恐怖主义的担忧促使人们认识到,针对特定疾病的传统公共卫生监测不太可能及时发现某些疾病爆发,无论是自然发生的还是由生物武器引发的。在非传统监测中,会“近乎实时”地监测医疗资源的使用情况,以寻找爆发的最初迹象,例如因呼吸、胃肠道或神经科主要症状(CC)而前往急诊科(ED)就诊的人数增加。

方法

我们收集了1994年2月1日至2002年5月31日期间的急诊科主要症状作为训练集。通过考虑长期、星期几和季节效应,为七个主要症状类别分别建立了一阶模型。我们评估了该模型对2002年6月1日至2003年5月31日后续数据的预测性能,将主要症状计数与预测值和置信限进行比较,并识别出异常情况(模拟的和实际的)。

结果

每个主要症状类别在星期几方面都表现出显著差异。对于大多数类别,计数在周一达到峰值。呼吸和未分化感染症状都存在季节性周期,使用层次模型总结了高峰日期的季节间变化。例如,呼吸症状的平均高峰日期为1月22日,季节间标准差为12天。这种季节间的变化使得预测呼吸主要症状具有挑战性,因此我们将工作和讨论重点放在了这个困难类别的预测性能上。在研究期间,急诊科就诊总人数增加了4%,但呼吸症状减少了约20%,这表明数据集中的长期平均值不一定反映数据子集中的未来行为。

结论

我们发现急诊科主要症状为疾病爆发提供了及时的指标。我们的方法成功地在全州哨兵流感监测报告和实验室检测阳性结果报告增加之前一到两周识别出了一次呼吸疾病爆发。

https://cdn.ncbi.nlm.nih.gov/pmc/blobs/fbf3/555597/f50d0db60bec/1472-6947-5-4-1.jpg

文献AI研究员

20分钟写一篇综述,助力文献阅读效率提升50倍。

立即体验

用中文搜PubMed

大模型驱动的PubMed中文搜索引擎

马上搜索

文档翻译

学术文献翻译模型,支持多种主流文档格式。

立即体验