Suppr超能文献

通过基因表达谱分析研究肌营养不良蛋白缺陷型mdx小鼠的肌肉再生

Muscle regeneration in dystrophin-deficient mdx mice studied by gene expression profiling.

作者信息

Turk R, Sterrenburg E, de Meijer E J, van Ommen G-J B, den Dunnen J T, 't Hoen P A C

机构信息

Center for Human and Clinical Genetics, Leiden University Medical Center, Wassenaarseweg 72, 2333 AL Leiden, Nederland.

出版信息

BMC Genomics. 2005 Jul 13;6:98. doi: 10.1186/1471-2164-6-98.

Abstract

BACKGROUND

Duchenne muscular dystrophy (DMD), caused by mutations in the dystrophin gene, is lethal. In contrast, dystrophin-deficient mdx mice recover due to effective regeneration of affected muscle tissue. To characterize the molecular processes associated with regeneration, we compared gene expression levels in hindlimb muscle tissue of mdx and control mice at 9 timepoints, ranging from 1-20 weeks of age.

RESULTS

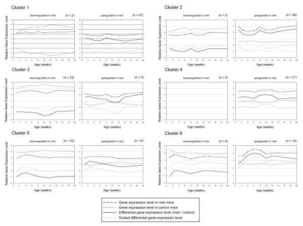
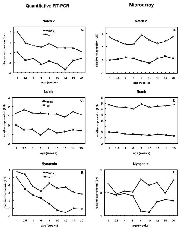
Out of 7776 genes, 1735 were differentially expressed between mdx and control muscle at at least one timepoint (p < 0.05 after Bonferroni correction). We found that genes coding for components of the dystrophin-associated glycoprotein complex are generally downregulated in the mdx mouse. Based on functional characteristics such as membrane localization, signal transduction, and transcriptional activation, 166 differentially expressed genes with possible functions in regeneration were analyzed in more detail. The majority of these genes peak at the age of 8 weeks, where the regeneration activity is maximal. The following pathways are activated, as shown by upregulation of multiple members per signalling pathway: the Notch-Delta pathway that plays a role in the activation of satellite cells, and the Bmp15 and Neuregulin 3 signalling pathways that may regulate proliferation and differentiation of satellite cells. In DMD patients, only few of the identified regeneration-associated genes were found activated, indicating less efficient regeneration processes in humans.

CONCLUSION

Based on the observed expression profiles, we describe a model for muscle regeneration in mdx mice, which may provide new leads for development of DMD therapies based on the improvement of muscle regeneration efficacy.

摘要

背景

由肌营养不良蛋白基因突变引起的杜兴氏肌肉营养不良症(DMD)是致命的。相比之下,缺乏肌营养不良蛋白的mdx小鼠由于受影响肌肉组织的有效再生而恢复。为了表征与再生相关的分子过程,我们比较了mdx小鼠和对照小鼠在1至20周龄的9个时间点后肢肌肉组织中的基因表达水平。

结果

在7776个基因中,至少有一个时间点mdx和对照肌肉之间有1735个基因差异表达(经Bonferroni校正后p < 0.05)。我们发现编码肌营养不良蛋白相关糖蛋白复合物成分的基因在mdx小鼠中普遍下调。基于膜定位、信号转导和转录激活等功能特征,对166个可能在再生中起作用的差异表达基因进行了更详细的分析。这些基因中的大多数在8周龄时达到峰值,此时再生活性最大。如每个信号通路中多个成员的上调所示,以下通路被激活:在卫星细胞激活中起作用的Notch-Delta通路,以及可能调节卫星细胞增殖和分化的Bmp15和Neuregulin 3信号通路。在DMD患者中,仅发现少数已鉴定的与再生相关的基因被激活, 表明人类的再生过程效率较低。

结论

基于观察到的表达谱,我们描述了mdx小鼠肌肉再生的模型,这可能为基于提高肌肉再生效率的DMD治疗开发提供新的线索。

https://cdn.ncbi.nlm.nih.gov/pmc/blobs/deeb/1190170/e938ed5155d7/1471-2164-6-98-1.jpg

文献AI研究员

20分钟写一篇综述,助力文献阅读效率提升50倍。

立即体验

用中文搜PubMed

大模型驱动的PubMed中文搜索引擎

马上搜索

文档翻译

学术文献翻译模型,支持多种主流文档格式。

立即体验