Suppr超能文献

基层医疗中膀胱过度活动症的患病率、评估与管理

Prevalence, evaluation and management of overactive bladder in primary care.

作者信息

Cheung Wellman W, Khan Nadia H, Choi Karmina K, Bluth Martin H, Vincent Miriam T

机构信息

Department of Urology, SUNY Downstate Medical Center, Brooklyn, New York, NY, USA.

出版信息

BMC Fam Pract. 2009 Jan 23;10:8. doi: 10.1186/1471-2296-10-8.

Abstract

BACKGROUND

Patients with overactive bladder (OAB) are under-diagnosed in the primary care setting. Primary care physicians (PCP) approach to the patient and appropriate patient disclosure may contribute to under-diagnosis.

METHODS

An outpatient primary care setting was used to determine the prevalence and characteristics of OAB. Patients who visited the family medicine outpatient clinic were invited to answer a self-administered questionnaire. It included questions on evidence of lower urinary tract symptoms (modified Overactive Bladder-Validated 8-question Screener [OAB-V8]), relevant medical and surgical history, and demographic data. Relationship between OAB and other independent variables were analyzed using chi-square and risk ratio (RR) analysis.

RESULTS

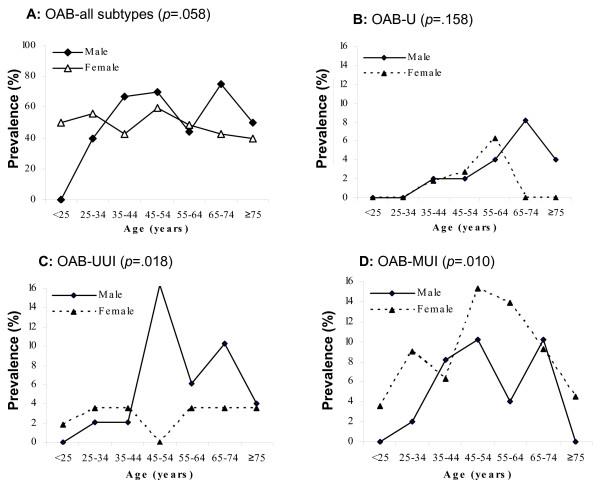
Of 325 questionnaires distributed, 311 were returned completed. Patients ranged from 18 to 97 years, the majority women (74.0%) and African American (74.3%). OAB was present in 60.5% of men and 48.3% of women (p = 0.058). OAB was significantly associated with obesity (BMI > or = 30) in women (p = 0.018, RR = 1.72), specifically obese premenopausal women (age < 55 years) (p = 0.011, RR = 1.98).

CONCLUSION

OAB prevalence is more than double and higher in men than previously reported. The relative risk for OAB is significantly greater in obese premenopausal women.

摘要

背景

膀胱过度活动症(OAB)患者在基层医疗环境中诊断不足。基层医疗医生(PCP)对患者的诊疗方法以及适当的患者告知可能导致诊断不足。

方法

采用门诊基层医疗环境来确定OAB的患病率及特征。邀请到家庭医学门诊就诊的患者回答一份自填式问卷。问卷包括有关下尿路症状的问题(改良膀胱过度活动症验证8题筛查量表[OAB-V8])、相关的内科和外科病史以及人口统计学数据。使用卡方检验和风险比(RR)分析来分析OAB与其他独立变量之间的关系。

结果

在分发的325份问卷中,311份被完整收回。患者年龄在18至97岁之间,大多数为女性(74.0%)且是非裔美国人(74.3%)。男性OAB患病率为60.5%,女性为48.3%(p = 0.058)。在女性中,OAB与肥胖(体重指数[BMI]≥30)显著相关(p = 0.018,RR = 1.72),尤其是肥胖的绝经前女性(年龄<55岁)(p = 0.011,RR = 1.98)。

结论

OAB患病率比之前报道的高出一倍多,且男性患病率更高。肥胖的绝经前女性患OAB的相对风险显著更高。

https://cdn.ncbi.nlm.nih.gov/pmc/blobs/e95f/2642771/efad2592255f/1471-2296-10-8-1.jpg

文献AI研究员

20分钟写一篇综述,助力文献阅读效率提升50倍。

立即体验

用中文搜PubMed

大模型驱动的PubMed中文搜索引擎

马上搜索

文档翻译

学术文献翻译模型,支持多种主流文档格式。

立即体验