Suppr超能文献

Affymetrix 基因芯片与外显子芯片的比较显示出在检测转录本异构体变异方面的潜在应用。

Comparison of Affymetrix Gene Array with the Exon Array shows potential application for detection of transcript isoform variation.

机构信息

Department of Human Genetics, McGill University, Montreal, QC, Canada.

出版信息

BMC Genomics. 2009 Nov 12;10:519. doi: 10.1186/1471-2164-10-519.

Abstract

BACKGROUND

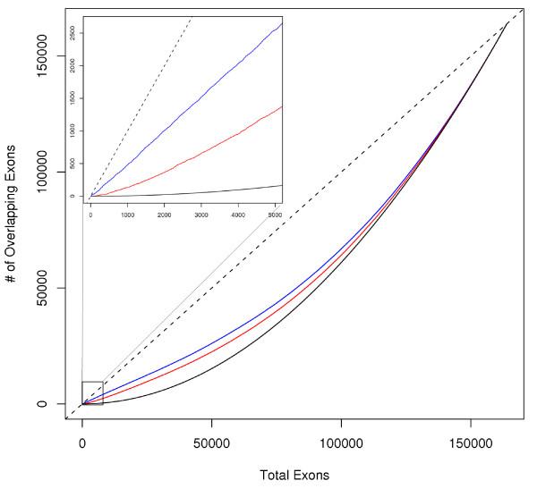
The emergence of isoform-sensitive microarrays has helped fuel in-depth studies of the human transcriptome. The Affymetrix GeneChip Human Exon 1.0 ST Array (Exon Array) has been previously shown to be effective in profiling gene expression at the isoform level. More recently, the Affymetrix GeneChip Human Gene 1.0 ST Array (Gene Array) has been released for measuring gene expression and interestingly contains a large subset of probes from the Exon Array. Here, we explore the potential of using Gene Array probes to assess expression variation at the sub-transcript level. Utilizing datasets of the high quality Microarray Quality Control (MAQC) RNA samples previously assayed on the Exon Array and Gene Array, we compare the expression measurements of the two platforms to determine the performance of the Gene Array in detecting isoform variations.

RESULTS

Overall, we show that the Gene Array is comparable to the Exon Array in making gene expression calls. Moreover, to examine expression of different isoforms, we modify the Gene Array probe set definition file to enable summarization of probe intensity values at the exon level and show that the expression profiles between the two platforms are also highly correlated. Next, expression calls of previously known differentially spliced genes were compared and also show concordant results. Splicing index analysis, representing estimates of exon inclusion levels, shows a lower but good correlation between platforms. As the Gene Array contains a significant subset of probes from the Exon Array, we note that, in comparison, the Gene Array overlaps with fewer but still a high proportion of splicing events annotated in the Known Alt Events UCSC track, with abundant coverage of cassette exons. We discuss the ability of the Gene Array to detect alternative splicing and isoform variation and address its limitations.

CONCLUSION

The Gene Array is an effective expression profiling tool at gene and exon expression level, the latter made possible by probe set annotation modifications. We demonstrate that the Gene Array is capable of detecting alternative splicing and isoform variation. As expected, in comparison to the Exon Array, it is limited by reduced gene content coverage and is not able to detect as wide a range of alternative splicing events. However, for the events that can be monitored by both platforms, we estimate that the selectivity and sensitivity levels are comparable. We hope our findings will shed light on the potential extension of the Gene Array to detect alternative splicing. It should be particularly suitable for researchers primarily interested in gene expression analysis, but who may be willing to look for splicing and isoform differences within their dataset. However, we do not suggest it to be an equivalent substitute to the more comprehensive Exon Array.

摘要

背景

同工型敏感基因芯片的出现促进了人类转录组的深入研究。Affymetrix GeneChip Human Exon 1.0 ST Array(外显子芯片)已被证明可以有效地在同工型水平上进行基因表达谱分析。最近,Affymetrix GeneChip Human Gene 1.0 ST Array(基因芯片)已发布用于测量基因表达,并且有趣的是,它包含了大量来自外显子芯片的探针。在这里,我们探讨了使用基因芯片探针来评估亚转录本水平表达变化的潜力。利用之前在 Exon Array 和 Gene Array 上检测到的高质量 Microarray Quality Control (MAQC) RNA 样本数据集,我们比较了两种平台的表达测量值,以确定 Gene Array 在检测同工型变化方面的性能。

结果

总体而言,我们表明基因芯片在进行基因表达调用方面与外显子芯片相当。此外,为了检查不同同工型的表达,我们修改了基因芯片探针集定义文件,以能够在exon 水平汇总探针强度值,并表明两种平台之间的表达谱也高度相关。接下来,比较了先前已知差异剪接基因的表达调用,结果也一致。代表外显子包含水平估计的剪接指数分析表明,平台之间的相关性较低,但仍较好。由于基因芯片包含了大量来自外显子芯片的探针,我们注意到,与外显子芯片相比,基因芯片与注释的已知替代事件 UCSC 轨迹中的剪接事件重叠较少,但仍占很高比例,并且外显子覆盖丰富。我们讨论了基因芯片检测可变剪接和同工型变异的能力,并解决了其局限性。

结论

基因芯片是一种有效的基因和外显子表达水平的表达谱分析工具,后者通过探针集注释修改实现。我们证明了基因芯片能够检测可变剪接和同工型变异。正如预期的那样,与外显子芯片相比,它受到基因含量覆盖范围减少的限制,并且不能检测到广泛的替代剪接事件。然而,对于两种平台都可以监测到的事件,我们估计选择性和灵敏度水平相当。我们希望我们的研究结果能为基因芯片在检测可变剪接方面的潜在扩展提供一些启示。它特别适合主要对基因表达分析感兴趣的研究人员,但他们可能愿意在他们的数据集中寻找剪接和同工型差异。然而,我们并不建议将其作为更全面的外显子芯片的等效替代品。

https://cdn.ncbi.nlm.nih.gov/pmc/blobs/1114/2780461/aed4019a09a3/1471-2164-10-519-1.jpg

文献检索

告别复杂PubMed语法,用中文像聊天一样搜索,搜遍4000万医学文献。AI智能推荐,让科研检索更轻松。

立即免费搜索

文件翻译

保留排版,准确专业,支持PDF/Word/PPT等文件格式,支持 12+语言互译。

免费翻译文档

深度研究

AI帮你快速写综述,25分钟生成高质量综述,智能提取关键信息,辅助科研写作。

立即免费体验