Suppr超能文献

在肯尼亚西部,没有金标准来评估两种用于诊断布氏锥虫属的分子诊断方案的敏感性和特异性。

No gold standard estimation of the sensitivity and specificity of two molecular diagnostic protocols for Trypanosoma brucei spp. in Western Kenya.

机构信息

The Roslin Institute and The Royal (Dick) School of Veterinary Studies, University of Edinburgh, Roslin, Midlothian, United Kingdom.

出版信息

PLoS One. 2010 Jan 7;5(1):e8628. doi: 10.1371/journal.pone.0008628.

Abstract

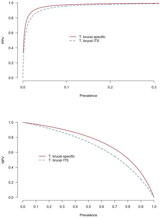
African animal trypanosomiasis is caused by a range of tsetse transmitted protozoan parasites includingTrypanosoma vivax, Trypanosoma congolense and Trypansoma brucei. In Western Kenya and other parts of East Africa two subspecies of T. brucei, T.b. brucei and the zoonoticT.b. rhodesiense, co-circulate in livestock. A range of polymerase chain reactions (PCR) have been developed as important molecular diagnostic tools for epidemiological investigations of T. brucei s.l. in the animal reservoir and of its zoonotic potential. Quantification of the relative performance of different diagnostic PCRs is essential to ensure comparability of studies. This paper describes an evaluation of two diagnostic test systems for T. brucei using a T. brucei s.l. specific PCR [1] and a single nested PCR targeting the Internal Transcribed Spacer (ITS) regions of trypanosome ribosomal DNA [2]. A Bayesian formulation of the Hui-Walter latent class model was employed to estimate their test performance in the absence of a gold standard test for detecting T.brucei s.l. infections in ear-vein blood samples from cattle, pig, sheep and goat populations in Western Kenya, stored on Whatman FTA cards. The results indicate that the system employing the T. brucei s.l. specific PCR (Se1=0.760) had a higher sensitivity than the ITS-PCR (Se2=0.640); both have high specificity (Sp1=0.998; Sp2=0.997). The true prevalences for livestock populations were estimated (pcattle=0.091, ppigs=0.066, pgoats=0.005, psheep=0.006), taking into account the uncertainties in the specificity and sensitivity of the two test systems. Implications of test performance include the required survey sample size; due to its higher sensitivity and specificity, the T. brucei s.l. specific PCR requires a consistently smaller sample size than the ITS-PCR for the detection of T. brucei s.l. However the ITS-PCR is able to simultaneously screen samples for other pathogenic trypanosomes and may thus be, overall, a better choice of test in multi-organism studies.

摘要

非洲动物锥虫病是由一系列采采蝇传播的原生动物寄生虫引起的,包括锥虫 vivax、锥虫 congolense 和锥虫 brucei。在肯尼亚西部和东非其他地区,两种布氏锥虫亚种,即 T.b. brucei 和人畜共患的 T.b. rhodesiense,在牲畜中共同循环。一系列聚合酶链反应 (PCR) 已被开发为动物储库中锥虫 sl. 的流行病学调查及其人畜共患潜力的重要分子诊断工具。量化不同诊断 PCR 的相对性能对于确保研究的可比性至关重要。本文描述了使用锥虫 sl. 特异性 PCR [1] 和针对锥虫核糖体 DNA 内部转录间隔区 (ITS) 区域的单个嵌套 PCR [2] 对两种诊断测试系统的评估。采用 Hui-Walter 潜在类别模型的贝叶斯公式来估计在没有用于检测肯尼亚西部牛、猪、绵羊和山羊耳静脉血样本中布氏锥虫 sl. 感染的金标准测试的情况下,它们在耳静脉血样本中的检测性能,这些样本储存在 Whatman FTA 卡上。结果表明,使用锥虫 sl. 特异性 PCR 的系统 (Se1=0.760) 的敏感性高于 ITS-PCR (Se2=0.640);两者的特异性均很高 (Sp1=0.998;Sp2=0.997)。考虑到两种测试系统的特异性和敏感性的不确定性,估计了牲畜群体的真实流行率 (pcattle=0.091,ppigs=0.066,pgoats=0.005,psheep=0.006)。测试性能的影响包括所需的调查样本量;由于其更高的敏感性和特异性,与 ITS-PCR 相比,锥虫 sl. 特异性 PCR 在检测锥虫 sl. 时需要的样本量始终较小。然而,ITS-PCR 能够同时筛选样本中的其他致病性锥虫,因此在多生物体研究中可能是更好的测试选择。

https://cdn.ncbi.nlm.nih.gov/pmc/blobs/1993/2798749/4e6f822c0cf8/pone.0008628.g001.jpg

文献AI研究员

20分钟写一篇综述,助力文献阅读效率提升50倍。

立即体验

用中文搜PubMed

大模型驱动的PubMed中文搜索引擎

马上搜索

文档翻译

学术文献翻译模型,支持多种主流文档格式。

立即体验