Suppr超能文献

毒素转运与浮毯蛋白定位之间的相互作用。

Interplay between toxin transport and flotillin localization.

机构信息

Centre for Cancer Biomedicine, University of Oslo, Oslo, Norway.

出版信息

PLoS One. 2010 Jan 22;5(1):e8844. doi: 10.1371/journal.pone.0008844.

Abstract

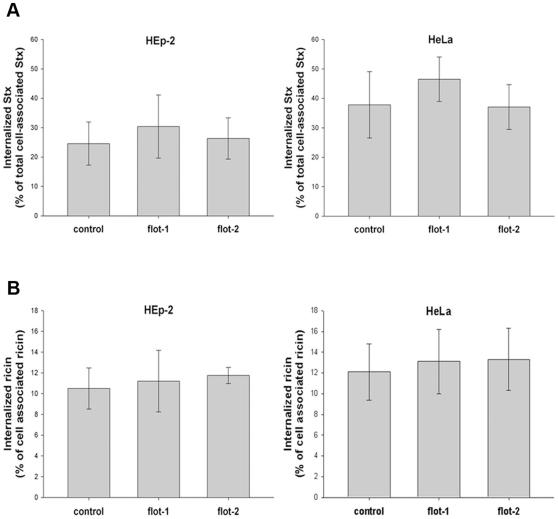
The flotillin proteins are localized in lipid domains at the plasma membrane as well as in intracellular compartments. In the present study, we examined the importance of flotillin-1 and flotillin-2 for the uptake and transport of the bacterial Shiga toxin (Stx) and the plant toxin ricin and we investigated whether toxin binding and uptake were associated with flotillin relocalization. We observed a toxin-induced redistribution of the flotillins, which seemed to be regulated in a p38-dependent manner. Our experiments provide no evidence for a changed endocytic uptake of Stx or ricin in cells silenced for flotillin-1 or -2. However, the Golgi-dependent sulfation of both toxins was significantly reduced in flotillin knockdown cells. Interestingly, when the transport of ricin to the ER was investigated, we obtained an increased mannosylation of ricin in flotillin-1 and flotillin-2 knockdown cells. The toxicity of both toxins was twofold increased in flotillin-depleted cells. Since BFA (Brefeldin A) inhibits the toxicity even in flotillin knockdown cells, the retrograde toxin transport is apparently still Golgi-dependent. Thus, flotillin proteins regulate and facilitate the retrograde transport of Stx and ricin.

摘要

flotillin 蛋白位于质膜的脂质区以及细胞内隔室中。在本研究中,我们研究了 flotillin-1 和 flotillin-2 对于细菌志贺毒素(Stx)和植物毒素蓖麻毒素摄取和运输的重要性,并且我们研究了毒素结合和摄取是否与 flotillin 再分布相关。我们观察到 flotillin 的毒素诱导再分布,这似乎受 p38 依赖性调节。我们的实验没有提供证据表明 flotillin-1 或 -2 沉默的细胞中 Stx 或蓖麻毒素的内吞摄取发生改变。然而,在 flotillin 敲低细胞中,两种毒素的高尔基体依赖性硫酸化明显减少。有趣的是,当研究蓖麻毒素向 ER 的运输时,我们在 flotillin-1 和 flotillin-2 敲低细胞中获得了蓖麻毒素的甘露糖基化增加。两种毒素的毒性在 flotillin 耗尽的细胞中增加了两倍。由于 BFA(布雷菲德菌素 A)甚至在 flotillin 敲低细胞中抑制毒性,因此毒素的逆行运输显然仍然依赖于高尔基体。因此, flotillin 蛋白调节和促进 Stx 和蓖麻毒素的逆行运输。

https://cdn.ncbi.nlm.nih.gov/pmc/blobs/58c8/2809741/74ff97e60b57/pone.0008844.g001.jpg

文献检索

告别复杂PubMed语法,用中文像聊天一样搜索,搜遍4000万医学文献。AI智能推荐,让科研检索更轻松。

立即免费搜索

文件翻译

保留排版,准确专业,支持PDF/Word/PPT等文件格式,支持 12+语言互译。

免费翻译文档

深度研究

AI帮你快速写综述,25分钟生成高质量综述,智能提取关键信息,辅助科研写作。

立即免费体验