• 文献检索
  • 文档翻译
  • 深度研究
  • 学术资讯
  • Suppr Zotero 插件Zotero 插件
  • 邀请有礼
  • 套餐&价格
  • 历史记录
应用&插件
Suppr Zotero 插件Zotero 插件浏览器插件Mac 客户端Windows 客户端微信小程序
定价
高级版会员购买积分包购买API积分包
服务
文献检索文档翻译深度研究API 文档MCP 服务
关于我们
关于 Suppr公司介绍联系我们用户协议隐私条款
关注我们

Suppr 超能文献

核心技术专利:CN118964589B侵权必究
粤ICP备2023148730 号-1Suppr @ 2026

文献检索

告别复杂PubMed语法,用中文像聊天一样搜索,搜遍4000万医学文献。AI智能推荐,让科研检索更轻松。

立即免费搜索

文件翻译

保留排版,准确专业,支持PDF/Word/PPT等文件格式,支持 12+语言互译。

免费翻译文档

深度研究

AI帮你快速写综述,25分钟生成高质量综述,智能提取关键信息,辅助科研写作。

立即免费体验

反式-二十二碳烯基磷酰胆碱通过诱导 18kDa 线粒体转位蛋白诱导神经胶质瘤细胞凋亡:F0F1-ATP 合酶和活性氧的潜在作用

Potential involvement of F0F1-ATP(synth)ase and reactive oxygen species in apoptosis induction by the antineoplastic agent erucylphosphohomocholine in glioblastoma cell lines : a mechanism for induction of apoptosis via the 18 kDa mitochondrial translocator protein.

机构信息

Department of Molecular Pharmacology, Rappaport Family Institute for Research in the Medical Sciences, Technion-Israel Institute of Technology, P.O. Box 9649, Bat-Galim, 31096, Haifa, Israel.

出版信息

Apoptosis. 2010 Jul;15(7):753-68. doi: 10.1007/s10495-010-0460-5.

DOI:10.1007/s10495-010-0460-5
PMID:20107899
原文链接:https://pmc.ncbi.nlm.nih.gov/articles/PMC3128697/
Abstract

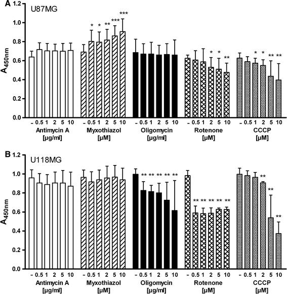
Erucylphosphohomocholine (ErPC3, Erufosine) was reported previously to induce apoptosis in otherwise highly apoptosis-resistant malignant glioma cell lines while sparing their non-tumorigenic counterparts. We also previously found that the mitochondrial 18 kDa Translocator Protein (TSPO) is required for apoptosis induction by ErPC3. These previous studies also suggested involvement of reactive oxygen species (ROS). In the present study we further investigated the potential involvement of ROS generation, the participation of the mitochondrial respiration chain, and the role of the mitochondrial F(O)F(1)-ATP(synth)ase in the pro-apoptotic effects of ErPC3 on U87MG and U118MG human glioblastoma cell lines. For this purpose, cells were treated with the ROS chelator butylated hydroxyanisole (BHA), the mitochondrial respiration chain inhibitors rotenone, antimycin A, myxothiazol, and the uncoupler CCCP. Also oligomycin and piceatannol were studied as inhibitors of the F(O) and F(1) subunits of the mitochondrial F(O)F(1)-ATP(synth)ase, respectively. BHA was able to attenuate apoptosis induction by ErPC3, including mitochondrial ROS generation as determined with cardiolipin oxidation, as well as collapse of the mitochondrial membrane potential (Deltapsi(m)). Similarly, we found that oligomycin attenuated apoptosis and collapse of the Deltapsi(m), normally induced by ErPC3, including the accompanying reductions in cellular ATP levels. Other inhibitors of the mitochondrial respiration chain, as well as piceatannol, did not show such effects. Consequently, our findings strongly point to a role for the F(O) subunit of the mitochondrial F(O)F(1)-ATP(synth)ase in ErPC3-induced apoptosis and dissipation of Deltapsi(m) as well as ROS generation by ErPC3 and TSPO.

摘要

先前有报道称,Erucylphosphohomocholine(ErPC3,Erufosine)能够诱导原本对细胞凋亡具有高度抗性的恶性神经胶质瘤细胞系发生凋亡,而对其非致瘤性对应物没有影响。我们之前还发现,线粒体 18 kDa 转位蛋白(TSPO)是 ErPC3 诱导细胞凋亡所必需的。这些先前的研究还表明活性氧(ROS)的参与。在本研究中,我们进一步研究了 ROS 生成的潜在参与、线粒体呼吸链的参与以及线粒体 F(O)F(1)-ATP(synth)酶在 ErPC3 对 U87MG 和 U118MG 人神经胶质瘤细胞系促凋亡作用中的作用。为此,用 ROS 螯合剂丁基羟基茴香醚(BHA)、线粒体呼吸链抑制剂鱼藤酮、抗霉素 A、米酵菌酸和解偶联剂 CCCP 处理细胞。此外,还研究了寡霉素和白藜芦醇分别作为线粒体 F(O)和 F(1)亚基的抑制剂对线粒体 F(O)F(1)-ATP(synth)酶的作用。BHA 能够减弱 ErPC3 诱导的细胞凋亡,包括通过心磷脂氧化测定的线粒体 ROS 生成,以及线粒体膜电位(Deltapsi(m))的崩溃。同样,我们发现,寡霉素减弱了 ErPC3 诱导的细胞凋亡和 Deltapsi(m)的崩溃,包括伴随的细胞内 ATP 水平降低。线粒体呼吸链的其他抑制剂以及白藜芦醇没有表现出这种作用。因此,我们的研究结果强烈表明,线粒体 F(O)F(1)-ATP(synth)酶的 F(O)亚基在 ErPC3 诱导的细胞凋亡和 Deltapsi(m)耗散以及 ErPC3 和 TSPO 诱导的 ROS 生成中起作用。

https://cdn.ncbi.nlm.nih.gov/pmc/blobs/6abb/3128697/7dde9f824174/10495_2010_460_Fig11_HTML.jpg
https://cdn.ncbi.nlm.nih.gov/pmc/blobs/6abb/3128697/67b005eb0b61/10495_2010_460_Fig1_HTML.jpg
https://cdn.ncbi.nlm.nih.gov/pmc/blobs/6abb/3128697/79e6ac5f7f32/10495_2010_460_Fig2_HTML.jpg
https://cdn.ncbi.nlm.nih.gov/pmc/blobs/6abb/3128697/3501c48cb2e7/10495_2010_460_Fig3_HTML.jpg
https://cdn.ncbi.nlm.nih.gov/pmc/blobs/6abb/3128697/c2a9a9aa8821/10495_2010_460_Fig4_HTML.jpg
https://cdn.ncbi.nlm.nih.gov/pmc/blobs/6abb/3128697/9d7a2912050c/10495_2010_460_Fig5_HTML.jpg
https://cdn.ncbi.nlm.nih.gov/pmc/blobs/6abb/3128697/7a303fb32c66/10495_2010_460_Fig6_HTML.jpg
https://cdn.ncbi.nlm.nih.gov/pmc/blobs/6abb/3128697/fde313ebb4a6/10495_2010_460_Fig7_HTML.jpg
https://cdn.ncbi.nlm.nih.gov/pmc/blobs/6abb/3128697/4cafdf59d220/10495_2010_460_Fig8_HTML.jpg
https://cdn.ncbi.nlm.nih.gov/pmc/blobs/6abb/3128697/059a8db8f198/10495_2010_460_Fig9_HTML.jpg
https://cdn.ncbi.nlm.nih.gov/pmc/blobs/6abb/3128697/3c3d0fef0d68/10495_2010_460_Fig10_HTML.jpg
https://cdn.ncbi.nlm.nih.gov/pmc/blobs/6abb/3128697/7dde9f824174/10495_2010_460_Fig11_HTML.jpg
https://cdn.ncbi.nlm.nih.gov/pmc/blobs/6abb/3128697/67b005eb0b61/10495_2010_460_Fig1_HTML.jpg
https://cdn.ncbi.nlm.nih.gov/pmc/blobs/6abb/3128697/79e6ac5f7f32/10495_2010_460_Fig2_HTML.jpg
https://cdn.ncbi.nlm.nih.gov/pmc/blobs/6abb/3128697/3501c48cb2e7/10495_2010_460_Fig3_HTML.jpg
https://cdn.ncbi.nlm.nih.gov/pmc/blobs/6abb/3128697/c2a9a9aa8821/10495_2010_460_Fig4_HTML.jpg
https://cdn.ncbi.nlm.nih.gov/pmc/blobs/6abb/3128697/9d7a2912050c/10495_2010_460_Fig5_HTML.jpg
https://cdn.ncbi.nlm.nih.gov/pmc/blobs/6abb/3128697/7a303fb32c66/10495_2010_460_Fig6_HTML.jpg
https://cdn.ncbi.nlm.nih.gov/pmc/blobs/6abb/3128697/fde313ebb4a6/10495_2010_460_Fig7_HTML.jpg
https://cdn.ncbi.nlm.nih.gov/pmc/blobs/6abb/3128697/4cafdf59d220/10495_2010_460_Fig8_HTML.jpg
https://cdn.ncbi.nlm.nih.gov/pmc/blobs/6abb/3128697/059a8db8f198/10495_2010_460_Fig9_HTML.jpg
https://cdn.ncbi.nlm.nih.gov/pmc/blobs/6abb/3128697/3c3d0fef0d68/10495_2010_460_Fig10_HTML.jpg
https://cdn.ncbi.nlm.nih.gov/pmc/blobs/6abb/3128697/7dde9f824174/10495_2010_460_Fig11_HTML.jpg

相似文献

1
Potential involvement of F0F1-ATP(synth)ase and reactive oxygen species in apoptosis induction by the antineoplastic agent erucylphosphohomocholine in glioblastoma cell lines : a mechanism for induction of apoptosis via the 18 kDa mitochondrial translocator protein.反式-二十二碳烯基磷酰胆碱通过诱导 18kDa 线粒体转位蛋白诱导神经胶质瘤细胞凋亡:F0F1-ATP 合酶和活性氧的潜在作用
Apoptosis. 2010 Jul;15(7):753-68. doi: 10.1007/s10495-010-0460-5.
2
Ligands of the mitochondrial 18 kDa translocator protein attenuate apoptosis of human glioblastoma cells exposed to erucylphosphohomocholine.线粒体18 kDa转位蛋白的配体可减轻暴露于芥酰磷酸高丝氨酸的人胶质母细胞瘤细胞的凋亡。
Cell Oncol. 2008;30(5):435-50. doi: 10.3233/clo-2008-0431.
3
Apoptosis induction by erucylphosphohomocholine via the 18 kDa mitochondrial translocator protein: implications for cancer treatment.芥酰磷酸高丝氨酸通过18 kDa线粒体转位蛋白诱导细胞凋亡:对癌症治疗的意义
Anticancer Agents Med Chem. 2014 May;14(4):559-77. doi: 10.2174/1871520614666140309230338.
4
CoCl(2) induces apoptosis via the 18 kDa translocator protein in U118MG human glioblastoma cells.氯化钴通过18 kDa转位蛋白在U118MG人胶质母细胞瘤细胞中诱导凋亡。
Biochemistry. 2009 Jun 2;48(21):4652-61. doi: 10.1021/bi900064t.
5
The translocator protein radioligand 18F-DPA-714 monitors antitumor effect of erufosine in a rat 9L intracranial glioma model.转位蛋白放射性配体 18F-DPA-714 监测依鲁替尼在大鼠 9L 颅内神经胶质瘤模型中的抗肿瘤作用。
J Nucl Med. 2013 Dec;54(12):2125-31. doi: 10.2967/jnumed.112.118794. Epub 2013 Nov 8.
6
Synergistic inhibition of mitochondrial respiration by anticancer agent erucylphosphohomocholine and cyclosporin A.抗癌剂芥酰磷高丝氨酸胆碱与环孢素A对线粒体呼吸的协同抑制作用。
J Biol Chem. 2007 Dec 28;282(52):37303-7. doi: 10.1074/jbc.C700134200. Epub 2007 Nov 9.
7
Mitochondria-dependent reactive oxygen species-mediated programmed cell death induced by 3,3'-diindolylmethane through inhibition of F0F1-ATP synthase in unicellular protozoan parasite Leishmania donovani.3,3'-二吲哚基甲烷通过抑制单细胞原生动物寄生虫杜氏利什曼原虫中的F0F1 - ATP合酶诱导线粒体依赖性活性氧介导的程序性细胞死亡。
Mol Pharmacol. 2008 Nov;74(5):1292-307. doi: 10.1124/mol.108.050161. Epub 2008 Aug 14.
8
Activated macrophages utilize glycolytic ATP to maintain mitochondrial membrane potential and prevent apoptotic cell death.活化的巨噬细胞利用糖酵解产生的 ATP 来维持线粒体膜电位,防止细胞发生凋亡性死亡。
Cell Death Differ. 2010 Oct;17(10):1540-50. doi: 10.1038/cdd.2010.27. Epub 2010 Mar 26.
9
Akt activation improves oxidative phosphorylation in renal proximal tubular cells following nephrotoxicant injury.Akt激活可改善肾毒性损伤后肾近端小管细胞的氧化磷酸化。
Am J Physiol Renal Physiol. 2008 Feb;294(2):F423-32. doi: 10.1152/ajprenal.00463.2007. Epub 2007 Dec 12.
10
Increased cytotoxicity of ionizing radiation in combination with membrane-targeted apoptosis modulators involves downregulation of protein kinase B/Akt-mediated survival-signaling.电离辐射与膜靶向凋亡调节剂联合使用时细胞毒性增加,这涉及蛋白激酶B/Akt介导的生存信号下调。
Radiother Oncol. 2006 Aug;80(2):199-206. doi: 10.1016/j.radonc.2006.07.021. Epub 2006 Aug 17.

引用本文的文献

1
TSPO Ligand 2-Cl-MGV-1 Mitigates Traumatic Brain Injury (TBI) in a Mouse Model.TSPO配体2-氯-MGV-1减轻小鼠模型中的创伤性脑损伤(TBI)
Int J Mol Sci. 2025 May 19;26(10):4854. doi: 10.3390/ijms26104854.
2
Mitochondrial control of microglial phagocytosis by the translocator protein and hexokinase 2 in Alzheimer's disease.阿尔茨海默病中通过转位蛋白和己糖激酶 2 对小胶质细胞吞噬作用的线粒体控制。
Proc Natl Acad Sci U S A. 2023 Feb 21;120(8):e2209177120. doi: 10.1073/pnas.2209177120. Epub 2023 Feb 14.
3
Dual Akt and Bcl-2 inhibition induces cell-type specific modulation of apoptotic and autophagic signaling in castration resistant prostate cancer cell lines.

本文引用的文献

1
Somatic mitochondrial mutations in pilocytic astrocytoma.毛细胞型星形细胞瘤中的体细胞线粒体突变。
Cancer Genet Cytogenet. 2009 Jul;192(1):30-5. doi: 10.1016/j.cancergencyto.2009.03.002.
2
Effect of peripheral benzodiazepine receptor (PBR/TSPO) ligands on opening of Ca2+-induced pore and phosphorylation of 3.5-kDa polypeptide in rat brain mitochondria.外周苯二氮䓬受体(PBR/TSPO)配体对大鼠脑线粒体中钙离子诱导孔开放及3.5 kDa多肽磷酸化的影响
Biochemistry (Mosc). 2009 Apr;74(4):421-9. doi: 10.1134/s0006297909040105.
3
Piceatannol, a derivative of resveratrol, moderately slows I(Na) inactivation and exerts antiarrhythmic action in ischaemia-reperfused rat hearts.
双重 Akt 和 Bcl-2 抑制诱导去势抵抗性前列腺癌细胞系中凋亡和自噬信号的细胞类型特异性调节。
Mol Biol Rep. 2021 Dec;48(12):7755-7765. doi: 10.1007/s11033-021-06786-z. Epub 2021 Oct 13.
4
Bioinformatic Analyses of Canonical Pathways of TSPOAP1 and its Roles in Human Diseases.TSPOAP1的典型信号通路的生物信息学分析及其在人类疾病中的作用
Front Mol Biosci. 2021 Jun 15;8:667947. doi: 10.3389/fmolb.2021.667947. eCollection 2021.
5
Mitochondrial Targeting Involving Cholesterol-Rich Lipid Rafts in the Mechanism of Action of the Antitumor Ether Lipid and Alkylphospholipid Analog Edelfosine.抗肿瘤醚脂和烷基磷脂类似物依地福新作用机制中涉及富含胆固醇的脂筏的线粒体靶向。
Pharmaceutics. 2021 May 20;13(5):763. doi: 10.3390/pharmaceutics13050763.
6
Cellular sources of TSPO expression in healthy and diseased brain.健康和患病大脑中 TSPO 表达的细胞来源。
Eur J Nucl Med Mol Imaging. 2021 Dec;49(1):146-163. doi: 10.1007/s00259-020-05166-2. Epub 2021 Jan 12.
7
The Role of Translocator Protein TSPO in Hallmarks of Glioblastoma.转运蛋白TSPO在胶质母细胞瘤特征中的作用
Cancers (Basel). 2020 Oct 14;12(10):2973. doi: 10.3390/cancers12102973.
8
ROS systems are a new integrated network for sensing homeostasis and alarming stresses in organelle metabolic processes.ROS 系统是一个新的综合网络,用于感知细胞器代谢过程中的动态平衡和报警应激。
Redox Biol. 2020 Oct;37:101696. doi: 10.1016/j.redox.2020.101696. Epub 2020 Aug 27.
9
Natural products and other inhibitors of FF ATP synthase.天然产物及其他 FF ATP 合酶抑制剂。
Eur J Med Chem. 2020 Dec 1;207:112779. doi: 10.1016/j.ejmech.2020.112779. Epub 2020 Sep 3.
10
Efficaciousness of Low Affinity Compared to High Affinity TSPO Ligands in the Inhibition of Hypoxic Mitochondrial Cellular Damage Induced by Cobalt Chloride in Human Lung H1299 Cells.低亲和力与高亲和力TSPO配体在抑制氯化钴诱导的人肺H1299细胞缺氧线粒体细胞损伤中的有效性比较
Biomedicines. 2020 May 2;8(5):106. doi: 10.3390/biomedicines8050106.
白藜芦醇的衍生物白皮杉醇可适度减缓心肌细胞钠电流(I(Na))失活,并对缺血再灌注大鼠心脏发挥抗心律失常作用。
Br J Pharmacol. 2009 Jun;157(3):381-91. doi: 10.1111/j.1476-5381.2008.00106.x. Epub 2009 Apr 3.
4
CoCl(2) induces apoptosis via the 18 kDa translocator protein in U118MG human glioblastoma cells.氯化钴通过18 kDa转位蛋白在U118MG人胶质母细胞瘤细胞中诱导凋亡。
Biochemistry. 2009 Jun 2;48(21):4652-61. doi: 10.1021/bi900064t.
5
PLAB induction in fenretinide-induced apoptosis of ovarian cancer cells occurs via a ROS-dependent mechanism involving ER stress and JNK activation.视黄酸诱导卵巢癌细胞凋亡过程中PLAB的诱导通过一种依赖活性氧的机制发生,该机制涉及内质网应激和JNK激活。
Carcinogenesis. 2009 May;30(5):824-31. doi: 10.1093/carcin/bgp067. Epub 2009 Mar 26.
6
How mitochondria produce reactive oxygen species.线粒体如何产生活性氧物种。
Biochem J. 2009 Jan 1;417(1):1-13. doi: 10.1042/BJ20081386.
7
The 18-kDa translocator protein, formerly known as the peripheral-type benzodiazepine receptor, confers proapoptotic and antineoplastic effects in a human colorectal cancer cell line.18 kDa转位蛋白,以前称为外周型苯二氮䓬受体,在人结肠癌细胞系中具有促凋亡和抗肿瘤作用。
Pharmacogenet Genomics. 2008 Nov;18(11):977-88. doi: 10.1097/FPC.0b013e3283117d52.
8
Ligands of the mitochondrial 18 kDa translocator protein attenuate apoptosis of human glioblastoma cells exposed to erucylphosphohomocholine.线粒体18 kDa转位蛋白的配体可减轻暴露于芥酰磷酸高丝氨酸的人胶质母细胞瘤细胞的凋亡。
Cell Oncol. 2008;30(5):435-50. doi: 10.3233/clo-2008-0431.
9
The role of external and matrix pH in mitochondrial reactive oxygen species generation.外部pH值和基质pH值在线粒体活性氧生成中的作用。
J Biol Chem. 2008 Oct 24;283(43):29292-300. doi: 10.1074/jbc.M801019200. Epub 2008 Aug 7.
10
VDAC activation by the 18 kDa translocator protein (TSPO), implications for apoptosis.18 kDa转位蛋白(TSPO)激活电压依赖性阴离子通道(VDAC)对细胞凋亡的影响
J Bioenerg Biomembr. 2008 Jun;40(3):199-205. doi: 10.1007/s10863-008-9142-1.