Suppr超能文献

与冈比亚按蚊 s.s 分布相关的环境因素;淋巴丝虫病和疟疾的重要传播媒介。

Environmental factors associated with the distribution of Anopheles gambiae s.s in Ghana; an important vector of lymphatic filariasis and malaria.

机构信息

Noguchi Memorial Institute for Medical Research, University of Ghana, Legon-Accra, Ghana.

出版信息

PLoS One. 2010 Mar 29;5(3):e9927. doi: 10.1371/journal.pone.0009927.

Abstract

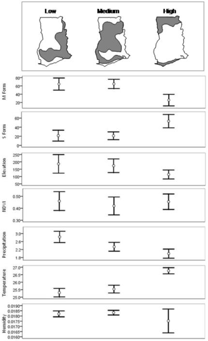
Anopheles gambiae s.s mosquitoes are important vectors of lymphatic filariasis (LF) and malaria in Ghana. To better understand their ecological aspects and influence on disease transmission, we examined the spatial distribution of the An. gambiae (M and S) molecular forms and associated environmental factors, and determined their relationship with disease prevalence. Published and current data available on the An. gambiae species in Ghana were collected in a database for analysis, and the study sites were georeferenced and mapped. Using the An. gambiae s.s sites, environmental data were derived from climate, vegetation and remote-sensed satellite sources, and disease prevalence data from existing LF and malaria maps in the literature. The data showed that An. gambiae M and S forms were sympatric in most locations. However, the S form predominated in the central region, while the M form predominated in the northern and coastal savanna regions. Bivariate and multiple regression analyses identified temperature as a key factor distinguishing their distributions. An. gambiae M was significantly correlated with LF, and 2.5 to 3 times more prevalent in the high LF zone than low to medium zones. There were no significant associations between high prevalence An. gambiae s.s locations and malaria. The distribution of the An. gambiae M and S forms and the diseases they transmit in Ghana appear to be distinct, driven by different environmental factors. This study provides useful baseline information for disease control, and future work on the An. gambiae s.s in Ghana.

摘要

冈比亚按蚊亚种是加纳淋巴丝虫病(LF)和疟疾的重要传播媒介。为了更好地了解它们的生态方面及其对疾病传播的影响,我们研究了冈比亚按蚊(M 和 S)分子形式的空间分布及其相关环境因素,并确定了它们与疾病流行率的关系。在数据库中收集了加纳冈比亚按蚊种的已发表和现有数据进行分析,并对研究地点进行了地理参考和制图。利用冈比亚按蚊 s.s 地点,从气候、植被和遥感卫星源中获取环境数据,并从文献中现有的 LF 和疟疾地图中获取疾病流行率数据。数据显示,M 和 S 形式的冈比亚按蚊在大多数地点是同域的。然而,S 形式在中部地区占优势,而 M 形式在北部和沿海热带稀树草原地区占优势。双变量和多元回归分析确定温度是区分它们分布的关键因素。冈比亚按蚊 M 与 LF 显著相关,在 LF 高流行区比中低流行区高 2.5 至 3 倍。高流行的冈比亚按蚊 s.s 地点与疟疾之间没有显著关联。冈比亚按蚊 M 和 S 形式的分布及其在加纳传播的疾病似乎是不同的,由不同的环境因素驱动。本研究为疾病控制提供了有用的基线信息,并为未来在加纳进行冈比亚按蚊 s.s 的研究提供了参考。

https://cdn.ncbi.nlm.nih.gov/pmc/blobs/d235/2847902/d4e2f98fd578/pone.0009927.g001.jpg

文献检索

告别复杂PubMed语法,用中文像聊天一样搜索,搜遍4000万医学文献。AI智能推荐,让科研检索更轻松。

立即免费搜索

文件翻译

保留排版,准确专业,支持PDF/Word/PPT等文件格式,支持 12+语言互译。

免费翻译文档

深度研究

AI帮你快速写综述,25分钟生成高质量综述,智能提取关键信息,辅助科研写作。

立即免费体验