Suppr超能文献

早期心理社会因素(儿童社会经济因素和逆境)对 2 型糖尿病、代谢紊乱和肥胖未来风险的影响:系统评价。

Impact of early psychosocial factors (childhood socioeconomic factors and adversities) on future risk of type 2 diabetes, metabolic disturbances and obesity: a systematic review.

机构信息

Institute of Biometrics and Epidemiology, German Diabetes Center, Leibniz Center for Diabetes Research at Heinrich-Heine-University, Düsseldorf, Germany.

出版信息

BMC Public Health. 2010 Sep 1;10:525. doi: 10.1186/1471-2458-10-525.

Abstract

BACKGROUND

Psychological factors and socioeconomic status (SES) have a notable impact on health disparities, including type 2 diabetes risk. However, the link between childhood psychosocial factors, such as childhood adversities or parental SES, and metabolic disturbances is less well established. In addition, the lifetime perspective including adult socioeconomic factors remains of further interest.We carried out a systematic review with the main question if there is evidence in population- or community-based studies that childhood adversities (like neglect, traumata and deprivation) have considerable impact on type 2 diabetes incidence and other metabolic disturbances. Also, parental SES was included in the search as risk factor for both, diabetes and adverse childhood experiences. Finally, we assumed that obesity might be a mediator for the association of childhood adversities with diabetes incidence. Therefore, we carried out a second review on obesity, applying a similar search strategy.

METHODS

Two systematic reviews were carried out. Longitudinal, population- or community-based studies were included if they contained data on psychosocial factors in childhood and either diabetes incidence or obesity risk.

RESULTS

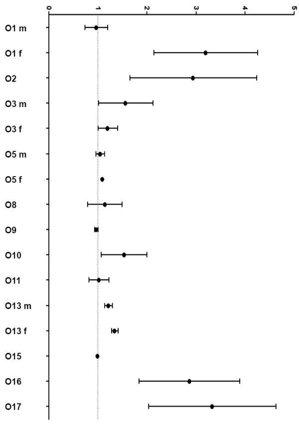
We included ten studies comprising a total of 200,381 individuals. Eight out of ten studies indicated that low parental status was associated with type 2 diabetes incidence or the development of metabolic abnormalities. Adjustment for adult SES and obesity tended to attenuate the childhood SES-attributable risk but the association remained. For obesity, eleven studies were included with a total sample size of 70,420 participants. Four out of eleven studies observed an independent association of low childhood SES on the risk for overweight and obesity later in life.

CONCLUSIONS

Taken together, there is evidence that childhood SES is associated with type 2 diabetes and obesity in later life. The database on the role of psychological factors such as traumata and childhood adversities for the future risk of type 2 diabetes or obesity is too small to draw conclusions. Thus, more population-based longitudinal studies and international standards to assess psychosocial factors are needed to clarify the mechanisms leading to the observed health disparities.

摘要

背景

心理因素和社会经济地位(SES)对健康差异有显著影响,包括 2 型糖尿病风险。然而,儿童期心理社会因素(如忽视、创伤和贫困)与代谢紊乱之间的联系尚未得到充分证实。此外,包括成年 SES 因素在内的终生观点也引起了进一步的关注。我们进行了一项系统综述,主要问题是在人群或社区研究中,是否有证据表明儿童期逆境(如忽视、创伤和贫困)对 2 型糖尿病发病率和其他代谢紊乱有相当大的影响。此外,SES 也被纳入了搜索范围,作为糖尿病和儿童期不良经历的风险因素。最后,我们假设肥胖可能是儿童期逆境与糖尿病发病率之间关联的一个中介因素。因此,我们进行了第二项关于肥胖的综述,应用了类似的搜索策略。

方法

进行了两项系统综述。如果研究包含儿童期心理社会因素的数据,并且包含糖尿病发病率或肥胖风险的数据,则纳入纵向、人群或社区研究。

结果

我们纳入了十项研究,共包含 200381 人。十项研究中有八项表明,父母 SES 较低与 2 型糖尿病发病率或代谢异常的发生有关。调整成年 SES 和肥胖后,儿童 SES 归因风险有所减弱,但关联仍然存在。对于肥胖,我们纳入了 11 项研究,总样本量为 70420 名参与者。有四项研究观察到低儿童 SES 与成年后患超重和肥胖的风险独立相关。

结论

总的来说,有证据表明儿童 SES 与成年后患 2 型糖尿病和肥胖有关。关于创伤和儿童期逆境等心理因素对 2 型糖尿病或肥胖未来风险的作用的数据库太小,无法得出结论。因此,需要更多的基于人群的纵向研究和国际标准来评估心理社会因素,以阐明导致观察到的健康差异的机制。

https://cdn.ncbi.nlm.nih.gov/pmc/blobs/2567/2940917/e4e717bf6786/1471-2458-10-525-1.jpg

相似文献

2
Weight loss interventions for chronic asthma.
Cochrane Database Syst Rev. 2012 Jul 11;2012(7):CD009339. doi: 10.1002/14651858.CD009339.pub2.
3
Signs and symptoms to determine if a patient presenting in primary care or hospital outpatient settings has COVID-19.
Cochrane Database Syst Rev. 2022 May 20;5(5):CD013665. doi: 10.1002/14651858.CD013665.pub3.
4
Nutritional interventions for survivors of childhood cancer.
Cochrane Database Syst Rev. 2016 Aug 22;2016(8):CD009678. doi: 10.1002/14651858.CD009678.pub2.
5
Home treatment for mental health problems: a systematic review.
Health Technol Assess. 2001;5(15):1-139. doi: 10.3310/hta5150.
6
Systemic pharmacological treatments for chronic plaque psoriasis: a network meta-analysis.
Cochrane Database Syst Rev. 2021 Apr 19;4(4):CD011535. doi: 10.1002/14651858.CD011535.pub4.
7
Systemic pharmacological treatments for chronic plaque psoriasis: a network meta-analysis.
Cochrane Database Syst Rev. 2017 Dec 22;12(12):CD011535. doi: 10.1002/14651858.CD011535.pub2.
8
Drugs for preventing postoperative nausea and vomiting in adults after general anaesthesia: a network meta-analysis.
Cochrane Database Syst Rev. 2020 Oct 19;10(10):CD012859. doi: 10.1002/14651858.CD012859.pub2.
9
Systemic pharmacological treatments for chronic plaque psoriasis: a network meta-analysis.
Cochrane Database Syst Rev. 2020 Jan 9;1(1):CD011535. doi: 10.1002/14651858.CD011535.pub3.
10
Prevention of self-harm and suicide in young people up to the age of 25 in education settings.
Cochrane Database Syst Rev. 2024 Dec 20;12(12):CD013844. doi: 10.1002/14651858.CD013844.pub2.

引用本文的文献

1
Artificial intelligence, recessionary pressures and population health.
Bull World Health Organ. 2025 Feb 1;103(2):155-163. doi: 10.2471/BLT.24.291950. Epub 2025 Jan 2.
2
Association between child marriage and high blood glucose level in women: A birth cohort analysis.
Public Health Pract (Oxf). 2024 Oct 28;8:100556. doi: 10.1016/j.puhip.2024.100556. eCollection 2024 Dec.
3
Prevalence of Childhood Obesity Among Children and Adolescents in Saudi Arabia: A Systematic Review.
Cureus. 2024 Sep 24;16(9):e70135. doi: 10.7759/cureus.70135. eCollection 2024 Sep.
4
Early life social conditions and adverse experiences are associated with childhood BMI and perceived overeating.
Pediatr Obes. 2025 Apr;20(4):e13179. doi: 10.1111/ijpo.13179. Epub 2024 Oct 8.
7
Diabetes, life course and childhood socioeconomic conditions: an empirical assessment for Mexico.
BMC Public Health. 2024 May 9;24(1):1274. doi: 10.1186/s12889-024-18767-5.
8
The influence of economic policies on social environments and mental health.
Bull World Health Organ. 2024 May 1;102(5):323-329. doi: 10.2471/BLT.23.290286. Epub 2024 Jan 31.
9
Cumulative Stress Across the Life Course and Biological Aging in Adulthood.
Psychosom Med. 2024 Apr 1;86(3):137-145. doi: 10.1097/PSY.0000000000001284. Epub 2024 Jan 10.

本文引用的文献

1
Neighborhood socioeconomic status in relation to 10-year weight gain in the Black Women's Health Study.
Obesity (Silver Spring). 2010 Oct;18(10):2064-5. doi: 10.1038/oby.2010.69. Epub 2010 Apr 1.
4
Life Course Perspectives on the Links Between Poverty and Obesity During the Transition to Young Adulthood.
Popul Res Policy Rev. 2009 Aug 1;28(4):505-532. doi: 10.1007/s11113-008-9115-4.
5
The role of adolescent behaviors in the female-male disparity in obesity incidence in US black and white young adults.
Obesity (Silver Spring). 2010 Jul;18(7):1429-36. doi: 10.1038/oby.2009.362. Epub 2009 Oct 29.
6
Socioeconomic status and body mass index among Hispanic children of immigrants and children of natives.
Am J Public Health. 2009 Dec;99(12):2238-46. doi: 10.2105/AJPH.2007.116103. Epub 2009 Oct 21.
7
Do childhood and adult socioeconomic circumstances influence health and physical function in middle-age?
Soc Sci Med. 2009 Apr;68(8):1425-31. doi: 10.1016/j.socscimed.2009.01.014. Epub 2009 Mar 9.
8
Neighborhood built environment and income: examining multiple health outcomes.
Soc Sci Med. 2009 Apr;68(7):1285-93. doi: 10.1016/j.socscimed.2009.01.017. Epub 2009 Feb 18.
10
Childhood BMI trajectories and the risk of developing young adult-onset diabetes.
Diabetologia. 2009 Mar;52(3):408-14. doi: 10.1007/s00125-008-1244-0. Epub 2009 Jan 8.

文献AI研究员

20分钟写一篇综述,助力文献阅读效率提升50倍。

立即体验

用中文搜PubMed

大模型驱动的PubMed中文搜索引擎

马上搜索

文档翻译

学术文献翻译模型,支持多种主流文档格式。

立即体验