Suppr超能文献

埃及 balanites 种子的体外和体内抗疟活性测定:提取物中的化合物对疟原虫氨肽酶具有生长抑制作用和活性。

In Vitro and In Vivo Antimalarial Activity Assays of Seeds from Balanites aegyptiaca: Compounds of the Extract Show Growth Inhibition and Activity against Plasmodial Aminopeptidase.

作者信息

Kusch Peter, Deininger Susanne, Specht Sabine, Maniako Rudeka, Haubrich Stefanie, Pommerening Tanja, Lin Paul Kong Thoo, Hoerauf Achim, Kaiser Annette

机构信息

Department of Applied Natural Sciences, Bonn-Rhein-Sieg University of Applied Sciences, Justus Von Liebig Street 20, 53359 Rheinbach, Germany.

出版信息

J Parasitol Res. 2011;2011:368692. doi: 10.1155/2011/368692. Epub 2011 May 25.

Abstract

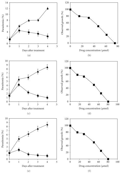
Balanites aegyptiaca (Balanitaceae) is a widely grown desert plant with multiuse potential. In the present paper, a crude extract from B. aegyptiaca seeds equivalent to a ratio of 1 : 2000 seeds to the extract was screened for antiplasmodial activity. The determined IC(50) value for the chloroquine-susceptible Plasmodium falciparum NF54 strain was 68.26 μg/μL ± 3.5. Analysis of the extract by gas chromatography-mass spectrometry detected 6-phenyl-2(H)-1,2,4-triazin-5-one oxime, an inhibitor of the parasitic M18 Aspartyl Aminopeptidase as one of the compounds which is responsible for the in vitro antiplasmodial activity. The crude plant extract had a K(i) of 2.35 μg/μL and showed a dose-dependent response. After depletion of the compound, a significantly lower inhibition was determined with a K(i) of 4.8 μg/μL. Moreover, two phenolic compounds, that is, 2,6-di-tert-butyl-phenol and 2,4-di-tert-butyl-phenol, with determined IC(50) values of 50.29 μM ± 3 and 47.82 μM ± 2.5, respectively, were detected. These compounds may contribute to the in vitro antimalarial activity due to their antioxidative properties. In an in vivo experiment, treatment of BALB/c mice with the aqueous Balanite extract did not lead to eradication of the parasites, although a reduced parasitemia at day 12 p.i. was observed.

摘要

埃及蒺藜(蒺藜科)是一种广泛种植的具有多种用途潜力的沙漠植物。在本文中,对埃及蒺藜种子的粗提物进行了抗疟活性筛选,该粗提物与种子的比例为1∶2000。测定了氯喹敏感的恶性疟原虫NF54株的半数抑制浓度(IC50)值为68.26μg/μL±3.5。通过气相色谱 - 质谱联用仪对提取物进行分析,检测到6 - 苯基 - 2(H)-1,2,4 - 三嗪 - 5 - 酮肟,一种寄生性M18天冬氨酰氨肽酶抑制剂,是负责体外抗疟活性的化合物之一。该植物粗提物的抑制常数(Ki)为2.35μg/μL,并呈现剂量依赖性反应。该化合物耗尽后,测定的抑制作用显著降低,Ki为4.8μg/μL。此外,还检测到两种酚类化合物,即2,6 - 二叔丁基苯酚和2,4 - 二叔丁基苯酚,其IC50值分别为50.29μM±3和47.82μM±2.5。由于其抗氧化特性,这些化合物可能有助于体外抗疟活性。在体内实验中,用埃及蒺藜水提取物处理BALB/c小鼠,虽然在感染后第12天观察到寄生虫血症有所降低,但并未导致寄生虫被根除。

https://cdn.ncbi.nlm.nih.gov/pmc/blobs/950e/3112518/6e78d0462a66/JPR2011-368692.001.jpg

文献检索

告别复杂PubMed语法,用中文像聊天一样搜索,搜遍4000万医学文献。AI智能推荐,让科研检索更轻松。

立即免费搜索

文件翻译

保留排版,准确专业,支持PDF/Word/PPT等文件格式,支持 12+语言互译。

免费翻译文档

深度研究

AI帮你快速写综述,25分钟生成高质量综述,智能提取关键信息,辅助科研写作。

立即免费体验