• 文献检索
  • 文档翻译
  • 深度研究
  • 学术资讯
  • Suppr Zotero 插件Zotero 插件
  • 邀请有礼
  • 套餐&价格
  • 历史记录
应用&插件
Suppr Zotero 插件Zotero 插件浏览器插件Mac 客户端Windows 客户端微信小程序
定价
高级版会员购买积分包购买API积分包
服务
文献检索文档翻译深度研究API 文档MCP 服务
关于我们
关于 Suppr公司介绍联系我们用户协议隐私条款
关注我们

Suppr 超能文献

核心技术专利:CN118964589B侵权必究
粤ICP备2023148730 号-1Suppr @ 2026

文献检索

告别复杂PubMed语法,用中文像聊天一样搜索,搜遍4000万医学文献。AI智能推荐,让科研检索更轻松。

立即免费搜索

文件翻译

保留排版,准确专业,支持PDF/Word/PPT等文件格式,支持 12+语言互译。

免费翻译文档

深度研究

AI帮你快速写综述,25分钟生成高质量综述,智能提取关键信息,辅助科研写作。

立即免费体验

甘草次酸对 DNA 聚合酶和炎症活性的抑制作用。

Inhibitory effects of glycyrrhetinic Acid on DNA polymerase and inflammatory activities.

机构信息

Department of Medical Pharmaceutics, Kobe Pharmaceutical University, Higashinada-ku, Kobe 658-8558, Japan.

出版信息

Evid Based Complement Alternat Med. 2012;2012:650514. doi: 10.1155/2012/650514. Epub 2011 Jul 14.

DOI:10.1155/2012/650514
PMID:21785649
原文链接:https://pmc.ncbi.nlm.nih.gov/articles/PMC3138047/
Abstract

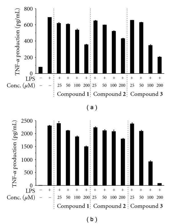
We investigated the inhibitory effect of three glycyrrhizin derivatives, such as Glycyrrhizin (compound 1), dipotassium glycyrrhizate (compound 2) and glycyrrhetinic acid (compound 3), on the activity of mammalian pols. Among these derivatives, compound 3 was the strongest inhibitor of mammalian pols α, β, κ, and λ, which belong to the B, A, Y, and X families of pols, respectively, whereas compounds 1 and 2 showed moderate inhibition. Among the these derivatives tested, compound 3 displayed strongest suppression of the production of tumor necrosis factor-α (TNF-α) induced by lipopolysaccharide (LPS) in a cell-culture system using mouse macrophages RAW264.7 and peritoneal macrophages derived from mice. Moreover, compound 3 was found to inhibit the action of nuclear factor-κB (NF-κB) in engineered human embryonic kidney (HEK) 293 cells. In addition, compound 3 caused greater reduction of 12-O-tetradecanoylphorbol-13-acetate-(TPA-) induced acute inflammation in mouse ear than compounds 1 and 2. In conclusion, this study has identified compound 3, which is the aglycone of compounds 1 and 2, as a promising anti-inflammatory candidate based on mammalian pol inhibition.

摘要

我们研究了三种甘草次酸衍生物(甘草酸(化合物 1)、甘草酸二钾(化合物 2)和甘草次酸(化合物 3))对哺乳动物聚合酶活性的抑制作用。在这些衍生物中,化合物 3 对属于 B、A、Y 和 X 家族的哺乳动物聚合酶α、β、κ 和 λ 的抑制作用最强,而化合物 1 和 2 则表现出中等抑制作用。在测试的这些衍生物中,化合物 3 对脂多糖(LPS)诱导的小鼠巨噬细胞 RAW264.7 和腹腔巨噬细胞产生肿瘤坏死因子-α(TNF-α)的抑制作用最强。此外,化合物 3 被发现可抑制工程化人胚肾(HEK)293 细胞中的核因子-κB(NF-κB)。另外,化合物 3 引起的 12-O-十四烷酰佛波醇-13-乙酸酯(TPA)诱导的小鼠耳急性炎症减少程度大于化合物 1 和 2。总之,本研究发现,化合物 3 是化合物 1 和 2 的苷元,是一种基于哺乳动物聚合酶抑制的有前途的抗炎候选物。

https://cdn.ncbi.nlm.nih.gov/pmc/blobs/d3b8/3138047/6486bf88ac73/ECAM2012-650514.006.jpg
https://cdn.ncbi.nlm.nih.gov/pmc/blobs/d3b8/3138047/1121059b4089/ECAM2012-650514.001.jpg
https://cdn.ncbi.nlm.nih.gov/pmc/blobs/d3b8/3138047/236d0fed9676/ECAM2012-650514.002.jpg
https://cdn.ncbi.nlm.nih.gov/pmc/blobs/d3b8/3138047/684c342c7f6a/ECAM2012-650514.003.jpg
https://cdn.ncbi.nlm.nih.gov/pmc/blobs/d3b8/3138047/79ef98c2be77/ECAM2012-650514.004.jpg
https://cdn.ncbi.nlm.nih.gov/pmc/blobs/d3b8/3138047/92683ac67dd3/ECAM2012-650514.005.jpg
https://cdn.ncbi.nlm.nih.gov/pmc/blobs/d3b8/3138047/6486bf88ac73/ECAM2012-650514.006.jpg
https://cdn.ncbi.nlm.nih.gov/pmc/blobs/d3b8/3138047/1121059b4089/ECAM2012-650514.001.jpg
https://cdn.ncbi.nlm.nih.gov/pmc/blobs/d3b8/3138047/236d0fed9676/ECAM2012-650514.002.jpg
https://cdn.ncbi.nlm.nih.gov/pmc/blobs/d3b8/3138047/684c342c7f6a/ECAM2012-650514.003.jpg
https://cdn.ncbi.nlm.nih.gov/pmc/blobs/d3b8/3138047/79ef98c2be77/ECAM2012-650514.004.jpg
https://cdn.ncbi.nlm.nih.gov/pmc/blobs/d3b8/3138047/92683ac67dd3/ECAM2012-650514.005.jpg
https://cdn.ncbi.nlm.nih.gov/pmc/blobs/d3b8/3138047/6486bf88ac73/ECAM2012-650514.006.jpg

相似文献

1
Inhibitory effects of glycyrrhetinic Acid on DNA polymerase and inflammatory activities.甘草次酸对 DNA 聚合酶和炎症活性的抑制作用。
Evid Based Complement Alternat Med. 2012;2012:650514. doi: 10.1155/2012/650514. Epub 2011 Jul 14.
2
Effects of intermediates between vitamins K(2) and K(3) on mammalian DNA polymerase inhibition and anti-inflammatory activity.维生素K(2)和K(3)之间的中间体对哺乳动物DNA聚合酶抑制作用及抗炎活性的影响。
Int J Mol Sci. 2011 Feb 10;12(2):1115-32. doi: 10.3390/ijms12021115.
3
Inhibitory effects of vitamin K₃ derivatives on DNA polymerase and inflammatory activity.维生素 K₃ 衍生物对 DNA 聚合酶和炎症活性的抑制作用。
Int J Mol Med. 2011 Dec;28(6):937-45. doi: 10.3892/ijmm.2011.773. Epub 2011 Aug 11.
4
Inhibition of repair-related DNA polymerases by vitamin Ks, their related quinone derivatives and associated inflammatory activity (Review).维生素 Ks、其相关醌衍生物及相关炎症活性对修复相关 DNA 聚合酶的抑制作用(综述)。
Int J Oncol. 2013 Mar;42(3):793-802. doi: 10.3892/ijo.2013.1771. Epub 2013 Jan 15.
5
Effects of quinone derivatives, such as 1,4-naphthoquinone, on DNA polymerase inhibition and anti-inflammatory action.醌衍生物(如 1,4-萘醌)对 DNA 聚合酶抑制和抗炎作用的影响。
Med Chem. 2011 Jan;7(1):37-44. doi: 10.2174/157340611794072742.
6
5-O-Acyl plumbagins inhibit DNA polymerase activity and suppress the inflammatory response.5-O-酰基紫朱草素抑制DNA聚合酶活性并抑制炎症反应。
Arch Biochem Biophys. 2015 May 1;573:100-10. doi: 10.1016/j.abb.2015.02.032. Epub 2015 Mar 3.
7
Inhibitory effects of sulfobacin B on DNA polymerase and inflammation.磺基巴卡丁 B 对 DNA 聚合酶和炎症的抑制作用。
Int J Mol Med. 2010 Nov;26(5):751-8. doi: 10.3892/ijmm_00000522.
8
Inhibitory effect of novel 5-O-acyl juglones on mammalian DNA polymerase activity, cancer cell growth and inflammatory response.新型 5-O-酰基胡桃醌对哺乳动物 DNA 聚合酶活性、癌细胞生长和炎症反应的抑制作用。
Bioorg Med Chem. 2011 Oct 1;19(19):5803-12. doi: 10.1016/j.bmc.2011.08.023. Epub 2011 Aug 18.
9
Inhibition of DNA polymerase λ and associated inflammatory activities of extracts from steamed germinated soybeans.蒸发芽大豆提取物对 DNA 聚合酶 λ 的抑制作用及相关炎症活性。
Food Funct. 2014 Apr;5(4):696-704. doi: 10.1039/c3fo60650c.
10
Chrysoeriol ameliorates TPA-induced acute skin inflammation in mice and inhibits NF-κB and STAT3 pathways.白杨素可改善 TPA 诱导的小鼠急性皮肤炎症,并抑制 NF-κB 和 STAT3 通路。
Phytomedicine. 2020 Mar;68:153173. doi: 10.1016/j.phymed.2020.153173. Epub 2020 Jan 19.

引用本文的文献

1
The Role of a Novel Generation of Emollients, 'Emollients Plus', in Atopic Dermatitis.新一代润肤剂“润肤剂增强型”在特应性皮炎中的作用
Clin Cosmet Investig Dermatol. 2022 Dec 14;15:2705-2719. doi: 10.2147/CCID.S389697. eCollection 2022.
2
Analysis of the network pharmacology and the structure-activity relationship of glycyrrhizic acid and glycyrrhetinic acid.甘草酸和甘草次酸的网络药理学及构效关系分析
Front Pharmacol. 2022 Oct 13;13:1001018. doi: 10.3389/fphar.2022.1001018. eCollection 2022.
3
Evaluation of a new-formula shampoo containing 6% glycyrrhetinic acid complex for scalp seborrheic dermatitis: A pilot study.

本文引用的文献

1
Monoacetylcurcumin strongly regulates inflammatory responses through inhibition of NF-kappaB activation.单乙酰基姜黄素通过抑制 NF-κB 激活强烈调节炎症反应。
Int J Mol Med. 2010 May;25(5):761-7. doi: 10.3892/ijmm_00000402.
2
Specific inhibitors of mammalian DNA polymerase species.哺乳动物DNA聚合酶种类的特异性抑制剂。
Biosci Biotechnol Biochem. 2009 Jun;73(6):1239-51. doi: 10.1271/bbb.90121. Epub 2009 Jun 7.
3
Mechanisms underlying the inhibitory actions of the pentacyclic triterpene alpha-amyrin in the mouse skin inflammation induced by phorbol ester 12-O-tetradecanoylphorbol-13-acetate.
评价一种含有 6%甘草酸复合配方洗发水治疗头皮脂溢性皮炎的效果:一项初步研究。
J Cosmet Dermatol. 2022 Aug;21(8):3423-3430. doi: 10.1111/jocd.14623. Epub 2021 Nov 18.
4
Protective effect of 18β-glycyrrhetinic acid against HO-induced injury in Schwann cells based on network pharmacology and experimental validation.基于网络药理学和实验验证的18β-甘草次酸对许旺细胞中HO诱导损伤的保护作用
Exp Ther Med. 2021 Nov;22(5):1241. doi: 10.3892/etm.2021.10676. Epub 2021 Sep 1.
5
Novel 3'-Substituted-1',2',4'-Oxadiazole Derivatives of 18βH-Glycyrrhetinic Acid and Their -Acylated Amidoximes: Synthesis and Evaluation of Antitumor and Anti-Inflammatory Potential In Vitro and In Vivo.新型 18βH-甘草次酸 3'-取代-1',2',4'-恶二唑衍生物及其酰化酰胺肟:体外和体内抗肿瘤和抗炎活性的评价。
Int J Mol Sci. 2020 May 15;21(10):3511. doi: 10.3390/ijms21103511.
6
Restoration of calcium-induced differentiation potential and tight junction formation in HaCaT keratinocytes by functional attenuation of overexpressed high mobility group box-1 protein.通过功能抑制过表达的高迁移率族蛋白盒1来恢复HaCaT角质形成细胞中钙诱导的分化潜能和紧密连接形成。
Cytotechnology. 2020 Feb;72(1):165-174. doi: 10.1007/s10616-019-00367-6. Epub 2020 Jan 8.
7
The Protective Effects of Glycyrrhetinic Acid and Chrysin against Ischemia-Reperfusion Injury in Rat Ovaries.甘草次酸和白杨素对大鼠卵巢缺血再灌注损伤的保护作用。
Biomed Res Int. 2018 May 14;2018:5421308. doi: 10.1155/2018/5421308. eCollection 2018.
8
The mTOR inhibition in concurrence with ERK1/2 activation is involved in excessive autophagy induced by glycyrrhizin in hepatocellular carcinoma.雷帕霉素靶蛋白(mTOR)抑制与细胞外信号调节激酶1/2(ERK1/2)激活同时发生,参与了甘草酸在肝癌中诱导的过度自噬。
Cancer Med. 2017 Aug;6(8):1941-1951. doi: 10.1002/cam4.1127. Epub 2017 Jul 3.
9
A dermocosmetic containing bakuchiol, Ginkgo biloba extract and mannitol improves the efficacy of adapalene in patients with acne vulgaris: result from a controlled randomized trial.一种含有补骨脂酚、银杏叶提取物和甘露醇的皮肤美容产品可提高阿达帕林对寻常痤疮患者的疗效:一项对照随机试验的结果
Clin Cosmet Investig Dermatol. 2015 Apr 10;8:187-91. doi: 10.2147/CCID.S81691. eCollection 2015.
10
Glycyrrhizic acid in the treatment of liver diseases: literature review.甘草酸治疗肝脏疾病:文献综述
Biomed Res Int. 2014;2014:872139. doi: 10.1155/2014/872139. Epub 2014 May 13.
五环三萜α-香树脂醇对佛波酯12-O-十四烷酰佛波醇-13-乙酸酯诱导的小鼠皮肤炎症抑制作用的潜在机制。
Eur J Pharmacol. 2007 Mar 22;559(2-3):227-35. doi: 10.1016/j.ejphar.2006.12.005. Epub 2006 Dec 29.
4
Human DNA polymerase N (POLN) is a low fidelity enzyme capable of error-free bypass of 5S-thymine glycol.人类DNA聚合酶N(POLN)是一种低保真度酶,能够无错误地绕过5S-胸腺嘧啶乙二醇。
J Biol Chem. 2006 Aug 18;281(33):23445-55. doi: 10.1074/jbc.M604317200. Epub 2006 Jun 19.
5
Structural relationship of curcumin derivatives binding to the BRCT domain of human DNA polymerase lambda.姜黄素衍生物与人类DNA聚合酶λ的BRCT结构域结合的结构关系。
Genes Cells. 2006 Mar;11(3):223-35. doi: 10.1111/j.1365-2443.2006.00937.x.
6
Monoacetylcurcumin: a new inhibitor of eukaryotic DNA polymerase lambda and a new ligand for inhibitor-affinity chromatography.单乙酰姜黄素:一种新型真核生物DNA聚合酶λ抑制剂及抑制剂亲和色谱的新型配体。
Biochem Biophys Res Commun. 2005 Dec 2;337(4):1288-95. doi: 10.1016/j.bbrc.2005.10.005. Epub 2005 Oct 10.
7
Functions of DNA polymerases.DNA聚合酶的功能。
Adv Protein Chem. 2004;69:137-65. doi: 10.1016/S0065-3233(04)69005-X.
8
Interaction of hREV1 with three human Y-family DNA polymerases.人REV1与三种人类Y家族DNA聚合酶的相互作用。
Genes Cells. 2004 Jun;9(6):523-31. doi: 10.1111/j.1356-9597.2004.00747.x.
9
Some anti-chronic inflammatory compounds are DNA polymerase lambda-specific inhibitors.一些抗慢性炎症化合物是DNA聚合酶λ特异性抑制剂。
Biochem Pharmacol. 2003 Nov 15;66(10):1935-44. doi: 10.1016/s0006-2952(03)00551-3.
10
The antiinflammatory activity of glycyrrhetinic acid and derivatives.甘草次酸及其衍生物的抗炎活性。
J Pharm Pharmacol. 1958 Oct;10(10):613-20. doi: 10.1111/j.2042-7158.1958.tb10349.x.