• 文献检索
  • 文档翻译
  • 深度研究
  • 学术资讯
  • Suppr Zotero 插件Zotero 插件
  • 邀请有礼
  • 套餐&价格
  • 历史记录
应用&插件
Suppr Zotero 插件Zotero 插件浏览器插件Mac 客户端Windows 客户端微信小程序
定价
高级版会员购买积分包购买API积分包
服务
文献检索文档翻译深度研究API 文档MCP 服务
关于我们
关于 Suppr公司介绍联系我们用户协议隐私条款
关注我们

Suppr 超能文献

核心技术专利:CN118964589B侵权必究
粤ICP备2023148730 号-1Suppr @ 2026

文献检索

告别复杂PubMed语法,用中文像聊天一样搜索,搜遍4000万医学文献。AI智能推荐,让科研检索更轻松。

立即免费搜索

文件翻译

保留排版,准确专业,支持PDF/Word/PPT等文件格式,支持 12+语言互译。

免费翻译文档

深度研究

AI帮你快速写综述,25分钟生成高质量综述,智能提取关键信息,辅助科研写作。

立即免费体验

单侧前庭功能丧失的姿势补偿。

Postural compensation for unilateral vestibular loss.

机构信息

Department of Biomedical Engineering, Oregon Health & Science University Portland, OR, USA.

出版信息

Front Neurol. 2011 Sep 6;2:57. doi: 10.3389/fneur.2011.00057. eCollection 2011.

DOI:10.3389/fneur.2011.00057
PMID:21922014
原文链接:https://pmc.ncbi.nlm.nih.gov/articles/PMC3167354/
Abstract

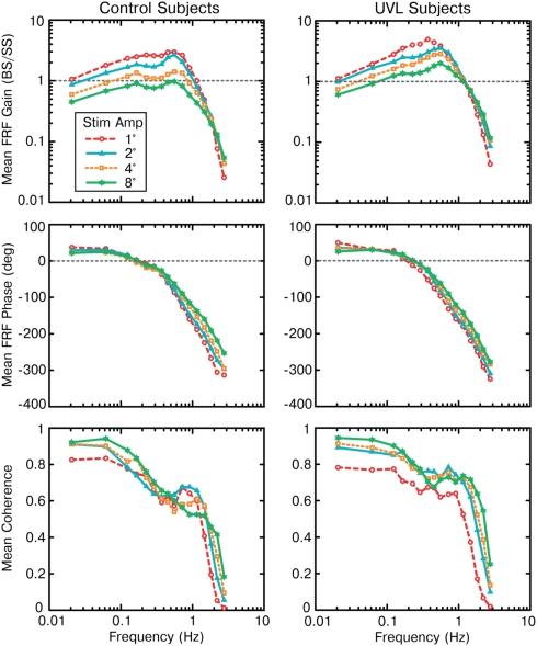
Postural control of upright stance was investigated in well-compensated, unilateral vestibular loss (UVL) subjects compared to age-matched control subjects. The goal was to determine how sensory weighting for postural control in UVL subjects differed from control subjects, and how sensory weighting related to UVL subjects' functional compensation, as assessed by standardized balance and dizziness questionnaires. Postural control mechanisms were identified using a model-based interpretation of medial-lateral center-of-mass body-sway evoked by support-surface rotational stimuli during eyes-closed stance. The surface-tilt stimuli consisted of continuous pseudorandom rotations presented at four different amplitudes. Parameters of a feedback control model were obtained that accounted for each subject's sway response to the surface-tilt stimuli. Sensory weighting factors quantified the relative contributions to stance control of vestibular sensory information, signaling body-sway relative to earth-vertical, and proprioceptive information, signaling body-sway relative to the surface. Results showed that UVL subjects made significantly greater use of proprioceptive, and therefore less use of vestibular, orientation information on all tests. There was relatively little overlap in the distributions of sensory weights measured in UVL and control subjects, although UVL subjects varied widely in the amount they could use their remaining vestibular function. Increased reliance on proprioceptive information by UVL subjects was associated with their balance being more disturbed by the surface-tilt perturbations than control subjects, thus indicating a deficiency of balance control even in well-compensated UVL subjects. Furthermore, there was some tendency for UVL subjects who were less able to utilize remaining vestibular information to also indicate worse functional compensation on questionnaires.

摘要

我们研究了姿势控制在单侧前庭功能丧失(UVL)患者和年龄匹配的对照组中的表现。目的是确定在 UVL 患者中,姿势控制的感觉权重与对照组有何不同,以及感觉权重与 UVL 患者的功能补偿之间的关系,通过标准化的平衡和头晕问卷进行评估。使用基于模型的解释方法,对闭眼站立时支撑面旋转刺激引起的身体中重心侧向摆动进行分析,从而确定姿势控制机制。表面倾斜刺激由连续的伪随机旋转组成,在四个不同的振幅下呈现。获取反馈控制模型的参数,以解释每个受试者对表面倾斜刺激的摆动反应。感觉权重因素量化了前庭感觉信息对站立控制的相对贡献,该信息表示身体相对于地球垂直方向的摆动,以及本体感觉信息,该信息表示身体相对于表面的摆动。结果表明,在所有测试中,UVL 患者对本体感觉的依赖性更大,对前庭定向信息的依赖性更小。尽管 UVL 患者在其剩余前庭功能的利用程度上差异很大,但在测量的感觉权重分布中,UVL 患者和对照组之间相对较少重叠。UVL 患者对本体感觉信息的依赖性增加,表明他们的平衡受到表面倾斜扰动的干扰比对照组更大,这表明即使在补偿良好的 UVL 患者中,平衡控制也存在缺陷。此外,那些不能很好地利用剩余前庭信息的 UVL 患者,在问卷上也表现出较差的功能补偿。

https://cdn.ncbi.nlm.nih.gov/pmc/blobs/8c2d/3167354/e4000d6e5c0b/fneur-02-00057-g006.jpg
https://cdn.ncbi.nlm.nih.gov/pmc/blobs/8c2d/3167354/ccbe41bfebde/fneur-02-00057-g001.jpg
https://cdn.ncbi.nlm.nih.gov/pmc/blobs/8c2d/3167354/4c63d9a89a90/fneur-02-00057-g002.jpg
https://cdn.ncbi.nlm.nih.gov/pmc/blobs/8c2d/3167354/d303d40f87c0/fneur-02-00057-g003.jpg
https://cdn.ncbi.nlm.nih.gov/pmc/blobs/8c2d/3167354/81287d879824/fneur-02-00057-g004.jpg
https://cdn.ncbi.nlm.nih.gov/pmc/blobs/8c2d/3167354/13d5faa367fd/fneur-02-00057-g005.jpg
https://cdn.ncbi.nlm.nih.gov/pmc/blobs/8c2d/3167354/e4000d6e5c0b/fneur-02-00057-g006.jpg
https://cdn.ncbi.nlm.nih.gov/pmc/blobs/8c2d/3167354/ccbe41bfebde/fneur-02-00057-g001.jpg
https://cdn.ncbi.nlm.nih.gov/pmc/blobs/8c2d/3167354/4c63d9a89a90/fneur-02-00057-g002.jpg
https://cdn.ncbi.nlm.nih.gov/pmc/blobs/8c2d/3167354/d303d40f87c0/fneur-02-00057-g003.jpg
https://cdn.ncbi.nlm.nih.gov/pmc/blobs/8c2d/3167354/81287d879824/fneur-02-00057-g004.jpg
https://cdn.ncbi.nlm.nih.gov/pmc/blobs/8c2d/3167354/13d5faa367fd/fneur-02-00057-g005.jpg
https://cdn.ncbi.nlm.nih.gov/pmc/blobs/8c2d/3167354/e4000d6e5c0b/fneur-02-00057-g006.jpg

相似文献

1
Postural compensation for unilateral vestibular loss.单侧前庭功能丧失的姿势补偿。
Front Neurol. 2011 Sep 6;2:57. doi: 10.3389/fneur.2011.00057. eCollection 2011.
2
Improvements in trunk sway observed for stance and gait tasks during recovery from an acute unilateral peripheral vestibular deficit.急性单侧外周前庭功能缺损恢复期间,在站立和步态任务中观察到的躯干摆动改善情况。
Audiol Neurootol. 2003 Sep-Oct;8(5):286-302. doi: 10.1159/000071999.
3
Trunk sway measures of postural stability during clinical balance tests: effects of a unilateral vestibular deficit.临床平衡测试中姿势稳定性的躯干摆动测量:单侧前庭功能减退的影响。
Gait Posture. 2001 Dec;14(3):227-37. doi: 10.1016/s0966-6362(01)00132-1.
4
Postural compensation for vestibular loss.前庭功能丧失后的姿势代偿。
Ann N Y Acad Sci. 2009 May;1164:76-81. doi: 10.1111/j.1749-6632.2008.03708.x.
5
Sensory Re-weighting for Postural Control in Parkinson's Disease.帕金森病姿势控制中的感觉重新加权
Front Hum Neurosci. 2019 Apr 17;13:126. doi: 10.3389/fnhum.2019.00126. eCollection 2019.
6
Clinical interest of postural and vestibulo-ocular reflex changes induced by cervical muscles and skull vibration in compensated unilateral vestibular lesion patients.颈椎肌肉和颅骨振动引起的姿势和前庭眼反射变化在单侧前庭病变代偿患者中的临床意义。
J Vestib Res. 2013;23(1):41-9. doi: 10.3233/VES-130468.
7
Human postural responses to motion of real and virtual visual environments under different support base conditions.在不同支撑基底条件下,人类对真实和虚拟视觉环境运动的姿势反应。
Exp Brain Res. 2005 Dec;167(4):535-56. doi: 10.1007/s00221-005-0065-3. Epub 2005 Aug 18.
8
Multisensory control of human upright stance.人类直立姿势的多感官控制。
Exp Brain Res. 2006 May;171(2):231-50. doi: 10.1007/s00221-005-0256-y. Epub 2005 Nov 24.
9
Sensory strategies in human postural control before and after unilateral vestibular neurotomy.单侧前庭神经切断术前后人体姿势控制中的感觉策略
Exp Brain Res. 1997 Jun;115(2):300-10. doi: 10.1007/pl00005698.
10
The role of vestibular cues in postural sway.前庭线索在姿势摆动中的作用。
J Neurophysiol. 2021 Feb 1;125(2):672-686. doi: 10.1152/jn.00168.2020. Epub 2021 Jan 27.

引用本文的文献

1
Anterior-posterior and medial-lateral balance metrics are unchanged when two-dimensional pseudorandom motion perturbations are provided in semicircular canal coordinates.当在半规管坐标中提供二维伪随机运动扰动时,前后和内外平衡指标不变。
Front Neurol. 2025 Aug 25;16:1638493. doi: 10.3389/fneur.2025.1638493. eCollection 2025.
2
The effect of the Epley maneuver on balance and falls in patients with benign paroxysmal positional vertigo.Epley手法对良性阵发性位置性眩晕患者平衡能力及跌倒情况的影响
Eur Arch Otorhinolaryngol. 2025 Jul 23. doi: 10.1007/s00405-025-09572-w.
3
Development and validation of a two-dimensional pseudorandom balance perturbation test.

本文引用的文献

1
Non-linear stimulus-response behavior of the human stance control system is predicted by optimization of a system with sensory and motor noise.人体姿态控制系统的非线性刺激-反应行为可通过对一个存在感觉和运动噪声的系统进行优化来预测。
J Comput Neurosci. 2011 Jun;30(3):759-78. doi: 10.1007/s10827-010-0291-y. Epub 2010 Dec 15.
2
Pre-operative vestibular pattern and balance compensation after vestibular schwannoma surgery.术前前庭模式与听神经瘤术后平衡代偿
Neuroscience. 2011 Jan 13;172:285-92. doi: 10.1016/j.neuroscience.2010.10.059. Epub 2010 Oct 28.
3
Long-term effects of vestibular compensation on balance control and sensory organisation after unilateral deafferentation due to vestibular schwannoma surgery.
二维伪随机平衡扰动测试的开发与验证
Front Hum Neurosci. 2024 Dec 6;18:1471132. doi: 10.3389/fnhum.2024.1471132. eCollection 2024.
4
Can head sway patterns differentiate between patients with Meniere's disease vs. peripheral vestibular hypofunction?头部摆动模式能否区分梅尼埃病患者和外周性前庭功能减退患者?
Front Neurol. 2024 Feb 29;15:1347335. doi: 10.3389/fneur.2024.1347335. eCollection 2024.
5
Postural impairments in unilateral and bilateral vestibulopathy.单侧和双侧前庭病变中的姿势障碍
Front Neurol. 2024 Feb 21;15:1324868. doi: 10.3389/fneur.2024.1324868. eCollection 2024.
6
Increased roll tilt thresholds are associated with subclinical postural instability in asymptomatic adults aged 21 to 84 years.在21至84岁无症状成年人中,滚动倾斜阈值增加与亚临床姿势不稳相关。
Front Aging Neurosci. 2023 Aug 10;15:1207711. doi: 10.3389/fnagi.2023.1207711. eCollection 2023.
7
Vestibular Contributions to Primate Neck Postural Muscle Activity during Natural Motion.前庭对灵长类动物自然运动中颈部姿势肌肉活动的贡献。
J Neurosci. 2023 Mar 29;43(13):2326-2337. doi: 10.1523/JNEUROSCI.1831-22.2023. Epub 2023 Feb 17.
8
Head movement kinematics are altered during balance stability exercises in individuals with vestibular schwannoma.前庭神经鞘瘤患者在进行平衡稳定性练习时头部运动学发生改变。
J Neuroeng Rehabil. 2022 Nov 9;19(1):120. doi: 10.1186/s12984-022-01109-0.
9
Central sensorimotor integration assessment reveals deficits in standing balance control in people with chronic mild traumatic brain injury.中枢感觉运动整合评估显示,慢性轻度创伤性脑损伤患者在站立平衡控制方面存在缺陷。
Front Neurol. 2022 Oct 21;13:897454. doi: 10.3389/fneur.2022.897454. eCollection 2022.
10
The effects of augmenting traditional rehabilitation with audio biofeedback in people with persistent imbalance following mild traumatic brain injury.在轻度创伤性脑损伤后持续存在平衡障碍的人群中,用音频生物反馈增强传统康复治疗的效果。
Front Neurol. 2022 Oct 4;13:926691. doi: 10.3389/fneur.2022.926691. eCollection 2022.
单侧听神经瘤术后前庭神经切断引起的单侧去传入后平衡控制和感觉组织的前庭代偿的长期影响。
J Neurol Neurosurg Psychiatry. 2010 Aug;81(8):934-6. doi: 10.1136/jnnp.2009.171983.
4
Postural compensation for vestibular loss and implications for rehabilitation.姿势补偿对前庭损失的影响及其康复意义。
Restor Neurol Neurosci. 2010;28(1):57-68. doi: 10.3233/RNN-2010-0515.
5
Vestibular function after acute vestibular neuritis.急性前庭神经炎后的前庭功能。
Restor Neurol Neurosci. 2010;28(1):37-46. doi: 10.3233/RNN-2010-0533.
6
A contemporary review of balance dysfunction following vestibular schwannoma surgery.前庭神经鞘瘤手术后平衡功能障碍的当代综述。
Laryngoscope. 2009 Nov;119(11):2085-93. doi: 10.1002/lary.20648.
7
Impulsive testing of semicircular canal function.半规管功能的冲动性测试。
Prog Brain Res. 2008;171:187-94. doi: 10.1016/S0079-6123(08)00625-0.
8
Relationship between dynamic balance and self-reported handicap in patients who have unilateral peripheral vestibular loss.单侧外周性前庭功能丧失患者的动态平衡与自我报告的功能障碍之间的关系。
Otol Neurotol. 2007 Oct;28(7):905-10.
9
Sensorimotor postural rearrangement after unilateral vestibular deafferentation in patients with acoustic neuroma.听神经瘤患者单侧前庭传入神经切断术后的感觉运动姿势重新调整
Neurosci Res. 2006 Jun;55(2):171-81. doi: 10.1016/j.neures.2006.02.016. Epub 2006 Apr 18.
10
Stimulus-dependent changes in the vestibular contribution to human postural control.前庭对人体姿势控制的贡献中与刺激相关的变化。
J Neurophysiol. 2006 May;95(5):2733-50. doi: 10.1152/jn.00856.2004. Epub 2006 Feb 8.