Suppr超能文献

层状浑浊介质中的宽带紫外-可见光学特性测量。

Broadband ultraviolet-visible optical property measurement in layered turbid media.

作者信息

Wang Quanzeng, Le Du, Ramella-Roman Jessica, Pfefer Joshua

出版信息

Biomed Opt Express. 2012 Jun 1;3(6):1226-40. doi: 10.1364/BOE.3.001226. Epub 2012 May 3.

Abstract

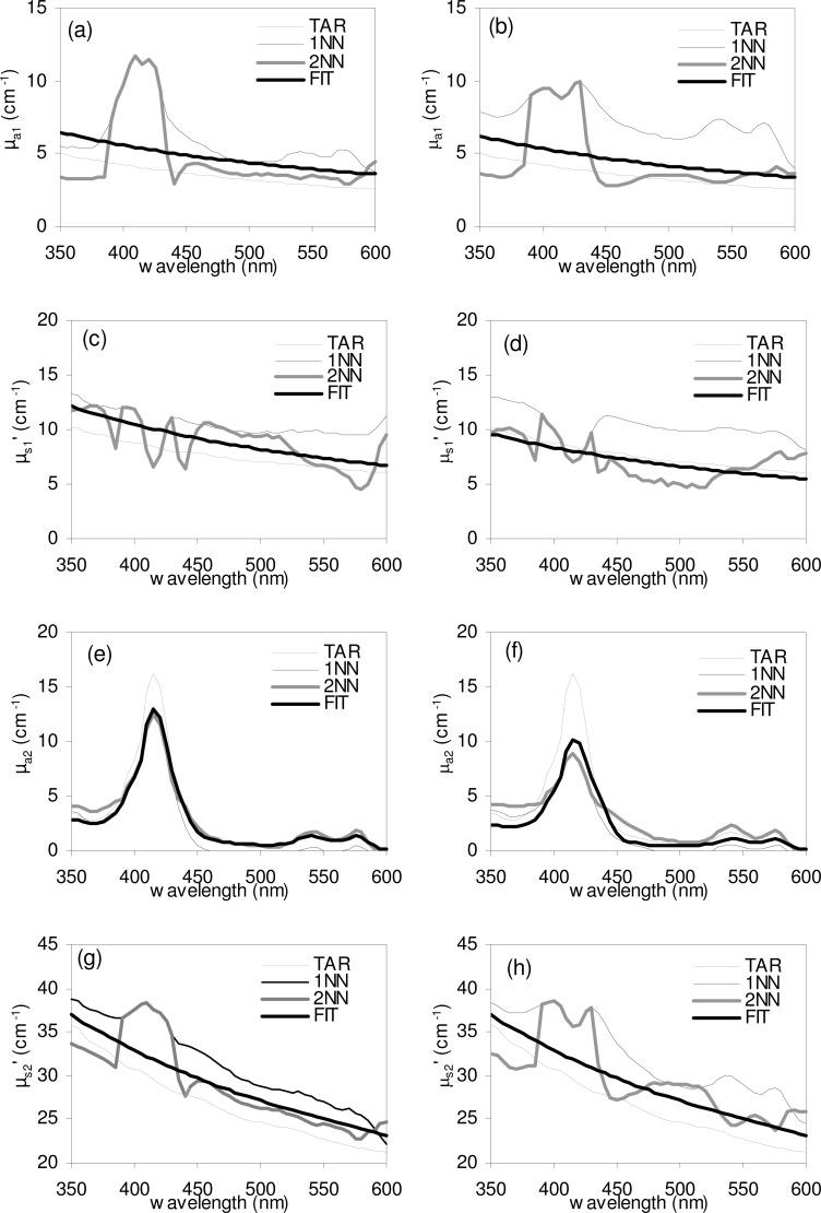
The ability to accurately measure layered biological tissue optical properties (OPs) may improve understanding of spectroscopic device performance and facilitate early cancer detection. Towards these goals, we have performed theoretical and experimental evaluations of an approach for broadband measurement of absorption and reduced scattering coefficients at ultraviolet-visible wavelengths. Our technique is based on neural network (NN) inverse models trained with diffuse reflectance data from condensed Monte Carlo simulations. Experimental measurements were performed from 350 to 600 nm with a fiber-optic-based reflectance spectroscopy system. Two-layer phantoms incorporating OPs relevant to normal and dysplastic mucosal tissue and superficial layer thicknesses of 0.22 and 0.44 mm were used to assess prediction accuracy. Results showed mean OP estimation errors of 19% from the theoretical analysis and 27% from experiments. Two-step NN modeling and nonlinear spectral fitting approaches helped improve prediction accuracy. While limitations and challenges remain, the results of this study indicate that our technique can provide moderately accurate estimates of OPs in layered turbid media.

摘要

准确测量分层生物组织光学特性(OPs)的能力可能会增进对光谱设备性能的理解,并有助于早期癌症检测。为实现这些目标,我们对一种在紫外-可见波长下宽带测量吸收系数和约化散射系数的方法进行了理论和实验评估。我们的技术基于用凝聚态蒙特卡罗模拟的漫反射数据训练的神经网络(NN)反演模型。使用基于光纤的反射光谱系统在350至600纳米范围内进行了实验测量。采用了包含与正常和发育异常黏膜组织相关的光学特性以及0.22毫米和0.44毫米表层厚度的双层体模来评估预测准确性。结果显示,理论分析得出的光学特性估计平均误差为19%,实验得出的为27%。两步神经网络建模和非线性光谱拟合方法有助于提高预测准确性。尽管仍存在局限性和挑战,但本研究结果表明,我们的技术能够对分层混浊介质中的光学特性提供适度准确的估计。

https://cdn.ncbi.nlm.nih.gov/pmc/blobs/5d86/3370964/0902a3d3f7e6/boe-3-6-1226-g001.jpg

相似文献

1
Broadband ultraviolet-visible optical property measurement in layered turbid media.
Biomed Opt Express. 2012 Jun 1;3(6):1226-40. doi: 10.1364/BOE.3.001226. Epub 2012 May 3.
6
An integrated fiber-optic probe combined with support vector regression for fast estimation of optical properties of turbid media.
Anal Chim Acta. 2015 Jun 23;880:122-9. doi: 10.1016/j.aca.2015.04.048. Epub 2015 Apr 28.
10
Reflectance-based determination of optical properties in highly attenuating tissue.
J Biomed Opt. 2003 Apr;8(2):206-15. doi: 10.1117/1.1559487.

引用本文的文献

2
7
Precancerous esophageal epithelia are associated with significantly increased scattering coefficients.
Biomed Opt Express. 2015 Sep 3;6(10):3795-805. doi: 10.1364/BOE.6.003795. eCollection 2015 Oct 1.
8
Efficient construction of robust artificial neural networks for accurate determination of superficial sample optical properties.
Biomed Opt Express. 2015 Feb 10;6(3):747-60. doi: 10.1364/BOE.6.000747. eCollection 2015 Mar 1.
9
Measurements of extrinsic fluorescence in Intralipid and polystyrene microspheres.
Biomed Opt Express. 2014 Jul 22;5(8):2726-35. doi: 10.1364/BOE.5.002726. eCollection 2014 Aug 1.

本文引用的文献

2
The use of India ink in tissue-simulating phantoms.
Opt Express. 2010 Dec 20;18(26):26854-65. doi: 10.1364/OE.18.026854.
4
Cancer statistics, 2009.
CA Cancer J Clin. 2009 Jul-Aug;59(4):225-49. doi: 10.3322/caac.20006. Epub 2009 May 27.
5
A robust Monte Carlo model for the extraction of biological absorption and scattering in vivo.
IEEE Trans Biomed Eng. 2009 Apr;56(4):960-8. doi: 10.1109/TBME.2008.2005994.
6
Lookup table-based inverse model for determining optical properties of turbid media.
J Biomed Opt. 2008 Sep-Oct;13(5):050501. doi: 10.1117/1.2981797.
8
In vivo optical coherence tomography imaging of preinvasive bronchial lesions.
Clin Cancer Res. 2008 Apr 1;14(7):2006-11. doi: 10.1158/1078-0432.CCR-07-4418.
9

文献AI研究员

20分钟写一篇综述,助力文献阅读效率提升50倍。

立即体验

用中文搜PubMed

大模型驱动的PubMed中文搜索引擎

马上搜索

文档翻译

学术文献翻译模型,支持多种主流文档格式。

立即体验