Suppr超能文献

社交网络中的通信活动:长期相关性与事件间聚类的关系。

Communication activity in a social network: relation between long-term correlations and inter-event clustering.

机构信息

Levich Institute and Physics Department, City College of New York, NY 10031, USA.

出版信息

Sci Rep. 2012;2:560. doi: 10.1038/srep00560. Epub 2012 Aug 6.

Abstract

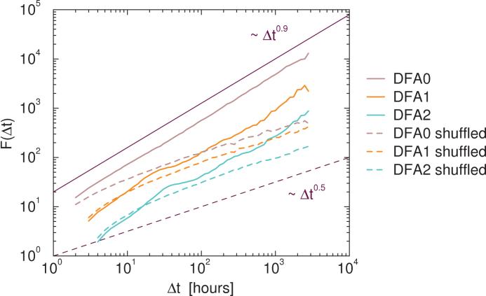
Human communication in social networks is dominated by emergent statistical laws such as non-trivial correlations and temporal clustering. Recently, we found long-term correlations in the user's activity in social communities. Here, we extend this work to study the collective behavior of the whole community with the goal of understanding the origin of clustering and long-term persistence. At the individual level, we find that the correlations in activity are a byproduct of the clustering expressed in the power-law distribution of inter-event times of single users, i.e. short periods of many events are separated by long periods of no events. On the contrary, the activity of the whole community presents long-term correlations that are a true emergent property of the system, i.e. they are not related to the distribution of inter-event times. This result suggests the existence of collective behavior, possibly arising from nontrivial communication patterns through the embedding social network.

摘要

社交网络中的人类交流主要受非平凡相关性和时间聚类等新兴统计规律的支配。最近,我们发现社交社区中用户活动存在长期相关性。在这里,我们扩展这项工作以研究整个社区的集体行为,目的是了解聚类和长期持续的起源。在个体层面上,我们发现活动中的相关性是单个用户事件间时间分布的幂律所表达的聚类的副产品,即许多事件的短周期被没有事件的长周期隔开。相反,整个社区的活动具有长期相关性,这是系统的真正新兴特性,即它们与事件间时间分布无关。这一结果表明存在集体行为,可能源于通过嵌入社交网络的非平凡交流模式。

https://cdn.ncbi.nlm.nih.gov/pmc/blobs/f1f8/3413962/3e689efa900f/srep00560-f1.jpg

文献检索

告别复杂PubMed语法,用中文像聊天一样搜索,搜遍4000万医学文献。AI智能推荐,让科研检索更轻松。

立即免费搜索

文件翻译

保留排版,准确专业,支持PDF/Word/PPT等文件格式,支持 12+语言互译。

免费翻译文档

深度研究

AI帮你快速写综述,25分钟生成高质量综述,智能提取关键信息,辅助科研写作。

立即免费体验