Suppr超能文献

AAPM TG119 在容积弧形调强放疗(VMAT)中的应用。

Application of AAPM TG 119 to volumetric arc therapy (VMAT).

机构信息

Department of Radiation Oncology, Montefiore Medical Center, Bronx, New York, USA.

出版信息

J Appl Clin Med Phys. 2012 Sep 6;13(5):3382. doi: 10.1120/jacmp.v13i5.3382.

Abstract

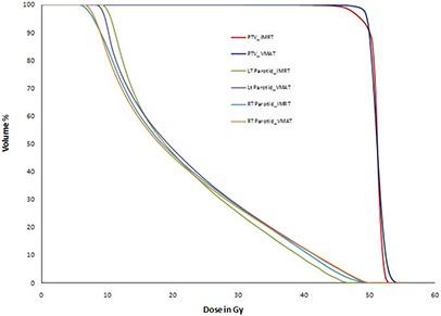
The purpose of this study was to create AAPM TG 119 benchmark plans for volumetric arc therapy (VMAT) and to compare VMAT plans with IMRT plan data. AAPM TG 119 proposes a set of test clinical cases for testing the accuracy of IMRT planning and delivery system. For these test cases, we generated two treatment plans, the first plan using 7-9 static dMLC IMRT fields and a second plan utilizing one- or two-arc VMAT technique. Dose optimization and calculations performed using 6 MV photons and Eclipse treatment planning system. Dose prescription and planning objectives were set according to the TG 119 goals. Plans were scored based on TG 119 planning objectives. Treatment plans were compared using conformity index (CI) for reference dose and homogeneity index (HI) (for D(5)-D(95)). For test cases prostate, head-and-neck, C-shape and multitarget prescription dose are 75.6 Gy, 50.4 Gy, 50 Gy and 50 Gy, respectively. VMAT dose distributions were comparable to dMLC IMRT plans. Our planning results matched TG 119 planning results. For treatment plans studied, conformity indices ranged from 1.05-1.23 (IMRT) and 1.04-1.23 (VMAT). Homogeneity indices ranged from 4.6%-11.0% (IMRT) and 4.6%-10.5% (VMAT). The ratio of total monitor units necessary for dMLC IMRT to that of VMAT was in the range of 1.1-2.0. AAPM TG 119 test cases are useful to generate VMAT benchmark plans. At preclinical implementation stage, plan comparison of VMAT and IMRT plans of AAPM TG 119 test case allowed us to understand basic capabilities of VMAT technique.

摘要

本研究旨在为容积弧形治疗(VMAT)创建 AAPM TG 119 基准计划,并比较 VMAT 计划与调强放射治疗(IMRT)计划数据。AAPM TG 119 提出了一组测试临床病例,用于测试 IMRT 计划和交付系统的准确性。对于这些测试病例,我们生成了两种治疗计划,第一个计划使用 7-9 个静态多叶准直器(MLC)的 IMRT 场,第二个计划利用单弧或双弧 VMAT 技术。使用 6 MV 光子和 Eclipse 治疗计划系统进行剂量优化和计算。根据 TG 119 的目标设置剂量处方和计划目标。根据 TG 119 计划目标对计划进行评分。根据参考剂量的适形指数(CI)和均匀性指数(HI)(用于 D(5)-D(95))比较治疗计划。对于测试病例,前列腺、头颈部、C 形和多靶处方剂量分别为 75.6 Gy、50.4 Gy、50 Gy 和 50 Gy。VMAT 剂量分布与多叶 MLC IMRT 计划相当。我们的计划结果与 TG 119 的计划结果相匹配。在所研究的治疗计划中,适形指数范围为 1.05-1.23(IMRT)和 1.04-1.23(VMAT)。均匀性指数范围为 4.6%-11.0%(IMRT)和 4.6%-10.5%(VMAT)。多叶 MLC IMRT 所需的总监测器单位与 VMAT 的比值在 1.1-2.0 之间。AAPM TG 119 测试病例有助于生成 VMAT 基准计划。在临床前实施阶段,对 AAPM TG 119 测试病例的 VMAT 和 IMRT 计划进行比较,使我们能够了解 VMAT 技术的基本能力。

https://cdn.ncbi.nlm.nih.gov/pmc/blobs/3610/5718241/d58790f985e5/ACM2-13-108-g001.jpg

文献AI研究员

20分钟写一篇综述,助力文献阅读效率提升50倍。

立即体验

用中文搜PubMed

大模型驱动的PubMed中文搜索引擎

马上搜索

文档翻译

学术文献翻译模型,支持多种主流文档格式。

立即体验