Center for Drug Discovery and Biodiversity, Institute for Scientific Research and Technology Services-INDICASAT, Clayton, City of Knowledge, P.O. Box 0843-01103, Panama.
Mar Drugs. 2012 Nov 21;10(11):2608-17. doi: 10.3390/md10112608.
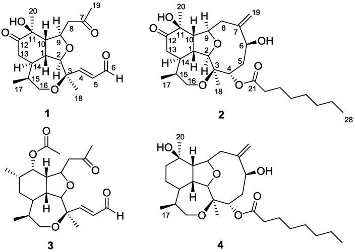
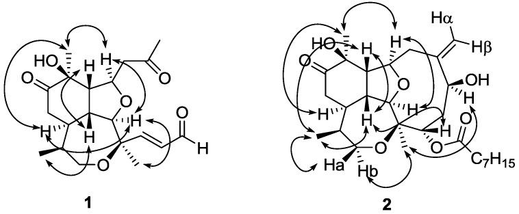
Two new eunicellin-based diterpenes, seco-briarellinone (1) and briarellin S (2), and a known seco-asbestinin (3) have been isolated from the methanolic extract of the common octocoral Briareum asbestinum collected in Bocas del Toro, Caribbean of Panama. The structures and relative stereochemistry of the compounds were defined using extensive spectroscopic analysis including 1D, 2D-nuclear magnetic resonance (NMR) and high-resolution mass spectrometry (HRMS). Compounds 1 and 2 displayed anti-inflammatory properties inhibiting nitric oxide (NO) production induced by lipopolisacharide (LPS) in macrophages with an Inhibitory concentration 50% (IC₅₀) of 4.7 μM and 20.3 μM, respectively. This is the first report of briarellin diterpenes containing a ketone group at C-12.
从巴拿马加勒比博卡斯德尔托罗采集的普通八放珊瑚 Briareum asbestinum 的甲醇提取物中分离得到了两种新的海百合烷类二萜:secobriarellinone(1)和 briarellin S(2),以及一种已知的 seco-asbestinin(3)。通过广泛的光谱分析,包括 1D、2D-核磁共振(NMR)和高分辨率质谱(HRMS),确定了化合物的结构和相对立体化学。化合物 1 和 2 具有抗炎作用,能抑制脂多糖(LPS)诱导的巨噬细胞中一氧化氮(NO)的产生,其抑制浓度 50%(IC₅₀)分别为 4.7 μM 和 20.3 μM。这是首次报道含有 C-12 酮基的 briarellin 二萜。