Suppr超能文献

心脏病学职业选择:英国医学毕业生队列研究。

Career choices for cardiology: cohort studies of UK medical graduates.

机构信息

UK Medical Careers Research Group, Department of Public Health, University of Oxford, Old Road Campus, Oxford OX3 7LF, UK.

出版信息

BMC Med Educ. 2013 Jan 25;13:10. doi: 10.1186/1472-6920-13-10.

Abstract

BACKGROUND

Cardiology is one of the most popular of the hospital medical specialties in the UK. It is also a highly competitive specialty in respect of the availability of higher specialty training posts. Our aims are to describe doctors' early intentions about seeking careers in cardiology, to report on when decisions about seeking a career in cardiology are made, to compare differences between men and women doctors in the choice of cardiology, and to compare early career choices with later specialty destinations.

METHODS

Questionnaire surveys were sent to all UK medical graduates in selected qualification years from 1974-2009, at 1, 3, 5, 7 and 10 years after graduation.

RESULTS

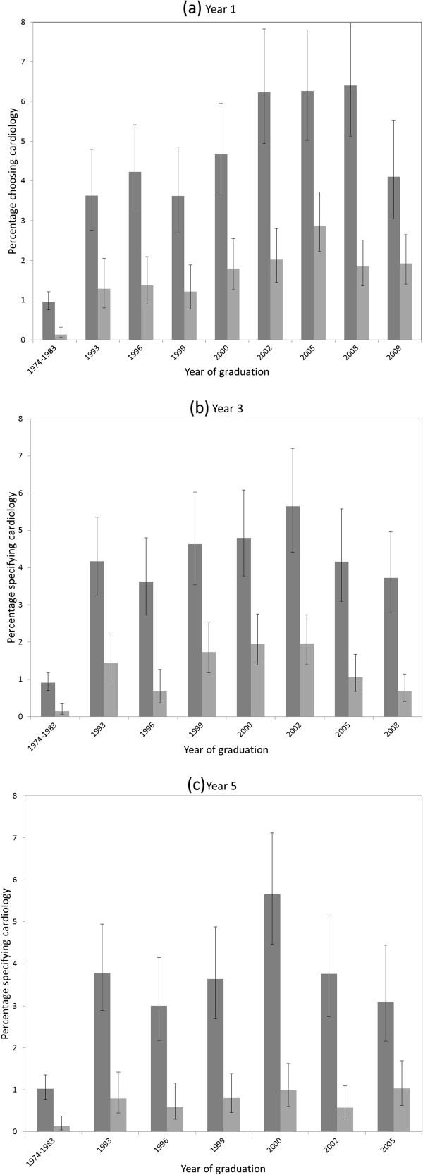
One year after graduation, the percentage of doctors specifying cardiology as their first choice of long-term career rose from the mid-1990s from 2.4% (1993 cohort) to 4.2% (2005 cohort) but then fell back to 2.7% (2009 cohort). Men were more likely to give cardiology as their first choice than women (eg 4.1% of men and 1.9% of women in the 2009 cohort). The percentage of doctors who gave cardiology as their first choice of career declined between years one and five after qualification: the fall was more marked for women. 34% of respondents who specified cardiology as their sole first choice of career one year post-graduation were later working in cardiology. 24% of doctors practising as cardiologists several years after qualification had given cardiology as their sole first choice in year one. The doctors' 'domestic circumstances' were a relatively unimportant influence on specialty choice for aspiring cardiologists, while 'enthusiasm/commitment', 'financial prospects', 'experiences of the job so far' and 'a particular teacher/department' were important.

CONCLUSIONS

Cardiology grew as a first preference one year after graduation to 2005 but is now falling. It consistently attracts a higher percentage of men than women doctors. The correspondence between early choice and later destination was not particularly strong for cardiology, and was less strong than that for several other specialties.

摘要

背景

心脏病学是英国医院医学专业中最受欢迎的专业之一。就高级专科培训职位的可获得性而言,它也是一个竞争非常激烈的专业。我们的目的是描述医生们最初对从事心脏病学职业的意向,报告他们决定从事心脏病学职业的时间,比较男女医生在选择心脏病学时的差异,并比较早期职业选择与后来的专业去向。

方法

我们向 1974 年至 2009 年选定资格年份的所有英国医学毕业生发送了问卷调查,在毕业后 1、3、5、7 和 10 年进行调查。

结果

毕业后第一年,指定心脏病学为长期职业第一选择的医生比例从 20 世纪 90 年代中期的 2.4%(1993 年队列)上升到 4.2%(2005 年队列),但随后又回落到 2.7%(2009 年队列)。男性比女性更有可能将心脏病学作为他们的第一选择,例如,2009 年队列中,4.1%的男性和 1.9%的女性选择了心脏病学。在获得资格后的 1-5 年内,指定心脏病学为职业第一选择的医生比例下降:女性下降更为明显。毕业后第一年指定心脏病学为唯一第一选择的 34%的受访者后来从事心脏病学工作。在获得资格后的几年,24%的心脏病学家曾在第一年将心脏病学作为唯一的第一选择。对于有志成为心脏病学家的医生来说,“家庭情况”对专业选择的影响相对较小,而“热情/承诺”、“财务前景”、“迄今为止的工作经验”和“特定的老师/科室”则是重要的影响因素。

结论

心脏病学在毕业后第一年作为第一选择的比例上升到 2005 年,但现在正在下降。它一直吸引着比女医生更高比例的男医生。心脏病学早期选择和后来去向之间的对应关系不是特别强,而且比其他几个专业的对应关系弱。

https://cdn.ncbi.nlm.nih.gov/pmc/blobs/dd18/3579736/52ce60fdef06/1472-6920-13-10-1.jpg

文献AI研究员

20分钟写一篇综述,助力文献阅读效率提升50倍。

立即体验

用中文搜PubMed

大模型驱动的PubMed中文搜索引擎

马上搜索

文档翻译

学术文献翻译模型,支持多种主流文档格式。

立即体验