Suppr超能文献

N-ε-羧甲基赖氨酸、晚期糖基化终末产物和活性氧在2型糖尿病非增殖性和增殖性视网膜病变发生发展中的作用

Role of N-ε- carboxy methyl lysine, advanced glycation end products and reactive oxygen species for the development of nonproliferative and proliferative retinopathy in type 2 diabetes mellitus.

作者信息

Choudhuri Subhadip, Dutta Deep, Sen Aditi, Chowdhury Imran Hussain, Mitra Bhaskar, Mondal Lakshmi Kanta, Saha Avijit, Bhadhuri Gautam, Bhattacharya Basudev

机构信息

Department of Biochemistry, Dr. B C Roy Post Graduate Institute of Basic Medical Education and Research, Kolkata, India.

出版信息

Mol Vis. 2013;19:100-13. Epub 2013 Jan 28.

Abstract

PURPOSE

The aim of the present study was to evaluate the collective role of N-epsilon-carboxy methyl lysine (N(ε)-CML), advanced glycation end-products (AGEs), and reactive oxygen species (ROS) for the development of retinopathy among type 2 diabetic subjects.

METHODS

Seventy type 2 diabetic subjects with nonproliferative diabetic retinopathy (NPDR), 105 subjects with proliferative diabetic retinopathy (PDR), and 102 patients with diabetes but without retinopathy (DNR) were enrolled in this study. In addition, 95 normal individuals without diabetes were enrolled as healthy controls in this study. Serum and vitreous N(ε)-CML and AGEs were measured by enzyme-linked immunosorbent assay. The peripheral blood mononuclear cell (PBMC) ROS level was measured by flow cytometric analysis. Serum and PBMC total thiols were measured by spectrophotometry.

RESULTS

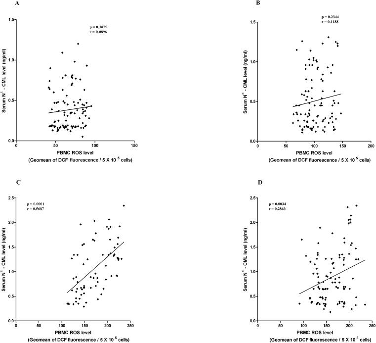
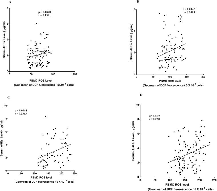
Serum AGEs and N(ε)-CML levels were significantly elevated in subjects with PDR (p<0.0001) and NPDR (p=0.0297 and p<0.0001, respectively) compared to DNR subjects. Further vitreous AGEs and N(ε)-CML levels were found to be significantly high among PDR subjects compared to the control group (p<0.0001). PBMC ROS production was found to be strikingly high among NPDR (p<0.0001) and PDR (p<0.0001) subjects as compared to the DNR group. Serum and PBMC total thiol levels were remarkably decreased in NPDR (p<0.0001 and p=0.0043, respectively) and PDR (p=0.0108 and p=0.0332 respectively) subjects than those were considered as DNR.

CONCLUSIONS

Our findings suggest that N(ε)-CML and ROS are the key modulators for the development of nonproliferative retinopathy among poorly controlled type 2 diabetic subjects. Furthermore, AGEs under persistent oxidative stress and the deprived antioxidant state might instigate the pathogenic process of retinopathy from the nonproliferative to the proliferative state.

摘要

目的

本研究旨在评估N-ε-羧甲基赖氨酸(N(ε)-CML)、晚期糖基化终产物(AGEs)和活性氧(ROS)在2型糖尿病患者视网膜病变发生发展中的共同作用。

方法

本研究纳入了70例患有非增殖性糖尿病视网膜病变(NPDR)的2型糖尿病患者、105例患有增殖性糖尿病视网膜病变(PDR)的患者以及102例患有糖尿病但无视网膜病变(DNR)的患者。此外,95例无糖尿病的正常个体作为健康对照纳入本研究。采用酶联免疫吸附测定法检测血清和玻璃体中的N(ε)-CML和AGEs。通过流式细胞术分析检测外周血单个核细胞(PBMC)的ROS水平。采用分光光度法检测血清和PBMC中的总硫醇。

结果

与DNR组相比,PDR组(p<0.0001)和NPDR组(分别为p=0.0297和p<0.0001)的血清AGEs和N(ε)-CML水平显著升高。与对照组相比,PDR组的玻璃体AGEs和N(ε)-CML水平进一步显著升高(p<0.0001)。与DNR组相比,NPDR组(p<0.0001)和PDR组(p<0.0001)的PBMC ROS生成显著升高。与DNR组相比,NPDR组(分别为p<0.0001和p=0.0043)和PDR组(分别为p=0.0108和p=0.0332)的血清和PBMC总硫醇水平显著降低。

结论

我们的研究结果表明,N(ε)-CML和ROS是控制不佳的2型糖尿病患者非增殖性视网膜病变发生发展的关键调节因子。此外,持续氧化应激和抗氧化状态缺乏下的AGEs可能会促使视网膜病变从非增殖性状态发展为增殖性状态的致病过程。

https://cdn.ncbi.nlm.nih.gov/pmc/blobs/1e7c/3559098/8a59fb2ee99a/mv-v19-100-f1.jpg

文献AI研究员

20分钟写一篇综述,助力文献阅读效率提升50倍。

立即体验

用中文搜PubMed

大模型驱动的PubMed中文搜索引擎

马上搜索

文档翻译

学术文献翻译模型,支持多种主流文档格式。

立即体验