Suppr超能文献

结合行为体重减轻治疗和商业计划:一项随机临床试验。

Combining behavioral weight loss treatment and a commercial program: a randomized clinical trial.

机构信息

Department of Psychology, Baruch College, CUNY, New York, New York, USA.

出版信息

Obesity (Silver Spring). 2013 Apr;21(4):673-80. doi: 10.1002/oby.20044.

Abstract

OBJECTIVE

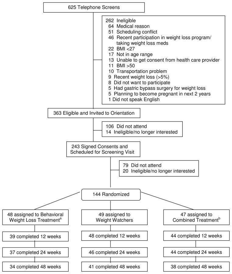
To test the hypothesis that a novel weight loss approach that combined the fundamental components of professionally delivered behavioral weight loss (BWL) treatment with the existing Weight Watchers (WW) program would produce better weight losses than WW alone no differences were expected between the novel treatment and BWL alone.

DESIGN AND METHODS

Participants were 141 overweight and obese adults (90% women, 67% non-White, mean age = 49.7 ± 9.2 years, mean body mass index = 36.2 ± 5.5 kg/m(2) ) randomly assigned to 48 weeks of BWL, 48 weeks of WW, or 12 weeks of BWL followed by 36 weeks of WW [combined treatment (CT)]. Assessments were conducted at baseline and weeks 12, 24, and 48, with weight change as the primary outcome.

RESULTS

Linear mixed model analysis showed that 24-week weight losses did not differ significantly between treatment groups; however, weight losses at 48 weeks were greater in the WW group (M = -6.0 kg, standard error (SE) = 0.8) compared with the CT group (M = -3.6 kg, SE = 0.8; P = 0.032), with BWL not significantly different from either (M = -5.4 kg, SE = 0.8). Further, a greater proportion of WW participants lost 10% of baseline weight by 48 weeks compared with BWL or CT (36.7%, 13.0%, and 15.2%, respectively, P < 0.05).

CONCLUSION

This study shows that the WW program can produce clinically meaningful weight losses and provides no evidence that adding brief BWL to the WW program improves outcome.

摘要

目的

检验以下假设,即将专业提供的行为体重管理(BWL)治疗的基本组成部分与现有的 Weight Watchers(WW)计划相结合的新型减肥方法将比单独的 WW 计划产生更好的减肥效果,预计新型治疗方法与单独的 BWL 之间不会存在差异。

设计和方法

参与者为 141 名超重和肥胖成年人(90%为女性,67%为非白人,平均年龄=49.7±9.2 岁,平均体重指数=36.2±5.5kg/m²),随机分为 48 周 BWL 组、48 周 WW 组或 12 周 BWL 后 36 周 WW 组[联合治疗(CT)]。在基线和第 12、24 和 48 周进行评估,体重变化为主要结局。

结果

线性混合模型分析显示,治疗组之间 24 周的体重减轻无显著差异;然而,在第 48 周时,WW 组的体重减轻更大(M =-6.0kg,标准误差(SE)=0.8),与 CT 组(M =-3.6kg,SE =0.8;P =0.032)相比,BWL 与任何一组都没有显著差异(M =-5.4kg,SE =0.8)。此外,更多的 WW 参与者在第 48 周时体重减轻了 10%的基线体重,而 BWL 或 CT 组则分别为 36.7%、13.0%和 15.2%(P<0.05)。

结论

本研究表明,WW 计划可以产生有临床意义的体重减轻效果,并且没有证据表明将简短的 BWL 添加到 WW 计划中可以改善结果。

https://cdn.ncbi.nlm.nih.gov/pmc/blobs/d5f2/3657569/562a80b30a80/nihms410929f1.jpg

文献AI研究员

20分钟写一篇综述,助力文献阅读效率提升50倍。

立即体验

用中文搜PubMed

大模型驱动的PubMed中文搜索引擎

马上搜索

文档翻译

学术文献翻译模型,支持多种主流文档格式。

立即体验