Suppr超能文献

证据表明 RhoA 信号通路参与了乙醇诱导的肠道上皮屏障通透性增加。

Evidence for the Involvement of RhoA Signaling in the Ethanol-Induced Increase in Intestinal Epithelial Barrier Permeability.

机构信息

Department of Gastroenterology, The First Affiliated Hospital of China Medical University, 155 North Nanjing Street, Shenyang 110001, China.

出版信息

Int J Mol Sci. 2013 Feb 18;14(2):3946-60. doi: 10.3390/ijms14023946.

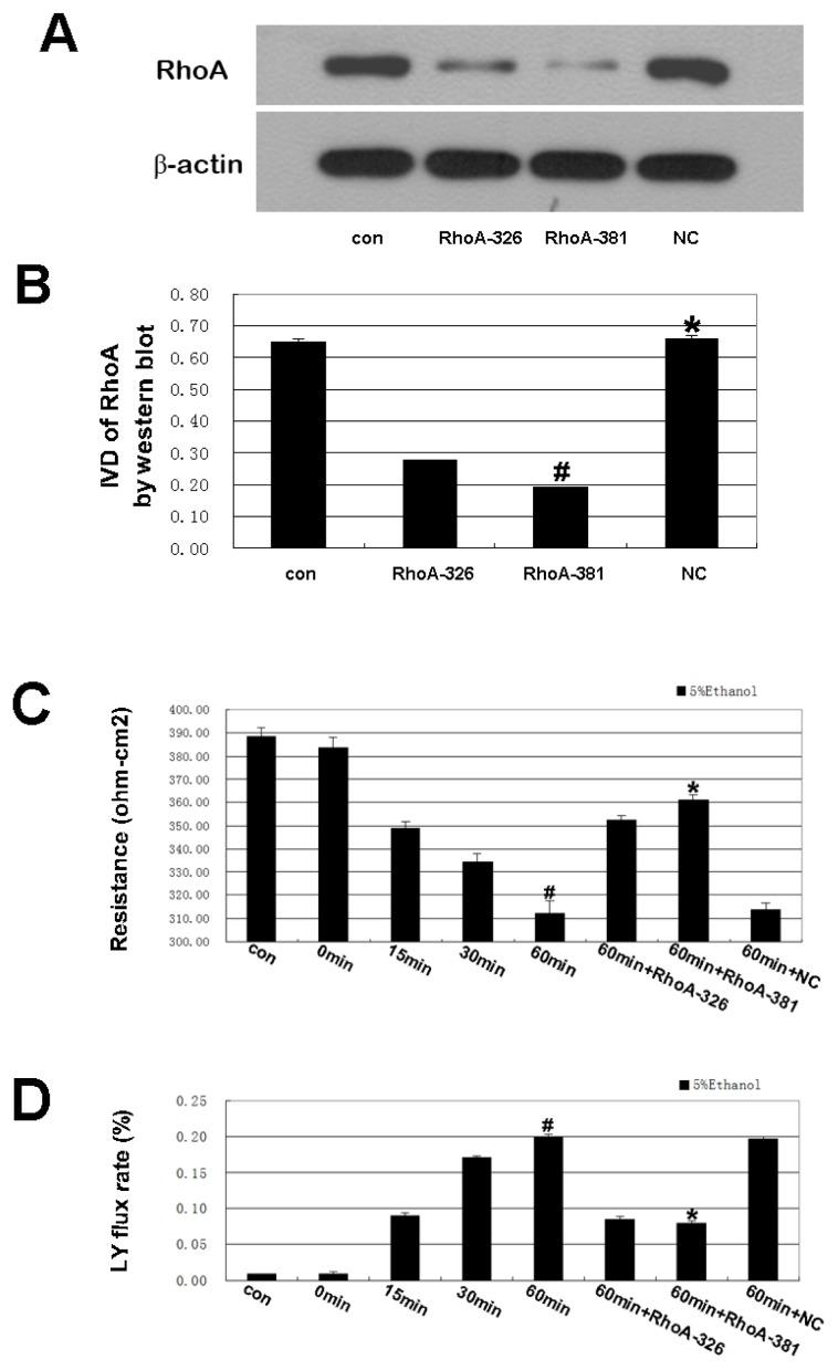
Abstract

In this work, we investigated the potential role of the small G protein RhoA in ethanol-induced tight junction (TJ) protein disassembly and increased intestinal epithelial barrier (IEB) permeability. Our study used Caco-2 cells as an in vitro IEB model and RhoA short hairpin RNA (shRNA) interference to establish whether RhoA plays a role in ethanol-induced TJ opening. RhoA shRNA interference partially inhibited epithelial leakage and restored normal transepithelial electrical resistance (TEER) values in the IEB. Moreover, RhoA shRNA interference prevented a shift in occludin distribution from insoluble to soluble fractions. Additionally, RhoA shRNA interference inhibited the ethanol-induced expression of zonula occludens-1 (ZO-1). Finally, RhoA shRNA interference inhibited an ethanol-induced increase in RhoA activity. The contributions of RhoA to an ethanol-induced increase in IEB permeability are associated with TJ disassembly.

摘要

在这项工作中,我们研究了小 G 蛋白 RhoA 在乙醇诱导的紧密连接 (TJ) 蛋白解组装和增加肠道上皮屏障 (IEB) 通透性中的潜在作用。我们的研究使用 Caco-2 细胞作为体外 IEB 模型,并使用 RhoA 短发夹 RNA (shRNA) 干扰来确定 RhoA 是否在乙醇诱导的 TJ 开放中发挥作用。RhoA shRNA 干扰部分抑制了上皮通透性的增加,并恢复了 IEB 中正常的跨上皮电阻 (TEER) 值。此外,RhoA shRNA 干扰阻止了 occludin 从不可溶部分向可溶部分的分布转移。此外,RhoA shRNA 干扰抑制了乙醇诱导的 zonula occludens-1 (ZO-1) 的表达。最后,RhoA shRNA 干扰抑制了乙醇诱导的 RhoA 活性增加。RhoA 对 IEB 通透性增加的贡献与 TJ 解组装有关。

https://cdn.ncbi.nlm.nih.gov/pmc/blobs/b1cf/3588079/d7374da25ddc/ijms-14-03946f1.jpg

文献AI研究员

20分钟写一篇综述,助力文献阅读效率提升50倍。

立即体验

用中文搜PubMed

大模型驱动的PubMed中文搜索引擎

马上搜索

文档翻译

学术文献翻译模型,支持多种主流文档格式。

立即体验