Suppr超能文献

中国甲型H7N9禽流感的传播与风险测绘

Mapping spread and risk of avian influenza A (H7N9) in China.

作者信息

Fang Li-Qun, Li Xin-Lou, Liu Kun, Li Yin-Jun, Yao Hong-Wu, Liang Song, Yang Yang, Feng Zi-Jian, Gray Gregory C, Cao Wu-Chun

机构信息

The State Key Laboratory of Pathogen and Biosecurity, Beijing Institute of Microbiology and Epidemiology, Beijing 100071, P. R. China.

出版信息

Sci Rep. 2013 Sep 26;3:2722. doi: 10.1038/srep02722.

Abstract

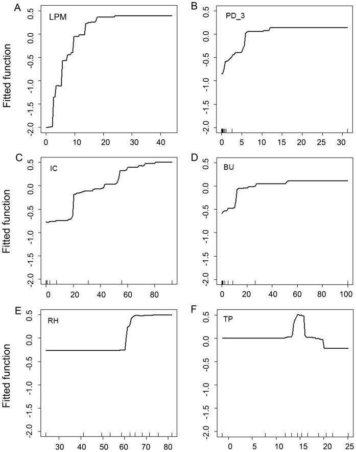
The outbreak of human infections with an emerging avian influenza A (H7N9) virus occurred in China in early 2013. It remains unknown what and how the underlying risk factors were involved in the bird-to-human cross-species transmission. To illustrate the dynamics of viral spread, we created a thematic map displaying the distribution of affected counties and plotted epidemic curves for the three most affected provinces and the whole country. We then collected data of agro-ecological, environmental and meteorological factors at the county level, and used boosted regression tree (BRT) models to examine the relative contribution of each factor and map the probability of occurrence of human H7N9 infection. We found that live poultry markets, human population density, irrigated croplands, built-up land, relative humidity and temperature significantly contributed to the occurrence of human infection with H7N9 virus. The discriminatory ability of the model was up to 97.4%. A map showing the areas with high risk for human H7N9 infection was created based on the model. These findings could be used to inform targeted surveillance and control efforts in both human and animal populations to reduce the risk of future human infections.

摘要

2013年初,中国出现了人感染新型甲型禽流感(H7N9)病毒疫情。禽类向人类跨物种传播的潜在风险因素是什么以及如何发挥作用仍不清楚。为了阐明病毒传播动态,我们绘制了一张专题地图,展示受影响县的分布情况,并绘制了受影响最严重的三个省份以及全国的疫情曲线。然后,我们收集了县级农业生态、环境和气象因素的数据,并使用增强回归树(BRT)模型来检验每个因素的相对贡献,并绘制人类感染H7N9的概率图。我们发现,活禽市场、人口密度、灌溉农田、建设用地、相对湿度和温度对人类感染H7N9病毒的发生有显著影响。该模型的判别能力高达97.4%。基于该模型绘制了一张显示人类感染H7N9高风险区域的地图。这些发现可用于为针对人类和动物群体的监测和控制工作提供信息,以降低未来人类感染的风险。

https://cdn.ncbi.nlm.nih.gov/pmc/blobs/f514/3784030/1df5864e26cd/srep02722-f1.jpg

文献检索

告别复杂PubMed语法,用中文像聊天一样搜索,搜遍4000万医学文献。AI智能推荐,让科研检索更轻松。

立即免费搜索

文件翻译

保留排版,准确专业,支持PDF/Word/PPT等文件格式,支持 12+语言互译。

免费翻译文档

深度研究

AI帮你快速写综述,25分钟生成高质量综述,智能提取关键信息,辅助科研写作。

立即免费体验