Suppr超能文献

在儿科重症监护病房中,使用舒适量表B(Comfort-B scale)和脑电双频指数对机械通气儿童的逐渐镇静水平进行比较。

A comparison of gradual sedation levels using the Comfort-B scale and bispectral index in children on mechanical ventilation in the pediatric intensive care unit.

作者信息

Silva Cláudia da Costa, Alves Marta Maria Osório, El Halal Michel Georges dos Santos, Pinheiro Sabrina dos Santos, Carvalho Paulo Roberto Antonacci

机构信息

Hospital das Clínicas de Porto Alegre, Unidade de Terapia Intensiva Pediátrica, Porto AlegreRS, Brasil, Unidade de Terapia Intensiva Pediátrica, Hospital das Clínicas de Porto Alegre - HCPA - Porto Alegre (RS), Brasil.

Hospital das Clínicas de Porto Alegre, Serviço de Pediatria, Porto AlegreRS, Brasil, Serviço de Pediatria, Hospital das Clínicas de Porto Alegre - HCPA - Porto Alegre (RS), Brasil.

出版信息

Rev Bras Ter Intensiva. 2013 Oct-Dec;25(4):306-11. doi: 10.5935/0103-507X.20130052.

Abstract

OBJECTIVE

Compare the scores resulting from the Comfort-B scale with the bispectral index in children in an intensive care unit.

METHODS

Eleven children between the ages of 1 month and 16 years requiring mechanical ventilation and sedation were simultaneously classified based on the bispectral index and the Comfort-B scale. Their behavior was recorded using digital photography, and the record was later evaluated by three independent evaluators. Agreement tests (Bland-Altman and Kappa) were then performed. The correlation between the two methods (Pearson correlation) was tested.

RESULTS

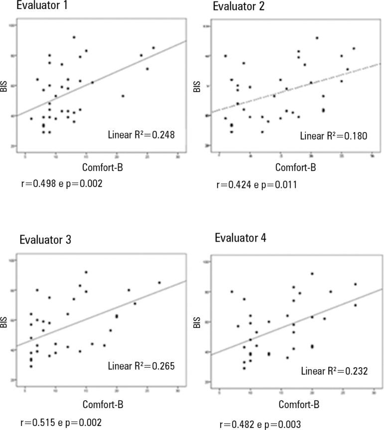
In total, 35 observations were performed on 11 patients. Based on the Kappa coefficient, the agreement among evaluators ranged from 0.56 to 0.75 (p<0.001). There was a positive and consistent association between the bispectral index and the Comfort-B scale [r=0.424 (p=0.011) to r=0.498 (p=0.002)].

CONCLUSION

Due to the strong correlation between the independent evaluators and the consistent correlation between the two methods, the results suggest that the Comfort-B scale is reproducible and useful in classifying the level of sedation in children requiring mechanical ventilation.

摘要

目的

比较重症监护病房中儿童的舒适量表B评分与脑电双频指数。

方法

对11名年龄在1个月至16岁之间、需要机械通气和镇静的儿童,同时根据脑电双频指数和舒适量表B进行分类。使用数码摄影记录他们的行为,记录随后由三名独立评估者进行评估。然后进行一致性检验(Bland-Altman检验和Kappa检验)。对两种方法之间的相关性(Pearson相关性)进行检验。

结果

共对11名患者进行了35次观察。根据Kappa系数,评估者之间的一致性范围为0.56至0.75(p<0.001)。脑电双频指数与舒适量表B之间存在正向且一致的关联[r=0.424(p=0.011)至r=0.498(p=0.002)]。

结论

由于独立评估者之间的强相关性以及两种方法之间的一致相关性,结果表明舒适量表B在对需要机械通气的儿童镇静水平进行分类方面具有可重复性且有用。

https://cdn.ncbi.nlm.nih.gov/pmc/blobs/563b/4031876/369f0806d646/rbti-25-04-0306-g01.jpg

文献AI研究员

20分钟写一篇综述,助力文献阅读效率提升50倍。

立即体验

用中文搜PubMed

大模型驱动的PubMed中文搜索引擎

马上搜索

文档翻译

学术文献翻译模型,支持多种主流文档格式。

立即体验