• 文献检索
  • 文档翻译
  • 深度研究
  • 学术资讯
  • Suppr Zotero 插件Zotero 插件
  • 邀请有礼
  • 套餐&价格
  • 历史记录
应用&插件
Suppr Zotero 插件Zotero 插件浏览器插件Mac 客户端Windows 客户端微信小程序
定价
高级版会员购买积分包购买API积分包
服务
文献检索文档翻译深度研究API 文档MCP 服务
关于我们
关于 Suppr公司介绍联系我们用户协议隐私条款
关注我们

Suppr 超能文献

核心技术专利:CN118964589B侵权必究
粤ICP备2023148730 号-1Suppr @ 2026

文献检索

告别复杂PubMed语法,用中文像聊天一样搜索,搜遍4000万医学文献。AI智能推荐,让科研检索更轻松。

立即免费搜索

文件翻译

保留排版,准确专业,支持PDF/Word/PPT等文件格式,支持 12+语言互译。

免费翻译文档

深度研究

AI帮你快速写综述,25分钟生成高质量综述,智能提取关键信息,辅助科研写作。

立即免费体验

来自四尾栅藻的新黄烷醇和环阿尔廷烷糖苷。

New flavanol and cycloartane glucosides from Landoltia punctata.

作者信息

Wang Nini, Xu Guobo, Fang Yang, Yang Tao, Zhao Hai, Li Guoyou

机构信息

Key Laboratory of Environmental and Applied Microbiology, Chengdu Institute of Biology, Chinese Academy of Sciences, Chengdu 610041, China.

出版信息

Molecules. 2014 May 22;19(5):6623-34. doi: 10.3390/molecules19056623.

DOI:10.3390/molecules19056623
PMID:24858096
原文链接:https://pmc.ncbi.nlm.nih.gov/articles/PMC6271191/
Abstract

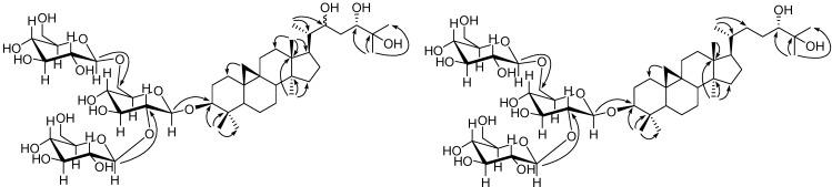
Chemical investigation on the constituents of Landoltia punctata led to the isolation and identification of 17 compounds, four of which were new and identified as (3b,24S)-9,19-cycloartane-3,22,24,25-tetraol 3-O-[b-D-glucopyranosyl-(1→2)]-[b-D-glucopyranosyl-(1→6)]-b-D-glucopyranoside (1), (3b,24S)-9,19-cycloartane-3,24,25-triol 3-O-[b-d-glucopyranosyl-(1→2)]-[b-D-glucopyranosyl-(1→6)]-b-D-glucopyranoside (2), 3,4'-dihydroxy-7,3'-dimethoxyflavan-5-O-b-D-glucopyranoside (3) and 3,4'-dihydroxy-4,7,3'-trimethoxyflavan-5-O-b-D-glucopyranoside (4). Their structures were elucidated by spectroscopic, chemical, and biochemical methods. Thus, cycloartane triterpenoids were discovered in the Lemnaceae family for the first time. Compound 3 showed antioxidant capacity in the positively charged 2,2'-azino-bis-3-ethylbenzothiazoline-6-sulfonic acid radical (ABTS+•) and superoxide anion radical scavenging assays.

摘要

对浮叶眼子菜成分的化学研究导致分离并鉴定出17种化合物,其中4种为新化合物,分别鉴定为(3b,24S)-9,19-环阿尔廷烷-3,22,24,25-四醇3-O-[β-D-吡喃葡萄糖基-(1→2)]-[β-D-吡喃葡萄糖基-(1→6)]-β-D-吡喃葡萄糖苷(1)、(3b,24S)-9,19-环阿尔廷烷-3,24,25-三醇3-O-[β-D-吡喃葡萄糖基-(1→2)]-[β-D-吡喃葡萄糖基-(1→6)]-β-D-吡喃葡萄糖苷(2)、3,4'-二羟基-7,3'-二甲氧基黄烷-5-O-β-D-吡喃葡萄糖苷(3)和3,4'-二羟基-4,7,3'-三甲氧基黄烷-5-O-β-D-吡喃葡萄糖苷(4)。通过光谱、化学和生化方法阐明了它们的结构。因此,首次在浮萍科中发现了环阿尔廷烷三萜类化合物。化合物3在带正电荷的2,2'-偶氮双(3-乙基苯并噻唑啉-6-磺酸)自由基(ABTS+•)和超氧阴离子自由基清除试验中表现出抗氧化能力。

https://cdn.ncbi.nlm.nih.gov/pmc/blobs/915c/6271191/1ff22d0a8687/molecules-19-06623-g005.jpg
https://cdn.ncbi.nlm.nih.gov/pmc/blobs/915c/6271191/50aa3b16f3d9/molecules-19-06623-g001.jpg
https://cdn.ncbi.nlm.nih.gov/pmc/blobs/915c/6271191/cacc419edf8f/molecules-19-06623-g002.jpg
https://cdn.ncbi.nlm.nih.gov/pmc/blobs/915c/6271191/9053af7cd854/molecules-19-06623-g003.jpg
https://cdn.ncbi.nlm.nih.gov/pmc/blobs/915c/6271191/51a80669f488/molecules-19-06623-g004.jpg
https://cdn.ncbi.nlm.nih.gov/pmc/blobs/915c/6271191/1ff22d0a8687/molecules-19-06623-g005.jpg
https://cdn.ncbi.nlm.nih.gov/pmc/blobs/915c/6271191/50aa3b16f3d9/molecules-19-06623-g001.jpg
https://cdn.ncbi.nlm.nih.gov/pmc/blobs/915c/6271191/cacc419edf8f/molecules-19-06623-g002.jpg
https://cdn.ncbi.nlm.nih.gov/pmc/blobs/915c/6271191/9053af7cd854/molecules-19-06623-g003.jpg
https://cdn.ncbi.nlm.nih.gov/pmc/blobs/915c/6271191/51a80669f488/molecules-19-06623-g004.jpg
https://cdn.ncbi.nlm.nih.gov/pmc/blobs/915c/6271191/1ff22d0a8687/molecules-19-06623-g005.jpg

相似文献

1
New flavanol and cycloartane glucosides from Landoltia punctata.来自四尾栅藻的新黄烷醇和环阿尔廷烷糖苷。
Molecules. 2014 May 22;19(5):6623-34. doi: 10.3390/molecules19056623.
2
Structural identification and UPLC-ESI-QTOF-MS analysis of flavonoids in the aquatic plant Landoltia punctata and their in vitro and in vivo antioxidant activities.水鳖中类黄酮的结构鉴定及 UPLC-ESI-QTOF-MS 分析及其体外和体内抗氧化活性。
Food Chem. 2021 May 1;343:128392. doi: 10.1016/j.foodchem.2020.128392. Epub 2020 Oct 15.
3
New cycloartane glycosides from the aerial part of Thalictrum fortunei.从唐松草属植物的地上部分提取的新的环阿尔廷甾烷糖苷。
J Nat Med. 2013 Apr;67(2):375-80. doi: 10.1007/s11418-012-0675-6. Epub 2012 Jun 12.
4
Structural Determination of a New Cycloartane Glycoside from Asplenium ruprechtii.从狗脊蕨中分离得到一个新的环阿尔廷甾烷型糖苷的结构鉴定。
Chem Biodivers. 2020 Dec;17(12):e2000500. doi: 10.1002/cbdv.202000500. Epub 2020 Nov 9.
5
Validation of the Antioxidant and Enzyme Inhibitory Potential of Selected Triterpenes Using In Vitro and In Silico Studies, and the Evaluation of Their ADMET Properties.使用体外和计算研究验证选定三萜类化合物的抗氧化和酶抑制潜力,并评估它们的 ADMET 性质。
Molecules. 2021 Oct 20;26(21):6331. doi: 10.3390/molecules26216331.
6
Chemical constituents of Swertia yunnanensis and their anti-hepatitis B virus activity.云南獐牙菜的化学成分及其抗乙型肝炎病毒活性。
Fitoterapia. 2013 Sep;89:175-82. doi: 10.1016/j.fitote.2013.05.023. Epub 2013 Jun 5.
7
A dimeric triterpenoid glycoside and flavonoid glycosides with free radical-scavenging activity isolated from Rubus rigidus var. camerunensis.从山莓变种硬枝黑果中分离得到具有自由基清除活性的二萜类三萜糖苷和黄酮类糖苷。
Arch Pharm Res. 2011 Apr;34(4):543-50. doi: 10.1007/s12272-011-0404-9. Epub 2011 May 5.
8
Antioxidant compounds from ethanol extracts of bamboo (Neosinocalamus affinis) leaves.慈竹叶乙醇提取物中的抗氧化化合物。
J Asian Nat Prod Res. 2015;17(3):248-55. doi: 10.1080/10286020.2014.981164. Epub 2014 Nov 26.
9
New cycloartane glycosides from Camptosorus sibiricus Rupr.西伯利亚铁角蕨中的新环阿尔廷烷糖苷
J Asian Nat Prod Res. 2008 Nov-Dec;10(11-12):1069-74. doi: 10.1080/10286020802274052.
10
Four new cycloartane glycosides from Thalictrum fortunei.唐松草中四个新的环阿尔廷烷型糖苷。
Chem Pharm Bull (Tokyo). 2006 Jan;54(1):107-10. doi: 10.1248/cpb.54.107.

引用本文的文献

1
Flavone-associated resistance of two species to duckweed weevil attack.两种植物与黄酮相关的对浮萍象鼻虫攻击的抗性。
Ecol Evol. 2022 Nov 18;12(11):e9459. doi: 10.1002/ece3.9459. eCollection 2022 Nov.
2
Flavonoids from duckweeds: potential applications in the human diet.浮萍中的类黄酮:在人类饮食中的潜在应用。
RSC Adv. 2020 Dec 21;10(73):44981-44988. doi: 10.1039/d0ra06741e. eCollection 2020 Dec 17.
3
Allelopathic inhibition of the extracts of on .对 的提取物的化感抑制作用。

本文引用的文献

1
Antioxidant activity of a new phenolic glycoside from Lagenaria siceraria Stand. fruits.从绞股蓝果实中提取的一种新的酚糖苷的抗氧化活性。
Food Chem. 2012 May 1;132(1):244-51. doi: 10.1016/j.foodchem.2011.10.063. Epub 2011 Oct 28.
2
Isochaetomium A2, a new bis(naphthodihydropyran-4-one) with antimicrobial and immunological activities from fungus Chaetomium microcephalum.从真菌小顶孢Chaetomium microcephalum 中分离得到的具有抗菌和免疫活性的新双(萘并二氢吡喃-4-酮)Isochaetomium A2。
Arch Pharm Res. 2014 May;37(5):575-9. doi: 10.1007/s12272-013-0206-3. Epub 2013 Aug 2.
3
Comparative transcriptome analysis to investigate the high starch accumulation of duckweed (Landoltia punctata) under nutrient starvation.
Plant Signal Behav. 2022 Dec 31;17(1):2058256. doi: 10.1080/15592324.2022.2058256.
4
Antitumor Profile of Carbon-Bridged Steroids (CBS) and Triterpenoids.碳桥甾体(CBS)和三萜类化合物的抗肿瘤特性。
Mar Drugs. 2021 Jun 3;19(6):324. doi: 10.3390/md19060324.
5
High flavonoid accompanied with high starch accumulation triggered by nutrient starvation in bioenergy crop duckweed (Landoltia punctata).生物能源作物浮萍(稀脉浮萍)中由营养饥饿引发的高黄酮伴随高淀粉积累。
BMC Genomics. 2017 Feb 15;18(1):166. doi: 10.1186/s12864-017-3559-z.
比较转录组分析研究营养饥饿下浮萍(Landoltia punctata)的高淀粉积累。
Biotechnol Biofuels. 2013 May 8;6(1):72. doi: 10.1186/1754-6834-6-72.
4
Isolation and characterization of new p-Terphenyls with antifungal, antibacterial, and antioxidant activities from halophilic actinomycete Nocardiopsis gilva YIM 90087.从嗜盐放线菌吉尔沃拟诺卡氏菌(Nocardiopsis gilva)YIM 90087 中分离得到具有抗真菌、抗菌和抗氧化活性的新型对三联苯类化合物,并对其进行了鉴定。
J Agric Food Chem. 2013 Mar 27;61(12):3006-12. doi: 10.1021/jf400718w. Epub 2013 Mar 12.
5
Polyflavanostilbene A, a new flavanol-fused stilbene glycoside from Polygonum cuspidatum.穗花杉双黄酮 A,一种来自虎杖的新黄烷醇-二苯乙烯糖苷。
Org Lett. 2013 Feb 1;15(3):674-7. doi: 10.1021/ol3035033. Epub 2013 Jan 15.
6
Aphagrandinoids A-D, cycloartane triterpenoids with antibacterial activities from Aphanamixis grandifolia.阿法格雷定类 A-D,来自大翼豆的具有抗菌活性的环阿屯三萜。
Fitoterapia. 2013 Mar;85:64-8. doi: 10.1016/j.fitote.2012.12.030. Epub 2013 Jan 10.
7
Flavonoids as antioxidants in plants: location and functional significance.类黄酮作为植物中的抗氧化剂:位置和功能意义。
Plant Sci. 2012 Nov;196:67-76. doi: 10.1016/j.plantsci.2012.07.014. Epub 2012 Aug 11.
8
Growing Lemna minor in agricultural wastewater and converting the duckweed biomass to ethanol.在农业废水中种植浮萍,并将浮萍生物质转化为乙醇。
Bioresour Technol. 2012 Nov;124:485-8. doi: 10.1016/j.biortech.2012.08.050. Epub 2012 Aug 19.
9
High nutrient removal rate from swine wastes and protein biomass production by full-scale duckweed ponds.规模化浮萍池塘从猪废水中高效去除营养物质和生产蛋白生物质。
Bioresour Technol. 2012 May;112:98-104. doi: 10.1016/j.biortech.2012.02.083. Epub 2012 Feb 24.
10
Cycloartane triterpenoids from Cassia occidentalis.来自洋紫荆的环阿尔廷三萜。
Planta Med. 2012 May;78(8):821-7. doi: 10.1055/s-0031-1298376. Epub 2012 Mar 12.