Suppr超能文献

高频词与低频词或不存在的词相比,对连续闪光抑制的破坏并无差异:这对无意识状态下词语的语义加工具有启示意义。

Frequent words do not break continuous flash suppression differently from infrequent or nonexistent words: implications for semantic processing of words in the absence of awareness.

作者信息

Heyman Tom, Moors Pieter

机构信息

Laboratory of Experimental Psychology, University of Leuven, Leuven, Belgium.

出版信息

PLoS One. 2014 Aug 12;9(8):e104719. doi: 10.1371/journal.pone.0104719. eCollection 2014.

Abstract

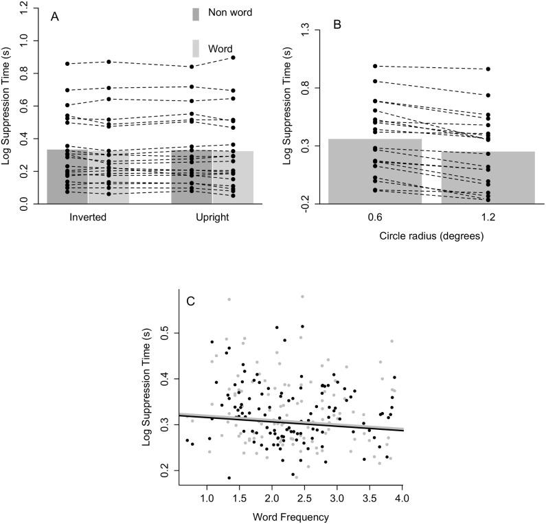
Continuous flash suppression (CFS) has been used as a paradigm to probe the extent to which word stimuli are processed in the absence of awareness. In the two experiments reported here, no evidence is obtained that word stimuli are processed up to the semantic level when suppressed through CFS. In Experiment 1, word stimuli did not break suppression faster than their pseudo-word variants nor was suppression time modulated by word frequency. Experiment 2 replicated these findings, but more critically showed that differential effects can be obtained with this paradigm using a simpler stimulus. In addition, pixel density of the stimuli did prove to be related to suppression time in both experiments, indicating that the paradigm is sensitive to differences in detectability. A third and final experiment replicated the well-known face inversion effect using the same set-up as Experiments 1 and 2, thereby demonstrating that the employed methodology can capture more high-level effects as well. These results are discussed in the context of previous evidence on unconscious semantic processing and two potential explanations are advanced. Specifically, it is argued that CFS might act at a level too low in the visual system for high-level effects to be observed or that the widely used breaking CFS paradigm is merely ill-suited to capture effects in the context of words.

摘要

连续闪光抑制(CFS)已被用作一种范式,以探究在无意识状态下单词刺激的加工程度。在本文所报告的两个实验中,没有获得证据表明通过CFS抑制时,单词刺激能被加工到语义层面。在实验1中,单词刺激打破抑制的速度并不比其假词变体更快,抑制时间也不受单词频率的调节。实验2重复了这些发现,但更关键的是表明使用更简单的刺激,用这种范式可以获得不同的效果。此外,在两个实验中刺激的像素密度确实被证明与抑制时间有关,这表明该范式对可检测性的差异敏感。第三个也是最后一个实验使用与实验1和2相同的设置重复了著名的面部倒置效应,从而证明所采用的方法也能捕捉到更多高级效应。这些结果在先前关于无意识语义加工的证据背景下进行了讨论,并提出了两种可能的解释。具体而言,有人认为CFS可能在视觉系统中作用于过低的水平,以至于无法观察到高级效应,或者广泛使用的打破CFS范式仅仅不适合捕捉单词情境下的效应。

https://cdn.ncbi.nlm.nih.gov/pmc/blobs/9146/4130538/9283f2e7794d/pone.0104719.g001.jpg

文献AI研究员

20分钟写一篇综述,助力文献阅读效率提升50倍。

立即体验

用中文搜PubMed

大模型驱动的PubMed中文搜索引擎

马上搜索

文档翻译

学术文献翻译模型,支持多种主流文档格式。

立即体验