Jeffrey Cheah School of Medicine & Health Sciences, Monash University Malaysia, Selangor, Malaysia.
BMC Complement Altern Med. 2014 Oct 13;14:391. doi: 10.1186/1472-6882-14-391.
Parkinson's disease (PD) is the second most common neurodegenerative disorder affecting the senile population with manifestation of motor disability and cognitive impairment. Reactive oxygen species (ROS) is implicated in the progression of oxidative stress-related apoptosis and cell death of the midbrain dopaminergic neurons. Its interplay with mitochondrial functionality constitutes an important aspect of neuronal survival in the perspective of PD. Edible bird's nest (EBN) is an animal-derived natural food product made of saliva secreted by swiftlets from the Aerodamus genus. It contains bioactive compounds which might confer neuroprotective effects to the neurons. Hence this study aims to investigate the neuroprotective effect of EBN extracts in the neurotoxin-induced in vitro PD model.
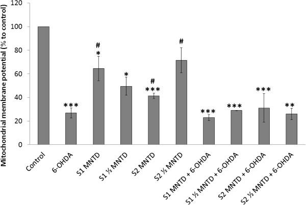
EBN was first prepared into pancreatin-digested crude extract and water extract. In vitro PD model was generated by exposing SH-SY5Y cells to neurotoxin 6-hydroxydopamine (6-OHDA). Cytotoxicity of the extracts on SH-SY5Y cells was tested using MTT assay. Then, microscopic morphological and nuclear examination, cell viability test and ROS assay were performed to assess the protective effect of EBN extracts against 6-OHDA-induced cellular injury. Apoptotic event was later analysed with Annexin V-propidium iodide flow cytometry. To understand whether the mechanism underlying the neuroprotective effect of EBN was mediated via mitochondrial or caspase-dependent pathway, mitochondrial membrane potential (MMP) measurement and caspase-3 quantification were carried out.
Cytotoxicity results showed that crude EBN extract did not cause SH-SY5Y cell death at concentrations up to 75 μg/ml while the maximum non-toxic dose (MNTD) of water extract was double of that of crude extract. Morphological observation and nuclear staining suggested that EBN treatment reduced the level of 6-OHDA-induced apoptotic changes in SH-SY5Y cells. MTT study further confirmed that cell viability was better improved with crude EBN extract. However, water extract exhibited higher efficacy in ameliorating ROS build up, early apoptotic membrane phosphatidylserine externalization as well as inhibition of caspase-3 cleavage. None of the EBN treatment had any effect on MMP.
Current findings suggest that EBN extracts might confer neuroprotective effect against 6-OHDA-induced degeneration of dopaminergic neurons, particularly through inhibition of apoptosis. Thus EBN may be a viable nutraceutical option to protect against oxidative stress-related neurodegenerative disorders such as PD.
帕金森病(PD)是影响老年人群的第二大常见神经退行性疾病,其表现为运动功能障碍和认知障碍。活性氧(ROS)与氧化应激相关的中脑多巴胺能神经元凋亡和细胞死亡的进展有关。从中风的角度来看,其与线粒体功能的相互作用构成了神经元存活的一个重要方面。燕窝是一种由雨燕科属的燕子分泌的唾液制成的动物源性天然食品。它含有生物活性化合物,可能对神经元发挥神经保护作用。因此,本研究旨在探讨燕窝提取物在神经毒素诱导的体外 PD 模型中的神经保护作用。
首先将燕窝制备成胰蛋白酶消化的粗提物和水提取物。通过将 SH-SY5Y 细胞暴露于神经毒素 6-羟多巴胺(6-OHDA)来生成体外 PD 模型。使用 MTT 测定法测试提取物对 SH-SY5Y 细胞的细胞毒性。然后,进行显微镜形态和核检查、细胞活力测试和 ROS 测定,以评估燕窝提取物对 6-OHDA 诱导的细胞损伤的保护作用。随后,通过 Annexin V-碘化丙啶流式细胞术分析凋亡事件。为了了解燕窝的神经保护作用是否通过线粒体或半胱天冬酶依赖性途径介导,进行了线粒体膜电位(MMP)测量和半胱天冬酶-3 定量。
细胞毒性结果表明,粗燕窝提取物在浓度高达 75μg/ml 时不会引起 SH-SY5Y 细胞死亡,而水提取物的最大无毒剂量(MNTD)是粗提取物的两倍。形态观察和核染色表明,燕窝处理可降低 6-OHDA 诱导的 SH-SY5Y 细胞凋亡变化的水平。MTT 研究进一步证实,粗燕窝提取物可更好地提高细胞活力。然而,水提取物在改善 ROS 积聚、早期凋亡质膜磷脂酰丝氨酸外化以及抑制半胱天冬酶-3 切割方面表现出更高的疗效。燕窝处理对 MMP 没有任何影响。
目前的研究结果表明,燕窝提取物可能对 6-OHDA 诱导的多巴胺能神经元变性具有神经保护作用,特别是通过抑制细胞凋亡。因此,燕窝可能是一种可行的营养选择,可用于预防与氧化应激相关的神经退行性疾病,如帕金森病。