Suppr超能文献

槟榔籽多酚提取条件的优化及其抗氧化活性评价

Optimization of extraction conditions of areca seed polyphenols and evaluation of their antioxidant activities.

作者信息

Zhang Wei-Min, Huang Wu-Yang, Chen Wen-Xue, Han Lin, Zhang Hai-De

机构信息

College of Food Science, Hainan University, Haikou 570228, China.

Jiangsu Academy of Agricultural Sciences, Nanjing 210014, China.

出版信息

Molecules. 2014 Oct 13;19(10):16416-27. doi: 10.3390/molecules191016416.

Abstract

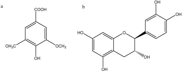
Polyphenols are functional compounds in plants, which possess many bioactivities beneficial for humans. The aim of this study was to establish a highly efficient method for extracting polyphenol compounds from areca seeds and further to identify polyphenols and antioxidant properties of the seeds. A quadratic general rotary unitized design was used to determine the optimal extraction process. The polyphenols were identified using LC-TOF-MS. By comparison with ascorbic acid (Vc), the antioxidant activities of the ethanol extracts were evaluated using three complementary in vitro assays: inhibition of the DPPH (1,1-diphenyl-2-picrylhydrazyl) radical-scavenging activity, hydroxyl radical-scavenging activity, and reducing ability. The two major polyphenols obtained were epicatechin and syringic acid. The ethanol extracts of areca seeds showed significantly greater antioxidant activity (p < 0.05) than Vc using the DPPH and reducing power assay, but lower ability (p < 0.05) using the hydroxyl radical assay. The results indicate that the areca seed is an excellent food material with potential antioxidant properties.

摘要

多酚是植物中的功能性化合物,具有许多对人类有益的生物活性。本研究的目的是建立一种从槟榔种子中高效提取多酚化合物的方法,并进一步鉴定种子中的多酚及其抗氧化特性。采用二次通用旋转组合设计确定最佳提取工艺。使用液相色谱-飞行时间质谱法(LC-TOF-MS)鉴定多酚。通过与抗坏血酸(Vc)比较,使用三种互补的体外试验评估乙醇提取物的抗氧化活性:抑制1,1-二苯基-2-苦基肼(DPPH)自由基清除活性、羟基自由基清除活性和还原能力。得到的两种主要多酚是表儿茶素和丁香酸。在DPPH和还原力试验中,槟榔种子的乙醇提取物显示出比Vc显著更高的抗氧化活性(p<0.05),但在羟基自由基试验中能力较低(p<0.05)。结果表明,槟榔种子是一种具有潜在抗氧化特性的优良食品原料。

https://cdn.ncbi.nlm.nih.gov/pmc/blobs/206f/6271258/c8b9b75a6c9b/molecules-19-16416-g001.jpg

文献AI研究员

20分钟写一篇综述,助力文献阅读效率提升50倍。

立即体验

用中文搜PubMed

大模型驱动的PubMed中文搜索引擎

马上搜索

文档翻译

学术文献翻译模型,支持多种主流文档格式。

立即体验