Suppr超能文献

西非埃博拉病毒病疫情呈现出全球指数增长率和局部多项式增长率。

The Western Africa ebola virus disease epidemic exhibits both global exponential and local polynomial growth rates.

作者信息

Chowell Gerardo, Viboud Cécile, Hyman James M, Simonsen Lone

机构信息

Division of Epidemiology and Population Studies, Fogarty International Center, National Institutes of Health, Bethesda, Maryland, USA; Mathematical, Computational & Modeling Sciences Center, School of Human Evolution and Social Change, Arizona State University, Tempe, Arizona, USA.

Division of International Epidemiology and Population Studies, Fogarty International Center, National Institutes of Health, Bethesda, Maryland, USA.

出版信息

PLoS Curr. 2015 Jan 21;7:ecurrents.outbreaks.8b55f4bad99ac5c5db3663e916803261. doi: 10.1371/currents.outbreaks.8b55f4bad99ac5c5db3663e916803261.

Abstract

BACKGROUND

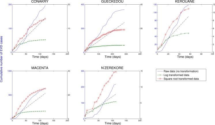
While many infectious disease epidemics are initially characterized by an exponential growth in time, we show that district-level Ebola virus disease (EVD) outbreaks in West Africa follow slower polynomial-based growth kinetics over several generations of the disease.

METHODS

We analyzed epidemic growth patterns at three different spatial scales (regional, national, and subnational) of the Ebola virus disease epidemic in Guinea, Sierra Leone and Liberia by compiling publicly available weekly time series of reported EVD case numbers from the patient database available from the World Health Organization website for the period 05-Jan to 17-Dec 2014.

RESULTS

We found significant differences in the growth patterns of EVD cases at the scale of the country, district, and other subnational administrative divisions. The national cumulative curves of EVD cases in Guinea, Sierra Leone, and Liberia show periods of approximate exponential growth. In contrast, local epidemics are asynchronous and exhibit slow growth patterns during 3 or more EVD generations, which can be better approximated by a polynomial than an exponential function.

CONCLUSIONS

The slower than expected growth pattern of local EVD outbreaks could result from a variety of factors, including behavior changes, success of control interventions, or intrinsic features of the disease such as a high level of clustering. Quantifying the contribution of each of these factors could help refine estimates of final epidemic size and the relative impact of different mitigation efforts in current and future EVD outbreaks.

摘要

背景

虽然许多传染病流行最初的特征是随时间呈指数增长,但我们发现,西非地区层面的埃博拉病毒病(EVD)疫情在疾病的几代传播过程中遵循基于多项式的较慢增长动力学。

方法

我们通过汇编世界卫生组织网站患者数据库中2014年1月5日至12月17日期间公开的每周报告EVD病例数时间序列,分析了几内亚、塞拉利昂和利比里亚埃博拉病毒病疫情在三个不同空间尺度(区域、国家和国家以下层面)的流行增长模式。

结果

我们发现在国家、地区和其他国家以下行政区划层面,EVD病例的增长模式存在显著差异。几内亚、塞拉利昂和利比里亚的EVD病例全国累计曲线显示出近似指数增长的时期。相比之下,局部疫情是异步的,并且在3代或更多代EVD传播期间呈现缓慢增长模式,用多项式比用指数函数能更好地近似这种模式。

结论

局部EVD疫情增长模式比预期慢可能由多种因素导致,包括行为变化、控制干预措施的成效或疾病的内在特征,如高度聚集性。量化这些因素各自的作用有助于完善对最终疫情规模的估计以及当前和未来EVD疫情中不同缓解措施的相对影响。

https://cdn.ncbi.nlm.nih.gov/pmc/blobs/2a6b/4322058/c2a63a19ddc9/fig1_behaviorchanges.jpg

文献AI研究员

20分钟写一篇综述,助力文献阅读效率提升50倍。

立即体验

用中文搜PubMed

大模型驱动的PubMed中文搜索引擎

马上搜索

文档翻译

学术文献翻译模型,支持多种主流文档格式。

立即体验