• 文献检索
  • 文档翻译
  • 深度研究
  • 学术资讯
  • Suppr Zotero 插件Zotero 插件
  • 邀请有礼
  • 套餐&价格
  • 历史记录
应用&插件
Suppr Zotero 插件Zotero 插件浏览器插件Mac 客户端Windows 客户端微信小程序
定价
高级版会员购买积分包购买API积分包
服务
文献检索文档翻译深度研究API 文档MCP 服务
关于我们
关于 Suppr公司介绍联系我们用户协议隐私条款
关注我们

Suppr 超能文献

核心技术专利:CN118964589B侵权必究
粤ICP备2023148730 号-1Suppr @ 2026

文献检索

告别复杂PubMed语法,用中文像聊天一样搜索,搜遍4000万医学文献。AI智能推荐,让科研检索更轻松。

立即免费搜索

文件翻译

保留排版,准确专业,支持PDF/Word/PPT等文件格式,支持 12+语言互译。

免费翻译文档

深度研究

AI帮你快速写综述,25分钟生成高质量综述,智能提取关键信息,辅助科研写作。

立即免费体验

化学气相沉积石墨烯中的长距离自旋通信

Long distance spin communication in chemical vapour deposited graphene.

作者信息

Kamalakar M Venkata, Groenveld Christiaan, Dankert André, Dash Saroj P

机构信息

Quantum Device Physics Laboratory, Department of Microtechnology and Nanoscience, Chalmers University of Technology, Kemivagen 9, SE-41296 Göteborg, Sweden.

出版信息

Nat Commun. 2015 Apr 10;6:6766. doi: 10.1038/ncomms7766.

DOI:10.1038/ncomms7766
PMID:25857650
原文链接:https://pmc.ncbi.nlm.nih.gov/articles/PMC4433146/
Abstract

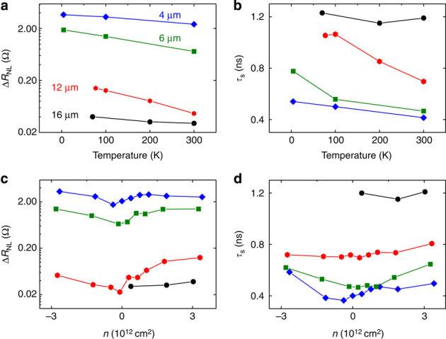
Graphene is an ideal medium for long-distance spin communication in future spintronic technologies. So far, the prospect is limited by the smaller sizes of exfoliated graphene flakes and lower spin transport properties of large-area chemical vapour-deposited (CVD) graphene. Here we demonstrate a high spintronic performance in CVD graphene on SiO2/Si substrate at room temperature. We show pure spin transport and precession over long channel lengths extending up to 16 μm with a spin lifetime of 1.2 ns and a spin diffusion length ∼6 μm at room temperature. These spin parameters are up to six times higher than previous reports and highest at room temperature for any form of pristine graphene on industrial standard SiO2/Si substrates. Our detailed investigation reinforces the observed performance in CVD graphene over wafer scale and opens up new prospects for the development of lateral spin-based memory and logic applications.

摘要

石墨烯是未来自旋电子技术中长距离自旋通信的理想介质。到目前为止,这一前景受到剥落石墨烯薄片尺寸较小以及大面积化学气相沉积(CVD)石墨烯较低的自旋输运特性的限制。在此,我们展示了室温下SiO₂/Si衬底上CVD石墨烯的高自旋电子性能。我们表明,在室温下,自旋能够在长达16μm的长沟道长度上实现纯自旋输运和进动,自旋寿命为1.2ns,自旋扩散长度约为6μm。这些自旋参数比之前的报道高出多达六倍,并且在工业标准SiO₂/Si衬底上的任何形式的原始石墨烯中,它们在室温下都是最高的。我们的详细研究强化了在晶圆尺度上CVD石墨烯所观察到的性能,并为基于横向自旋的存储器和逻辑应用的开发开辟了新前景。

https://cdn.ncbi.nlm.nih.gov/pmc/blobs/2771/4433146/781bf536880f/ncomms7766-f5.jpg
https://cdn.ncbi.nlm.nih.gov/pmc/blobs/2771/4433146/1a1e686752c9/ncomms7766-f1.jpg
https://cdn.ncbi.nlm.nih.gov/pmc/blobs/2771/4433146/ba414e188d09/ncomms7766-f2.jpg
https://cdn.ncbi.nlm.nih.gov/pmc/blobs/2771/4433146/0f98578b0251/ncomms7766-f3.jpg
https://cdn.ncbi.nlm.nih.gov/pmc/blobs/2771/4433146/bb4c4ee08708/ncomms7766-f4.jpg
https://cdn.ncbi.nlm.nih.gov/pmc/blobs/2771/4433146/781bf536880f/ncomms7766-f5.jpg
https://cdn.ncbi.nlm.nih.gov/pmc/blobs/2771/4433146/1a1e686752c9/ncomms7766-f1.jpg
https://cdn.ncbi.nlm.nih.gov/pmc/blobs/2771/4433146/ba414e188d09/ncomms7766-f2.jpg
https://cdn.ncbi.nlm.nih.gov/pmc/blobs/2771/4433146/0f98578b0251/ncomms7766-f3.jpg
https://cdn.ncbi.nlm.nih.gov/pmc/blobs/2771/4433146/bb4c4ee08708/ncomms7766-f4.jpg
https://cdn.ncbi.nlm.nih.gov/pmc/blobs/2771/4433146/781bf536880f/ncomms7766-f5.jpg

相似文献

1
Long distance spin communication in chemical vapour deposited graphene.化学气相沉积石墨烯中的长距离自旋通信
Nat Commun. 2015 Apr 10;6:6766. doi: 10.1038/ncomms7766.
2
Ultimate Spin Currents in Commercial Chemical Vapor Deposited Graphene.商用化学气相沉积石墨烯中的极限自旋电流
ACS Nano. 2020 Oct 27;14(10):12771-12780. doi: 10.1021/acsnano.0c03376. Epub 2020 Oct 5.
3
Two-Dimensional Flexible High Diffusive Spin Circuits.二维柔性高通自旋电路。
Nano Lett. 2019 Feb 13;19(2):666-673. doi: 10.1021/acs.nanolett.8b03520. Epub 2019 Jan 11.
4
CVD Bilayer Graphene Spin Valves with 26 μm Spin Diffusion Length at Room Temperature.室温下具有26μm自旋扩散长度的CVD双层石墨烯自旋阀。
Nano Lett. 2022 Jun 22;22(12):4949-4955. doi: 10.1021/acs.nanolett.2c01119. Epub 2022 Jun 1.
5
Robust Spin Interconnect with Isotropic Spin Dynamics in Chemical Vapor Deposited Graphene Layers and Boundaries.化学气相沉积石墨烯层及边界中具有各向同性自旋动力学的稳健自旋互连
ACS Nano. 2020 Nov 24;14(11):15864-15873. doi: 10.1021/acsnano.0c07163. Epub 2020 Nov 2.
6
Spin Lifetimes Exceeding 12 ns in Graphene Nonlocal Spin Valve Devices.在石墨烯无接触自旋阀器件中,自旋寿命超过 12 纳秒。
Nano Lett. 2016 Jun 8;16(6):3533-9. doi: 10.1021/acs.nanolett.6b00497. Epub 2016 May 26.
7
Inversion of Spin Signal and Spin Filtering in Ferromagnet|Hexagonal Boron Nitride-Graphene van der Waals Heterostructures.铁磁体|六方氮化硼-石墨烯范德华异质结构中的自旋信号反转与自旋过滤
Sci Rep. 2016 Feb 17;6:21168. doi: 10.1038/srep21168.
8
Large room temperature spin-to-charge conversion signals in a few-layer graphene/Pt lateral heterostructure.几层石墨烯/铂横向异质结构中的大室温自旋到电荷转换信号。
Nat Commun. 2017 Sep 22;8(1):661. doi: 10.1038/s41467-017-00563-y.
9
Universal Spin Diffusion Length in Polycrystalline Graphene.多晶石墨烯中的通用自旋扩散长度
Nano Lett. 2019 Oct 9;19(10):7418-7426. doi: 10.1021/acs.nanolett.9b03112. Epub 2019 Sep 27.
10
Nanosecond spin lifetimes in single- and few-layer graphene-hBN heterostructures at room temperature.室温下单层和少层石墨烯-六方氮化硼异质结中的纳秒自旋寿命。
Nano Lett. 2014 Nov 12;14(11):6050-5. doi: 10.1021/nl501278c. Epub 2014 Oct 7.

引用本文的文献

1
Strong In-Plane Magnetization and Spin Polarization in (CoFe)GeTe/Graphene van der Waals Heterostructure Spin-Valve at Room Temperature.室温下(CoFe)GeTe/石墨烯范德华异质结自旋阀中的强面内磁化和自旋极化
ACS Nano. 2024 Feb 8;18(7):5240-8. doi: 10.1021/acsnano.3c07462.
2
Ultralong 100 ns spin relaxation time in graphite at room temperature.室温下石墨中超长的 100ns 自旋弛豫时间。
Nat Commun. 2023 May 17;14(1):2831. doi: 10.1038/s41467-023-38288-w.
3
Flexible transparent graphene laminates direct lamination of graphene onto polyethylene naphthalate substrates.

本文引用的文献

1
Nanosecond spin lifetimes in single- and few-layer graphene-hBN heterostructures at room temperature.室温下单层和少层石墨烯-六方氮化硼异质结中的纳秒自旋寿命。
Nano Lett. 2014 Nov 12;14(11):6050-5. doi: 10.1021/nl501278c. Epub 2014 Oct 7.
2
Graphene spintronics.石墨烯自旋电子学。
Nat Nanotechnol. 2014 Oct;9(10):794-807. doi: 10.1038/nnano.2014.214.
3
Controlling spin relaxation in hexagonal BN-encapsulated graphene with a transverse electric field.利用横向电场控制六方氮化硼封装石墨烯中的自旋弛豫。
柔性透明石墨烯层压板:将石墨烯直接层压到聚萘二甲酸乙二醇酯基板上。
Nanoscale Adv. 2020 Jun 9;2(8):3156-3163. doi: 10.1039/d0na00046a. eCollection 2020 Aug 11.
4
Insights and Implications of Intricate Surface Charge Transfer and sp-Defects in Graphene/Metal Oxide Interfaces.石墨烯/金属氧化物界面中复杂表面电荷转移和sp缺陷的见解与启示
ACS Appl Mater Interfaces. 2022 Aug 10;14(31):36209-36216. doi: 10.1021/acsami.2c06626. Epub 2022 Jul 22.
5
Observation of giant spin-orbit interaction in graphene and heavy metal heterostructures.石墨烯与重金属异质结构中巨自旋轨道相互作用的观测
RSC Adv. 2019 Oct 7;9(54):31797-31805. doi: 10.1039/c9ra06961e. eCollection 2019 Oct 1.
6
Recent Progress in the Fabrication, Properties, and Devices of Heterostructures Based on 2D Materials.基于二维材料的异质结构的制备、性质及器件的研究进展
Nanomicro Lett. 2019 Feb 18;11(1):13. doi: 10.1007/s40820-019-0245-5.
7
Robust Spin Interconnect with Isotropic Spin Dynamics in Chemical Vapor Deposited Graphene Layers and Boundaries.化学气相沉积石墨烯层及边界中具有各向同性自旋动力学的稳健自旋互连
ACS Nano. 2020 Nov 24;14(11):15864-15873. doi: 10.1021/acsnano.0c07163. Epub 2020 Nov 2.
8
Ultimate Spin Currents in Commercial Chemical Vapor Deposited Graphene.商用化学气相沉积石墨烯中的极限自旋电流
ACS Nano. 2020 Oct 27;14(10):12771-12780. doi: 10.1021/acsnano.0c03376. Epub 2020 Oct 5.
9
Giant spin signals in chemically functionalized multiwall carbon nanotubes.化学功能化多壁碳纳米管中的巨自旋信号。
Sci Adv. 2020 Jul 31;6(31):eaba5494. doi: 10.1126/sciadv.aba5494. eCollection 2020 Jul.
10
Induced Ferromagnetic Order of Graphdiyne Semiconductors by Introducing a Heteroatom.通过引入杂原子诱导石墨炔半导体的铁磁有序
ACS Cent Sci. 2020 Jun 24;6(6):950-958. doi: 10.1021/acscentsci.0c00348. Epub 2020 May 13.
Phys Rev Lett. 2014 Aug 22;113(8):086602. doi: 10.1103/PhysRevLett.113.086602.
4
Impact of electron-impurity scattering on the spin relaxation time in graphene: a first-principles study.电子-杂质散射对石墨烯中自旋弛豫时间的影响:第一性原理研究
Phys Rev Lett. 2013 Apr 12;110(15):156602. doi: 10.1103/PhysRevLett.110.156602.
5
Defect-mediated spin relaxation and dephasing in graphene.石墨烯中缺陷介导的自旋弛豫和退相
Phys Rev Lett. 2013 Apr 12;110(15):156601. doi: 10.1103/PhysRevLett.110.156601. Epub 2013 Apr 11.
6
Enhanced tunnel spin injection into graphene using chemical vapor deposited hexagonal boron nitride.利用化学气相沉积法制备的六方氮化硼增强向石墨烯中的隧穿自旋注入。
Sci Rep. 2014 Aug 26;4:6146. doi: 10.1038/srep06146.
7
Charge transport in polycrystalline graphene: challenges and opportunities.多晶石墨烯中的电荷输运:挑战与机遇。
Adv Mater. 2014 Aug 13;26(30):5079-94. doi: 10.1002/adma.201401389. Epub 2014 Jun 5.
8
Structure and transport properties of the interface between CVD-grown graphene domains.化学气相沉积生长的石墨烯畴之间界面的结构与输运性质
Nanoscale. 2014 Jul 7;6(13):7288-94. doi: 10.1039/c3nr06828e.
9
Spin relaxation mechanism in graphene: resonant scattering by magnetic impurities.石墨烯中的自旋弛豫机制:磁性杂质的共振散射。
Phys Rev Lett. 2014 Mar 21;112(11):116602. doi: 10.1103/PhysRevLett.112.116602. Epub 2014 Mar 18.
10
Wafer-scale growth of single-crystal monolayer graphene on reusable hydrogen-terminated germanium.在可重复使用的氢终止锗上晶圆级生长单晶单层石墨烯。
Science. 2014 Apr 18;344(6181):286-9. doi: 10.1126/science.1252268. Epub 2014 Apr 3.