Suppr超能文献

在猪失血性休克模型中使用新型舌下眼压计监测微循环血流

Monitoring Microcirculatory Blood Flow with a New Sublingual Tonometer in a Porcine Model of Hemorrhagic Shock.

作者信息

Palágyi Péter, Kaszaki József, Rostás Andrea, Érces Dániel, Németh Márton, Boros Mihály, Molnár Zsolt

机构信息

Department of Anesthesiology and Intensive Therapy, University of Szeged, 6 Semmelweis Street, Szeged 6725, Hungary.

Institute of Surgical Research, University of Szeged, 6 Szőkefalvi-Nagy Béla Street, Szeged 6720, Hungary.

出版信息

Biomed Res Int. 2015;2015:847152. doi: 10.1155/2015/847152. Epub 2015 Oct 4.

Abstract

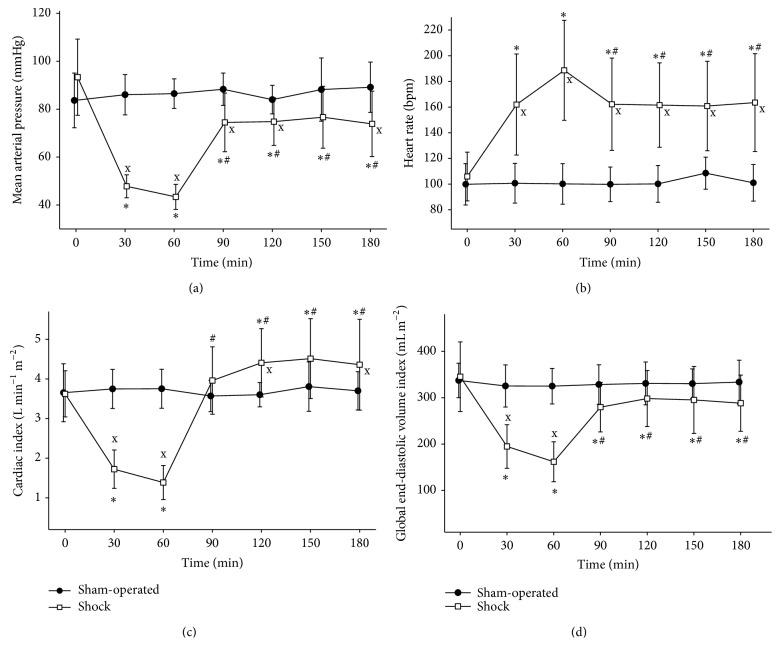
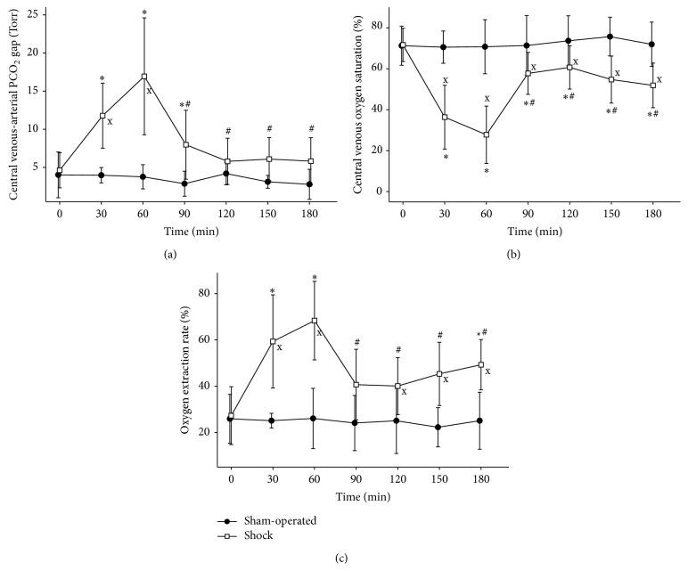
Tissue capnometry may be suitable for the indirect evaluation of regional hypoperfusion. We tested the performance of a new sublingual capillary tonometer in experimental hemorrhage. Thirty-six anesthetized, ventilated mini pigs were divided into sham-operated (n = 9) and shock groups (n = 27). Hemorrhagic shock was induced by reducing mean arterial pressure (MAP) to 40 mmHg for 60 min, after which fluid resuscitation started aiming to increase MAP to 75% of the baseline value (60-180 min). Sublingual carbon-dioxide partial pressure was measured by tonometry, using a specially coiled silicone rubber tube. Mucosal red blood cell velocity (RBCV) and capillary perfusion rate (CPR) were assessed by orthogonal polarization spectral (OPS) imaging. In the 60 min shock phase a significant drop in cardiac index was accompanied by reduction in sublingual RBCV and CPR and significant increase in the sublingual mucosal-to-arterial PCO2 gap (PSLCO2 gap), which significantly improved during the 120 min resuscitation phase. There was significant correlation between PSLCO2 gap and sublingual RBCV (r = -0.65, p < 0.0001), CPR (r = -0.64, p < 0.0001), central venous oxygen saturation (r = -0.50, p < 0.0001), and central venous-to-arterial PCO2 difference (r = 0.62, p < 0.0001). This new sublingual tonometer may be an appropriate tool for the indirect evaluation of circulatory changes in shock.

摘要

组织二氧化碳测定法可能适用于区域灌注不足的间接评估。我们在实验性出血中测试了一种新型舌下毛细管血压计的性能。将36只麻醉、通气的小型猪分为假手术组(n = 9)和休克组(n = 27)。通过将平均动脉压(MAP)降至40 mmHg并持续60分钟来诱导出血性休克,之后开始液体复苏,目标是将MAP提高至基线值的75%(60 - 180分钟)。使用一根特殊盘绕的硅橡胶管通过血压测定法测量舌下二氧化碳分压。通过正交偏振光谱(OPS)成像评估黏膜红细胞速度(RBCV)和毛细血管灌注率(CPR)。在60分钟的休克阶段,心脏指数显著下降,同时舌下RBCV和CPR降低,舌下黏膜与动脉血二氧化碳分压差(PSLCO2差值)显著增加,在120分钟的复苏阶段显著改善。PSLCO2差值与舌下RBCV(r = -0.65,p < 0.0001)、CPR(r = -0.64,p < 0.0001)、中心静脉血氧饱和度(r = -0.50,p < 0.0001)以及中心静脉与动脉血二氧化碳差值(r = 0.62,p < 0.0001)之间存在显著相关性。这种新型舌下血压计可能是间接评估休克时循环变化的合适工具。

https://cdn.ncbi.nlm.nih.gov/pmc/blobs/e1f8/4609384/3dfe22c449fb/BMRI2015-847152.001.jpg

文献AI研究员

20分钟写一篇综述,助力文献阅读效率提升50倍。

立即体验

用中文搜PubMed

大模型驱动的PubMed中文搜索引擎

马上搜索

文档翻译

学术文献翻译模型,支持多种主流文档格式。

立即体验