• 文献检索
  • 文档翻译
  • 深度研究
  • 学术资讯
  • Suppr Zotero 插件Zotero 插件
  • 邀请有礼
  • 套餐&价格
  • 历史记录
应用&插件
Suppr Zotero 插件Zotero 插件浏览器插件Mac 客户端Windows 客户端微信小程序
定价
高级版会员购买积分包购买API积分包
服务
文献检索文档翻译深度研究API 文档MCP 服务
关于我们
关于 Suppr公司介绍联系我们用户协议隐私条款
关注我们

Suppr 超能文献

核心技术专利:CN118964589B侵权必究
粤ICP备2023148730 号-1Suppr @ 2026

文献检索

告别复杂PubMed语法,用中文像聊天一样搜索,搜遍4000万医学文献。AI智能推荐,让科研检索更轻松。

立即免费搜索

文件翻译

保留排版,准确专业,支持PDF/Word/PPT等文件格式,支持 12+语言互译。

免费翻译文档

深度研究

AI帮你快速写综述,25分钟生成高质量综述,智能提取关键信息,辅助科研写作。

立即免费体验

人脐带间充质干细胞疗法在环磷酰胺诱导的大鼠卵巢早衰模型中的应用

Human Umbilical Cord Mesenchymal Stem Cells Therapy in Cyclophosphamide-Induced Premature Ovarian Failure Rat Model.

作者信息

Song Dan, Zhong Yun, Qian Chunfeng, Zou Qinyan, Ou Jian, Shi Yichao, Gao Liang, Wang Gaigai, Liu Zhenxing, Li Haibo, Ding Hailei, Wu Huihua, Wang Fuxin, Wang Jing, Li Hong

机构信息

Center for Reproduction and Genetics, Suzhou Municipal Hospital, Nanjing Medical University Affiliated Suzhou Hospital, Suzhou, Jiangsu 215002, China.

Jiangsu Beike Biotechnology Co., Ltd., Jiangsu 215002, China.

出版信息

Biomed Res Int. 2016;2016:2517514. doi: 10.1155/2016/2517514. Epub 2016 Mar 7.

DOI:10.1155/2016/2517514
PMID:27047962
原文链接:https://pmc.ncbi.nlm.nih.gov/articles/PMC4800076/
Abstract

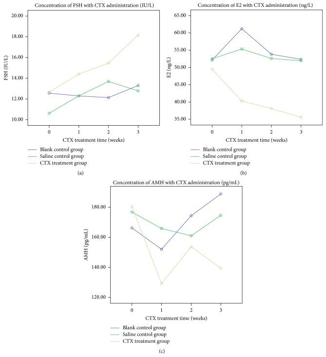
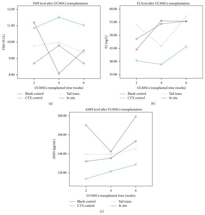
Premature ovarian failure (POF) is one of the most common causes of infertility in women. In our present study, we established cyclophosphamide- (CTX-) induced POF rat model and elucidated its effect on ovarian function. We detected the serum estrogen, follicle stimulating hormone, and anti-Müllerian hormone of mice models by ELISA and evaluated their folliculogenesis by histopathology examination. Our study revealed that CTX administration could severely disturb hormone secretion and influence folliculogenesis in rat. This study also detected ovarian cells apoptosis by deoxy-UTP-digoxigenin nick end labeling (TUNEL) and demonstrated marked ovarian cells apoptosis in rat models following CTX administration. In order to explore the potential of human umbilical cord mesenchymal stem cells (UCMSCs) in POF treatment, the above indexes were used to evaluate ovarian function. We found that human UCMSCs transplantation recovered disturbed hormone secretion and folliculogenesis in POF rat, in addition to reduced ovarian cell apoptosis. We also tracked transplanted UCMSCs in ovaries by fluorescence in situ hybridization (FISH). The results manifested that the transplanted human UCMSCs could reside in ovarian tissues and could survive for a comparatively long time without obvious proliferation. Our present study provides new insights into the great clinical potential of human UCMSCs in POF treatment.

摘要

卵巢早衰(POF)是女性不孕的最常见原因之一。在我们目前的研究中,我们建立了环磷酰胺(CTX)诱导的POF大鼠模型,并阐明了其对卵巢功能的影响。我们通过ELISA检测了小鼠模型的血清雌激素、卵泡刺激素和抗苗勒管激素,并通过组织病理学检查评估了它们的卵泡发生情况。我们的研究表明,给予CTX会严重干扰大鼠的激素分泌并影响卵泡发生。本研究还通过脱氧尿苷三磷酸地高辛缺口末端标记法(TUNEL)检测了卵巢细胞凋亡,并证明给予CTX后大鼠模型中存在明显的卵巢细胞凋亡。为了探索人脐带间充质干细胞(UCMSCs)在POF治疗中的潜力,我们使用上述指标评估卵巢功能。我们发现,人UCMSCs移植可恢复POF大鼠紊乱的激素分泌和卵泡发生,此外还可减少卵巢细胞凋亡。我们还通过荧光原位杂交(FISH)追踪了卵巢中移植的UCMSCs。结果表明,移植的人UCMSCs可驻留在卵巢组织中,并且可以存活较长时间而无明显增殖。我们目前的研究为人类UCMSCs在POF治疗中的巨大临床潜力提供了新的见解。

https://cdn.ncbi.nlm.nih.gov/pmc/blobs/9bc8/4800076/46e5af01d644/BMRI2016-2517514.009.jpg
https://cdn.ncbi.nlm.nih.gov/pmc/blobs/9bc8/4800076/f902d67a590a/BMRI2016-2517514.001.jpg
https://cdn.ncbi.nlm.nih.gov/pmc/blobs/9bc8/4800076/1f527e1ab2dc/BMRI2016-2517514.002.jpg
https://cdn.ncbi.nlm.nih.gov/pmc/blobs/9bc8/4800076/b29b23ef832a/BMRI2016-2517514.003.jpg
https://cdn.ncbi.nlm.nih.gov/pmc/blobs/9bc8/4800076/41c3b9962396/BMRI2016-2517514.004.jpg
https://cdn.ncbi.nlm.nih.gov/pmc/blobs/9bc8/4800076/1fb2acd0b21a/BMRI2016-2517514.005.jpg
https://cdn.ncbi.nlm.nih.gov/pmc/blobs/9bc8/4800076/ef6d07243bd0/BMRI2016-2517514.006.jpg
https://cdn.ncbi.nlm.nih.gov/pmc/blobs/9bc8/4800076/3eb7ef77e8b8/BMRI2016-2517514.007.jpg
https://cdn.ncbi.nlm.nih.gov/pmc/blobs/9bc8/4800076/5f4d4f67d260/BMRI2016-2517514.008.jpg
https://cdn.ncbi.nlm.nih.gov/pmc/blobs/9bc8/4800076/46e5af01d644/BMRI2016-2517514.009.jpg
https://cdn.ncbi.nlm.nih.gov/pmc/blobs/9bc8/4800076/f902d67a590a/BMRI2016-2517514.001.jpg
https://cdn.ncbi.nlm.nih.gov/pmc/blobs/9bc8/4800076/1f527e1ab2dc/BMRI2016-2517514.002.jpg
https://cdn.ncbi.nlm.nih.gov/pmc/blobs/9bc8/4800076/b29b23ef832a/BMRI2016-2517514.003.jpg
https://cdn.ncbi.nlm.nih.gov/pmc/blobs/9bc8/4800076/41c3b9962396/BMRI2016-2517514.004.jpg
https://cdn.ncbi.nlm.nih.gov/pmc/blobs/9bc8/4800076/1fb2acd0b21a/BMRI2016-2517514.005.jpg
https://cdn.ncbi.nlm.nih.gov/pmc/blobs/9bc8/4800076/ef6d07243bd0/BMRI2016-2517514.006.jpg
https://cdn.ncbi.nlm.nih.gov/pmc/blobs/9bc8/4800076/3eb7ef77e8b8/BMRI2016-2517514.007.jpg
https://cdn.ncbi.nlm.nih.gov/pmc/blobs/9bc8/4800076/5f4d4f67d260/BMRI2016-2517514.008.jpg
https://cdn.ncbi.nlm.nih.gov/pmc/blobs/9bc8/4800076/46e5af01d644/BMRI2016-2517514.009.jpg

相似文献

1
Human Umbilical Cord Mesenchymal Stem Cells Therapy in Cyclophosphamide-Induced Premature Ovarian Failure Rat Model.人脐带间充质干细胞疗法在环磷酰胺诱导的大鼠卵巢早衰模型中的应用
Biomed Res Int. 2016;2016:2517514. doi: 10.1155/2016/2517514. Epub 2016 Mar 7.
2
Umbilical Cord Mesenchymal Stem Cell Transplantation Prevents Chemotherapy-Induced Ovarian Failure via the NGF/TrkA Pathway in Rats.脐带间充质干细胞移植通过 NGF/TrkA 通路预防大鼠化疗诱导的卵巢衰竭。
Biomed Res Int. 2019 May 23;2019:6539294. doi: 10.1155/2019/6539294. eCollection 2019.
3
Beneficial effects of human umbilical cord mesenchymal stem cell (HUCMSC) transplantation on cyclophosphamide (CTX)-induced premature ovarian failure (POF) in Tibetan miniature pigs.人脐带间充质干细胞(HUCMSC)移植对环磷酰胺(CTX)诱导的西藏小型猪卵巢早衰(POF)的有益作用。
Transpl Immunol. 2024 Jun;84:102051. doi: 10.1016/j.trim.2024.102051. Epub 2024 May 12.
4
Human umbilical cord mesenchymal stem cells (hUCMSCs) promotes the recovery of ovarian function in a rat model of premature ovarian failure (POF).人脐带间充质干细胞(hUCMSCs)可促进卵巢早衰(POF)大鼠模型卵巢功能的恢复。
Gynecol Endocrinol. 2021 Apr;37(4):353-357. doi: 10.1080/09513590.2021.1878133. Epub 2021 Jan 25.
5
Effects of single and multiple transplantations of human umbilical cord mesenchymal stem cells on the recovery of ovarian function in the treatment of premature ovarian failure in mice.单次和多次移植人脐带间充质干细胞对治疗小鼠卵巢早衰中卵巢功能恢复的影响。
J Ovarian Res. 2021 Sep 15;14(1):119. doi: 10.1186/s13048-021-00871-4.
6
Clusterin-carrying extracellular vesicles derived from human umbilical cord mesenchymal stem cells restore the ovarian function of premature ovarian failure mice through activating the PI3K/AKT pathway.由人脐带间充质干细胞衍生的携带簇集蛋白的细胞外囊泡通过激活 PI3K/AKT 通路恢复卵巢早衰小鼠的卵巢功能。
Stem Cell Res Ther. 2024 Sep 13;15(1):300. doi: 10.1186/s13287-024-03926-7.
7
Human Umbilical Cord Mesenchymal Stem Cells Improve Ovarian Function in Chemotherapy-Induced Premature Ovarian Failure Mice Through Inhibiting Apoptosis and Inflammation via a Paracrine Mechanism.人脐带间充质干细胞通过旁分泌机制抑制细胞凋亡和炎症,改善化疗诱导的卵巢早衰小鼠的卵巢功能。
Reprod Sci. 2021 Jun;28(6):1718-1732. doi: 10.1007/s43032-021-00499-1. Epub 2021 Mar 9.
8
Role of SDF-1/CXCR4 and cytokines in the development of ovary injury in chemotherapy drug induced premature ovarian failure mice.SDF-1/CXCR4和细胞因子在化疗药物诱导的小鼠卵巢早衰卵巢损伤发生中的作用
Life Sci. 2017 Jun 15;179:103-109. doi: 10.1016/j.lfs.2017.05.001. Epub 2017 May 3.
9
Beneficial effects of curcumin and capsaicin on cyclophosphamide-induced premature ovarian failure in a rat model.姜黄素和辣椒素对环磷酰胺诱导的大鼠卵巢早衰的有益作用。
J Ovarian Res. 2018 Apr 26;11(1):33. doi: 10.1186/s13048-018-0409-9.
10
Human umbilical cord mesenchymal stem cells improve morphometric and histopathologic changes of cyclophosphamide-injured ovarian follicles in mouse model of premature ovarian failure.人脐带间充质干细胞改善环磷酰胺损伤的卵巢早衰模型中小鼠卵巢卵泡的形态计量和组织病理学变化。
Acta Histochem. 2021 Jan;123(1):151658. doi: 10.1016/j.acthis.2020.151658. Epub 2020 Nov 26.

引用本文的文献

1
Efficacy and Safety of Human Umbilical Cord Mesenchymal Stem Cells in Improving Fertility in Polycystic Ovary Syndrome Mice.人脐带间充质干细胞改善多囊卵巢综合征小鼠生育能力的有效性和安全性
Curr Stem Cell Res Ther. 2025;20(3):279-290. doi: 10.2174/011574888X287937240424074937.
2
The role of growth hormone in assisted reproductive technology for patients with diminished ovarian reserve: from signaling pathways to clinical applications.生长激素在卵巢储备功能减退患者辅助生殖技术中的作用:从信号通路到临床应用
Front Endocrinol (Lausanne). 2025 Apr 17;16:1551126. doi: 10.3389/fendo.2025.1551126. eCollection 2025.
3

本文引用的文献

1
Conditioned medium from umbilical cord mesenchymal stem cells induces migration and angiogenesis.脐带间充质干细胞的条件培养基可诱导迁移和血管生成。
Mol Med Rep. 2015 Jul;12(1):20-30. doi: 10.3892/mmr.2015.3409. Epub 2015 Mar 4.
2
Ovarian aging and premature ovarian failure.卵巢衰老与卵巢早衰
J Turk Ger Gynecol Assoc. 2014 Aug 8;15(3):190-6. doi: 10.5152/jtgga.2014.0022. eCollection 2014.
3
Amniotic fluid stem cells prevent follicle atresia and rescue fertility of mice with premature ovarian failure induced by chemotherapy.
Human urine stem cells protect against cyclophosphamide-induced premature ovarian failure by inhibiting SLC1A4-mediated outflux of intracellular serine in ovarian granulosa cells.
人尿干细胞通过抑制卵巢颗粒细胞中SLC1A4介导的细胞内丝氨酸外流,预防环磷酰胺诱导的卵巢早衰。
Cell Mol Biol Lett. 2025 Feb 19;30(1):21. doi: 10.1186/s11658-025-00701-1.
4
Improvement of ovarian function in a premature ovarian failure mouse model using Vitex agnus-castus extract.使用贞洁树提取物改善卵巢早衰小鼠模型的卵巢功能。
JBRA Assist Reprod. 2025 Mar 12;29(1):117-126. doi: 10.5935/1518-0557.20240101.
5
Ovario- protective effect of Moringa oleifera leaf extract against cyclophosphamide-induced oxidative ovarian damage and reproductive dysfunction in female rats.辣木叶提取物对环磷酰胺诱导的雌性大鼠卵巢氧化损伤和生殖功能障碍的卵巢保护作用。
Sci Rep. 2025 Jan 7;15(1):1054. doi: 10.1038/s41598-024-82921-7.
6
Boric Acid Protects the Uterus and Fallopian Tubes from Cyclophosphamide-Induced Toxicity in a Rat Model.硼酸在大鼠模型中保护子宫和输卵管免受环磷酰胺诱导的毒性作用。
Pharmaceuticals (Basel). 2024 Dec 19;17(12):1716. doi: 10.3390/ph17121716.
7
Advances in Mesenchymal Stem Cell Research Applications for Female Infertility-Mechanisms, Efficacy Parameters, Challenges and Future Roadmap.间充质干细胞研究在女性不孕症中的应用进展——作用机制、疗效参数、挑战及未来路线图
Galen Med J. 2024 Oct 8;13:e3632. doi: 10.31661/gmj.v13i.3632. eCollection 2024.
8
Application of Mesenchymal Stem Cells in Female Infertility Treatment: Protocols and Preliminary Results.间充质干细胞在女性不孕症治疗中的应用:方案与初步结果。
Life (Basel). 2024 Sep 13;14(9):1161. doi: 10.3390/life14091161.
9
Histological assessment for investigation of dose-dependent ovarian toxicity of cyclophosphamide in the rat.环磷酰胺对大鼠卵巢剂量依赖性毒性研究的组织学评估
Heliyon. 2024 Aug 22;10(17):e36767. doi: 10.1016/j.heliyon.2024.e36767. eCollection 2024 Sep 15.
10
A global bibliometric and visual analysis of research on premature ovarian failure: Based on the perspective of stem cells.基于干细胞视角的卵巢早衰研究的全球文献计量学和可视化分析。
Medicine (Baltimore). 2024 May 31;103(22):e38399. doi: 10.1097/MD.0000000000038399.
羊水干细胞可预防卵泡闭锁并挽救化疗诱导的卵巢早衰小鼠的生育能力。
PLoS One. 2014 Sep 8;9(9):e106538. doi: 10.1371/journal.pone.0106538. eCollection 2014.
4
Skin-derived mesenchymal stem cells help restore function to ovaries in a premature ovarian failure mouse model.皮肤来源的间充质干细胞有助于恢复早衰卵巢模型小鼠的卵巢功能。
PLoS One. 2014 May 30;9(5):e98749. doi: 10.1371/journal.pone.0098749. eCollection 2014.
5
Transplantation of human menstrual blood stem cells to treat premature ovarian failure in mouse model.人月经血干细胞移植治疗小鼠模型卵巢早衰。
Stem Cells Dev. 2014 Jul 1;23(13):1548-57. doi: 10.1089/scd.2013.0371. Epub 2014 Apr 25.
6
Ovarian toxicity: from environmental exposure to chemotherapy.卵巢毒性:从环境暴露到化疗
Curr Pharm Des. 2014;20(34):5388-97. doi: 10.2174/1381612820666140205145319.
7
The therapeutic potential of umbilical cord mesenchymal stem cells in mice premature ovarian failure.脐带间充质干细胞治疗小鼠早发性卵巢功能衰竭的潜力。
Biomed Res Int. 2013;2013:690491. doi: 10.1155/2013/690491. Epub 2013 Aug 13.
8
Adipose-derived stem cells improved mouse ovary function after chemotherapy-induced ovary failure.脂肪来源干细胞改善化疗诱导的卵巢功能衰竭后的小鼠卵巢功能。
Stem Cell Res Ther. 2013 Jul 9;4(4):80. doi: 10.1186/scrt231.
9
Conversion of human umbilical cord mesenchymal stem cells in Wharton's jelly to dopamine neurons mediated by the Lmx1a and neurturin in vitro: potential therapeutic application for Parkinson's disease in a rhesus monkey model.人脐带间质干细胞在 Wharton 胶中的体外向多巴胺神经元的转化:Lmx1a 和神经生长因子介导的用于恒河猴帕金森病模型的潜在治疗应用。
PLoS One. 2013 May 28;8(5):e64000. doi: 10.1371/journal.pone.0064000. Print 2013.
10
Mechanistic action of mesenchymal stem cell injection in the treatment of chemically induced ovarian failure in rabbits.间充质干细胞注射治疗兔化学诱导性卵巢衰竭的机制作用。
Cytotherapy. 2013 Jan;15(1):64-75. doi: 10.1016/j.jcyt.2012.08.001.