Suppr超能文献

采用单波长反射测量法检测中国原发性开角型青光眼中的黄斑色素光密度

Macular Pigment Optical Density in Chinese Primary Open Angle Glaucoma Using the One-Wavelength Reflectometry Method.

作者信息

Ji Yuying, Zuo Chengguo, Lin Mingkai, Zhang Xiongze, Li Miaoling, Mi Lan, Liu Bing, Wen Feng

机构信息

State Key Laboratory of Ophthalmology, Zhongshan Ophthalmic Center, Sun Yat-sen University, Guangzhou 510060, China.

出版信息

J Ophthalmol. 2016;2016:2792103. doi: 10.1155/2016/2792103. Epub 2016 Apr 10.

Abstract

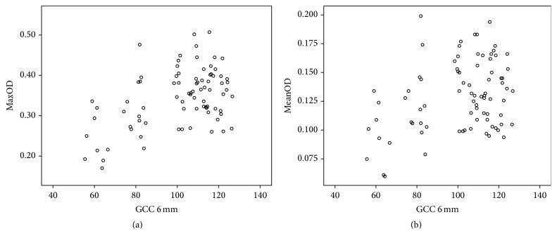
Purpose. To investigate macular pigment optical density (MPOD) and its relationship with retinal thickness in primary open angle glaucoma (POAG) patients using the one-wavelength reflectometry method. Methods. A total of 30 eyes from 30 POAG patients (18 males and 12 females, mean age 47.27 ± 16.93) and 52 eyes from 52 controls (27 males and 25 females, mean age 49.54 ± 19.15) were included in this prospective, observational, case-control study. MPOD was measured in a 7-degree area using one-wavelength reflectometry method. Two parameters, max and mean optical density (OD), were used for analyses. Spectral-domain-optical coherence tomography was used to measure retinal thickness, including central retinal thickness (CRT), the macular ganglion cell complex (GCC), and the circumpapillary retinal nerve fiber layer (RNFL). Results. Both maxOD and meanOD were significantly reduced in POAG patients compared with normal subjects (P < 0.001). GCC, CRT, and RNFL thicknesses were also significantly reduced in POAG patients (P < 0.001). GCC thickness had a positive relationship with MPOD. Conclusions. MPOD within the 7-degree area was significantly lower in Chinese POAG patients than in control subjects, and GCC thickness was significantly and positively associated with MPOD. Whether the observed lower MPOD in POAG contributes to the disease process or is secondary to pathological changes caused by the disease (such as loss of ganglion cells) warrants further and longitudinal study.

摘要

目的。采用单波长反射测量法研究原发性开角型青光眼(POAG)患者的黄斑色素光密度(MPOD)及其与视网膜厚度的关系。方法。本前瞻性、观察性病例对照研究纳入了30例POAG患者的30只眼(男性18例,女性12例,平均年龄47.27±16.93岁)和52例对照者的52只眼(男性27例,女性25例,平均年龄49.54±19.15岁)。使用单波长反射测量法在7度区域测量MPOD。分析采用两个参数,即最大光密度和平均光密度(OD)。使用光谱域光学相干断层扫描测量视网膜厚度,包括中心视网膜厚度(CRT)、黄斑神经节细胞复合体(GCC)和视乳头周围视网膜神经纤维层(RNFL)。结果。与正常受试者相比,POAG患者的最大OD和平均OD均显著降低(P<0.001)。POAG患者的GCC、CRT和RNFL厚度也显著降低(P<0.001)。GCC厚度与MPOD呈正相关。结论。中国POAG患者7度区域内的MPOD显著低于对照者,且GCC厚度与MPOD显著正相关。POAG患者中观察到的较低MPOD是导致疾病进程还是继发于疾病引起的病理变化(如神经节细胞丢失),有待进一步的纵向研究。

https://cdn.ncbi.nlm.nih.gov/pmc/blobs/a688/4842072/53015435401e/JOPH2016-2792103.001.jpg

文献AI研究员

20分钟写一篇综述,助力文献阅读效率提升50倍。

立即体验

用中文搜PubMed

大模型驱动的PubMed中文搜索引擎

马上搜索

文档翻译

学术文献翻译模型,支持多种主流文档格式。

立即体验