Suppr超能文献

预测人工晶状体植入患者焦点透过视力的临床前指标。

Preclinical metrics to predict through-focus visual acuity for pseudophakic patients.

作者信息

Alarcon Aixa, Canovas Carmen, Rosen Robert, Weeber Henk, Tsai Linda, Hileman Kendra, Piers Patricia

机构信息

AMO Groningen, van Swietenlaan, Groningen, 9728 NX, The Netherlands.

AMO Santa Ana, CA, 1700 East St. Andrew Place Santa Ana, CA 92705, USA.

出版信息

Biomed Opt Express. 2016 Apr 15;7(5):1877-88. doi: 10.1364/BOE.7.001877. eCollection 2016 May 1.

Abstract

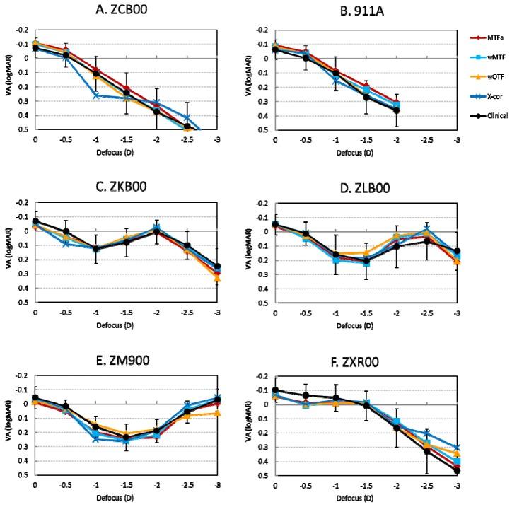
This study compares the clinical through-focus visual acuity (VA) in patients implanted with different intraocular lens (IOL) to optical bench testing of the same IOLs to evaluate the suitability of optical metrics of predicting clinical VA. Modulation transfer function and phase transfer function for different spatial frequencies and US Air Force pictures were measured using an optical bench for two monofocal IOLs, three multifocal IOLs and an extended range of vision IOL. Four preclinical metrics were calculated and compared to the clinical through-focus VA collected in three different clinical studies (243 patients in total). All metrics were well correlated (R(2)≥0.89) with clinical data and may be suitable for predicting through-focus VA in pseudophakic eyes.

摘要

本研究比较了植入不同人工晶状体(IOL)的患者的临床全聚焦视力(VA)与相同IOL的光学平台测试结果,以评估光学指标预测临床VA的适用性。使用光学平台测量了两种单焦点IOL、三种多焦点IOL和一种扩展视力IOL在不同空间频率下的调制传递函数和相位传递函数以及美国空军图片。计算了四个临床前指标,并与三项不同临床研究(共243例患者)中收集的临床全聚焦VA进行比较。所有指标与临床数据均具有良好的相关性(R(2)≥0.89),可能适用于预测假晶状体眼的全聚焦VA。

https://cdn.ncbi.nlm.nih.gov/pmc/blobs/ff95/4871088/92b18080e2a5/boe-7-5-1877-g001.jpg

相似文献

1
Preclinical metrics to predict through-focus visual acuity for pseudophakic patients.
Biomed Opt Express. 2016 Apr 15;7(5):1877-88. doi: 10.1364/BOE.7.001877. eCollection 2016 May 1.
2
Visual acuity of pseudophakic patients predicted from measurements of intraocular lenses with different design.
Biomed Opt Express. 2018 Sep 17;9(10):4893-4906. doi: 10.1364/BOE.9.004893. eCollection 2018 Oct 1.
3
One-year outcomes with new-generation multifocal intraocular lenses.
Ophthalmology. 2008 Sep;115(9):1508-16. doi: 10.1016/j.ophtha.2008.04.017. Epub 2008 Jun 5.
4
[Multifocal intraocular lenses--an assessment of current status].
Klin Monbl Augenheilkd. 1993 Jul;203(1):19-33. doi: 10.1055/s-2008-1045645.
6
All-distance visual acuity and contrast visual acuity in eyes with a refractive multifocal intraocular lens with minimal added power.
Ophthalmology. 2009 Mar;116(3):401-8. doi: 10.1016/j.ophtha.2008.09.052. Epub 2009 Jan 18.
7
Equivalence of two optical quality metrics to predict the visual acuity of multifocal pseudophakic patients.
Biomed Opt Express. 2020 Apr 30;11(5):2818-2829. doi: 10.1364/BOE.388531. eCollection 2020 May 1.
9
Comparative analysis of visual outcomes with 4 intraocular lenses: Monofocal, multifocal, and extended range of vision.
J Cataract Refract Surg. 2018 Feb;44(2):156-167. doi: 10.1016/j.jcrs.2017.11.011.

引用本文的文献

1
Improving the estimation of the spherical equivalent subjective refraction using objective information on accommodation.
Biomed Opt Express. 2025 Jul 16;16(8):3194-3205. doi: 10.1364/BOE.562636. eCollection 2025 Aug 1.
4
Comparison of optical performances of intraocular lenses with different depth of field.
J Optom. 2025 Apr-Jun;18(2):100546. doi: 10.1016/j.optom.2025.100546. Epub 2025 Mar 29.
5
Prediction of monocular defocus curves in pseudophakia with different pupil sizes.
Biomed Opt Express. 2025 Jan 28;16(2):709-717. doi: 10.1364/BOE.540583. eCollection 2025 Feb 1.
6
Depth of focus as a function of spherical aberration using adaptive optics in pseudophakic subjects.
J Cataract Refract Surg. 2025 Jan 21;51(4):307-13. doi: 10.1097/j.jcrs.0000000000001608.
7
Design concepts for advanced-technology intraocular lenses [Invited].
Biomed Opt Express. 2024 Dec 23;16(1):334-361. doi: 10.1364/BOE.544647. eCollection 2025 Jan 1.
8
Silver mean sequence in extended depth of focus intraocular lenses: a comparative study of kinoform and stepwise designs.
Biomed Opt Express. 2024 Nov 26;15(12):6999-7012. doi: 10.1364/BOE.540754. eCollection 2024 Dec 1.
9
Visually relevant on-bench through-focus analysis of intraocular lenses.
Biomed Opt Express. 2024 Nov 27;15(12):7056-7065. doi: 10.1364/BOE.540034. eCollection 2024 Dec 1.
10
Theranostic-Guided UV-A Light Corneal Wavefront Photo-Reshaping for Presbyopia Correction: A Preclinical Study.
J Biophotonics. 2025 Feb;18(2):e202400462. doi: 10.1002/jbio.202400462. Epub 2024 Dec 12.

本文引用的文献

1
Laboratory-Measured MTF of IOLs and Clinical Performance.
J Refract Surg. 2016 Mar;32(3):211-2. doi: 10.3928/1081597X-20160125-01.
2
Effect of Large Apertures on the Optical Quality of Three Multifocal Lenses.
J Refract Surg. 2015 Oct;31(10):666-76. doi: 10.3928/1081597X-20150928-01.
3
Halo and Through-Focus Performance of Four Diffractive Multifocal Intraocular Lenses.
Invest Ophthalmol Vis Sci. 2015 Jun;56(6):3967-75. doi: 10.1167/iovs.15-16600.
5
Image quality comparison of two multifocal IOLs: influence of the pupil.
J Refract Surg. 2015 Apr;31(4):230-5. doi: 10.3928/1081597X-20150319-02.
7
Exploring the optimum step size for defocus curves.
J Cataract Refract Surg. 2013 Jun;39(6):873-80. doi: 10.1016/j.jcrs.2013.01.031.
8
Modified monovision with spherical aberration to improve presbyopic through-focus visual performance.
Invest Ophthalmol Vis Sci. 2013 May 3;54(5):3157-65. doi: 10.1167/iovs.12-11050.
9
A unified formula for light-adapted pupil size.
J Vis. 2012 Sep 25;12(10):12. doi: 10.1167/12.10.12.

文献AI研究员

20分钟写一篇综述,助力文献阅读效率提升50倍。

立即体验

用中文搜PubMed

大模型驱动的PubMed中文搜索引擎

马上搜索

文档翻译

学术文献翻译模型,支持多种主流文档格式。

立即体验