Ren Wenkai, Chen Shuai, Zhang Liwen, Liu Gang, Hussain Tarique, Hao Xiao, Yin Jie, Duan Jielin, Tan Bie, Wu Guoyao, Bazer Fuller W, Yin Yulong
Key Laboratory of Agro-Ecological Processes in Subtropical Region, Institute of Subtropical Agriculture, Chinese Academy of Sciences, Observation and Experiment Station of Animal Nutrition and Feed Science in South-Central China, Ministry of Agriculture, Hunan Provincial Engineering Research Center for Healthy Livestock and Poultry Production, Changsha, Hunan 410125, China; University of the Chinese Academy of Sciences, Beijing 10008, China.
Key Laboratory of Agro-Ecological Processes in Subtropical Region, Institute of Subtropical Agriculture, Chinese Academy of Sciences, Observation and Experiment Station of Animal Nutrition and Feed Science in South-Central China, Ministry of Agriculture, Hunan Provincial Engineering Research Center for Healthy Livestock and Poultry Production, Changsha, Hunan 410125, China.
Mediators Inflamm. 2016;2016:2839232. doi: 10.1155/2016/2839232. Epub 2016 Aug 17.
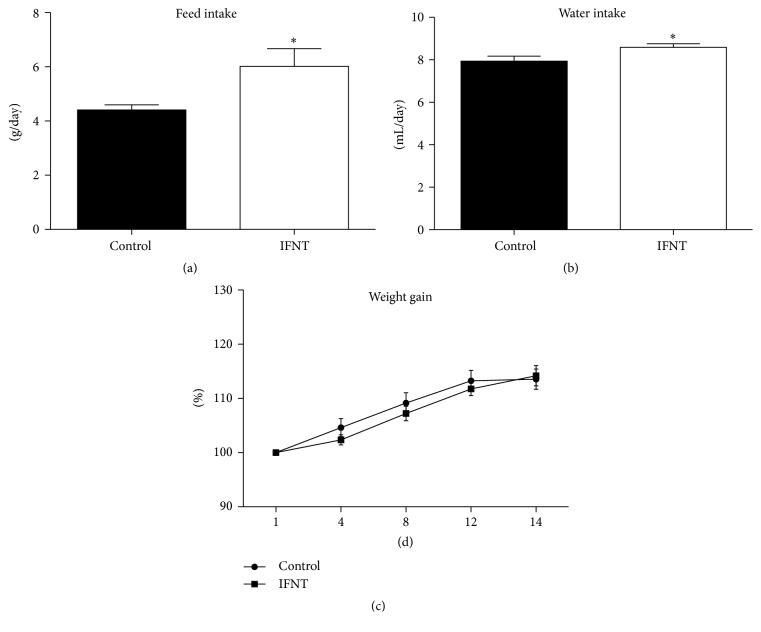
This study was conducted to explore the effects of interferon tau (IFNT) on the intestinal microbiota and expression of interleukin 17 (IL-17) in the intestine of mice. IFNT supplementation increased microbial diversity in the jejunum and ileum but decreased microbial diversity in the feces. IFNT supplementation influenced the composition of the intestinal microbiota as follows: (1) decreasing the percentage of Firmicutes and increasing Bacteroidetes in the jejunum and ileum; (2) enhancing the percentage of Firmicutes but decreasing Bacteroidetes in the colon and feces; (3) decreasing Lactobacillus in the jejunum and ileum; (4) increasing the percentage of Blautia, Bacteroides, Alloprevotella, and Lactobacillus in the colon; and (5) increasing the percentage of Lactobacillus, Bacteroides, and Allobaculum, while decreasing Blautia in the feces. Also, IFNT supplementation decreased the expression of IL-17 in the intestines of normal mice and of an intestinal pathogen infected mice. In conclusion, IFNT supplementation modulates the intestinal microbiota and intestinal IL-17 expression, indicating the applicability of IFNT to treat the intestinal diseases involving IL-17 expression and microbiota.
本研究旨在探讨干扰素τ(IFNT)对小鼠肠道微生物群及肠道中白细胞介素17(IL-17)表达的影响。补充IFNT增加了空肠和回肠中的微生物多样性,但降低了粪便中的微生物多样性。补充IFNT对肠道微生物群组成的影响如下:(1)空肠和回肠中厚壁菌门百分比降低,拟杆菌门增加;(2)结肠和粪便中厚壁菌门百分比增加,但拟杆菌门减少;(3)空肠和回肠中乳酸杆菌减少;(4)结肠中布劳特氏菌属、拟杆菌属、别普雷沃菌属和乳酸杆菌百分比增加;(5)粪便中乳酸杆菌、拟杆菌属和异杆菌属百分比增加,而布劳特氏菌属减少。此外,补充IFNT降低了正常小鼠和肠道病原体感染小鼠肠道中IL-17的表达。总之,补充IFNT可调节肠道微生物群和肠道IL-17表达,表明IFNT在治疗涉及IL-17表达和微生物群的肠道疾病方面具有适用性。