Dhingra Madhur S, Artois Jean, Robinson Timothy P, Linard Catherine, Chaiban Celia, Xenarios Ioannis, Engler Robin, Liechti Robin, Kuznetsov Dmitri, Xiao Xiangming, Dobschuetz Sophie Von, Claes Filip, Newman Scott H, Dauphin Gwenaëlle, Gilbert Marius
Spatial Epidemiology Lab, Université Libre de Bruxelles, Brussels, Belgium.
Department of Animal Husbandry and Dairying, Government of Haryana, Panchkula, India.
Elife. 2016 Nov 25;5:e19571. doi: 10.7554/eLife.19571.
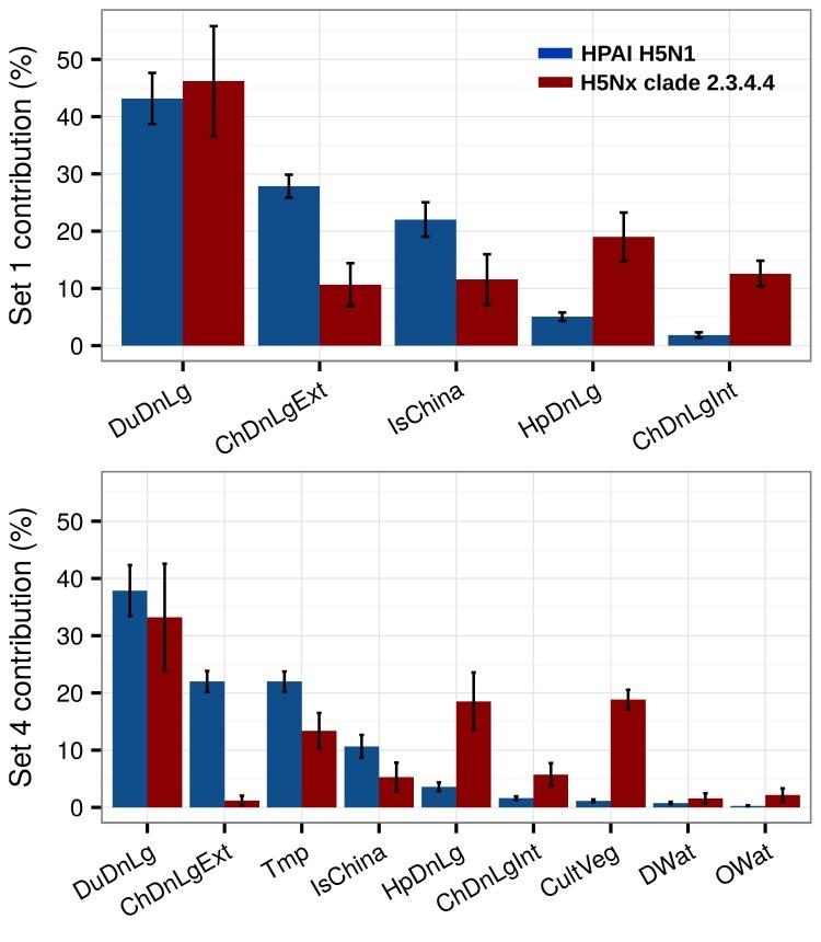
Global disease suitability models are essential tools to inform surveillance systems and enable early detection. We present the first global suitability model of highly pathogenic avian influenza (HPAI) H5N1 and demonstrate that reliable predictions can be obtained at global scale. Best predictions are obtained using spatial predictor variables describing host distributions, rather than land use or eco-climatic spatial predictor variables, with a strong association with domestic duck and extensively raised chicken densities. Our results also support a more systematic use of spatial cross-validation in large-scale disease suitability modelling compared to standard random cross-validation that can lead to unreliable measure of extrapolation accuracy. A global suitability model of the H5 clade 2.3.4.4 viruses, a group of viruses that recently spread extensively in Asia and the US, shows in comparison a lower spatial extrapolation capacity than the HPAI H5N1 models, with a stronger association with intensively raised chicken densities and anthropogenic factors.
全球疾病适宜性模型是为监测系统提供信息并实现早期检测的重要工具。我们提出了首个高致病性禽流感(HPAI)H5N1全球适宜性模型,并证明在全球范围内可获得可靠预测。使用描述宿主分布的空间预测变量而非土地利用或生态气候空间预测变量能获得最佳预测,且这些变量与家鸭和广泛养殖的鸡的密度密切相关。我们的结果还支持在大规模疾病适宜性建模中比标准随机交叉验证更系统地使用空间交叉验证,因为标准随机交叉验证可能导致对外推准确性的不可靠测量。相比之下,H5进化枝2.3.4.4病毒(最近在亚洲和美国广泛传播的一组病毒)的全球适宜性模型显示出比HPAI H5N1模型更低的空间外推能力,与集约化养殖的鸡的密度和人为因素的关联更强。