Suppr超能文献

超声心动图面积-长度法在慢性心肌梗死中的准确性:与猪心脏CT的比较

Accuracy of echocardiographic area-length method in chronic myocardial infarction: comparison with cardiac CT in pigs.

作者信息

Ballo Haitham, Tarkia Miikka, Haavisto Matti, Stark Christoffer, Strandberg Marjatta, Vähäsilta Tommi, Saunavaara Virva, Tolvanen Tuula, Teräs Mika, Hynninen Ville-Veikko, Savunen Timo, Roivainen Anne, Knuuti Juhani, Saraste Antti

机构信息

Turku PET Centre, University of Turku and Turku University Hospital, Kiinamyllynkatu 4-8, Turku, 20520, Finland.

Heart Center, Turku University Hospital and University of Turku, Turku, Finland.

出版信息

Cardiovasc Ultrasound. 2017 Jan 9;15(1):1. doi: 10.1186/s12947-016-0093-0.

Abstract

BACKGROUND

We evaluated echocardiographic area-length methods to measure left ventricle (LV) volumes and ejection fraction (EF) in parasternal short axis views in comparison with cardiac computed tomography (CT) in pigs with chronic myocardial infarction (MI).

METHODS

Male farm pigs with surgical occlusion of the left anterior descending coronary artery (n = 9) or sham operation (n = 5) had transthoracic echocardiography and cardiac-CT 3 months after surgery. We measured length of the LV in parasternal long axis view, and both systolic and diastolic LV areas in parasternal short axis views at the level of mitral valve, papillary muscles and apex. Volumes and EF of the LV were calculated using Simpson's method of discs (tri-plane area) or Cylinder-hemiellipsoid method (single plane area).

RESULTS

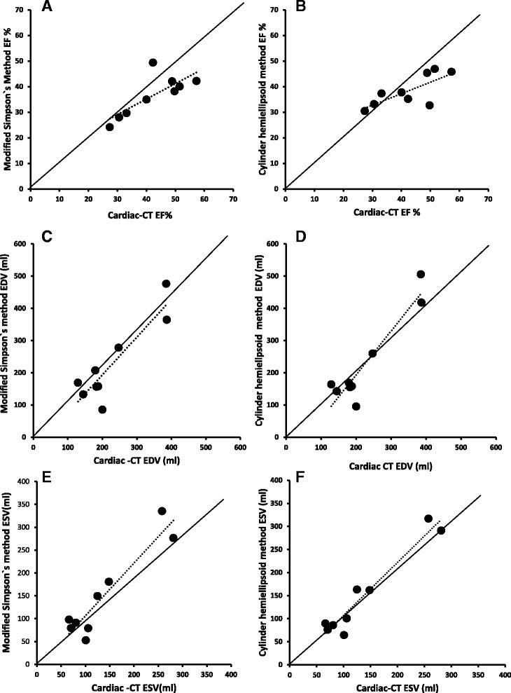
The pigs with coronary occlusion had anterior MI scars and reduced EF (average EF 42 ± 10%) by CT. Measurements of LV volumes and EF were reproducible by echocardiography. Compared with CT, end-diastolic volume (EDV) measured by echocardiography showed good correlation and agreement using either Simpson's method (r = 0.90; mean difference -2, 95% CI -47 to 43 mL) or Cylinder-hemiellipsoid method (r = 0.94; mean difference 3, 95% CI -44 to 49 mL). Furthermore, End-systolic volume (ESV) measured by echocardiography showed also good correlation and agreement using either Simpson's method (r = 0.94; mean difference 12 ml, 95% CI: -16 to 40) or Cylinder-hemiellipsoid method (r = 0.97; mean difference:13 ml, 95% CI: -8 to 33). EF was underestimated using either Simpson's method (r = 0.78; mean difference -6, 95% CI -11 to 1%) or Cylinder-hemiellipsoid method (r = 0.74; mean difference -4, 95% CI-10 to 2%).

CONCLUSION

Our results indicate that measurement of LV volumes may be accurate, but EF is underestimated using either three or single parasternal short axis planes by echocardiography in a large animal model of chronic MI.

摘要

背景

我们评估了在慢性心肌梗死(MI)猪中,与心脏计算机断层扫描(CT)相比,经胸超声心动图面积-长度法在胸骨旁短轴视图中测量左心室(LV)容积和射血分数(EF)的情况。

方法

将左前降支冠状动脉手术闭塞的雄性农场猪(n = 9)或假手术猪(n = 5)在术后3个月进行经胸超声心动图和心脏CT检查。我们在胸骨旁长轴视图中测量左心室长度,并在二尖瓣、乳头肌和心尖水平的胸骨旁短轴视图中测量左心室收缩期和舒张期面积。使用辛普森圆盘法(三平面面积)或圆柱-半椭球体法(单平面面积)计算左心室容积和EF。

结果

冠状动脉闭塞的猪有前壁心肌梗死瘢痕,CT显示EF降低(平均EF 42±10%)。超声心动图测量左心室容积和EF具有可重复性。与CT相比,超声心动图使用辛普森法(r = 0.90;平均差异-2,95%CI -47至43 mL)或圆柱-半椭球体法(r = 0.94;平均差异3,95%CI -44至49 mL)测量的舒张末期容积(EDV)显示出良好的相关性和一致性。此外,超声心动图使用辛普森法(r = 0.94;平均差异12 ml,95%CI:-16至40)或圆柱-半椭球体法(r = 0.97;平均差异:13 ml,95%CI:-8至33)测量的收缩末期容积(ESV)也显示出良好的相关性和一致性。使用辛普森法(r = 0.78;平均差异-6,95%CI -11至1%)或圆柱-半椭球体法(r = 0.74;平均差异-4,95%CI-10至2%)时,EF被低估。

结论

我们的结果表明,在慢性MI的大型动物模型中,超声心动图使用三个或单个胸骨旁短轴平面测量左心室容积可能是准确的,但EF被低估。

https://cdn.ncbi.nlm.nih.gov/pmc/blobs/0dc4/5223339/47a2ded0b10b/12947_2016_93_Fig1_HTML.jpg

文献检索

告别复杂PubMed语法,用中文像聊天一样搜索,搜遍4000万医学文献。AI智能推荐,让科研检索更轻松。

立即免费搜索

文件翻译

保留排版,准确专业,支持PDF/Word/PPT等文件格式,支持 12+语言互译。

免费翻译文档

深度研究

AI帮你快速写综述,25分钟生成高质量综述,智能提取关键信息,辅助科研写作。

立即免费体验