• 文献检索
  • 文档翻译
  • 深度研究
  • 学术资讯
  • Suppr Zotero 插件Zotero 插件
  • 邀请有礼
  • 套餐&价格
  • 历史记录
应用&插件
Suppr Zotero 插件Zotero 插件浏览器插件Mac 客户端Windows 客户端微信小程序
定价
高级版会员购买积分包购买API积分包
服务
文献检索文档翻译深度研究API 文档MCP 服务
关于我们
关于 Suppr公司介绍联系我们用户协议隐私条款
关注我们

Suppr 超能文献

核心技术专利:CN118964589B侵权必究
粤ICP备2023148730 号-1Suppr @ 2026

文献检索

告别复杂PubMed语法,用中文像聊天一样搜索,搜遍4000万医学文献。AI智能推荐,让科研检索更轻松。

立即免费搜索

文件翻译

保留排版,准确专业,支持PDF/Word/PPT等文件格式,支持 12+语言互译。

免费翻译文档

深度研究

AI帮你快速写综述,25分钟生成高质量综述,智能提取关键信息,辅助科研写作。

立即免费体验

近红外发光生物荧光素的收敛合成及其光学性质

Convergent synthesis and optical properties of near-infrared emitting bioluminescent infra-luciferins.

作者信息

Anderson James C, Grounds Helen, Jathoul Amit P, Murray James A H, Pacman Steven J, Tisi Laurence

机构信息

Department of Chemistry , University College London , 20 Gordon Street , London , WC1H 0AJ , UK . Email:

School of Biosciences , University of Cardiff , Sir Martin Evans Building, Museum Avenue , Cardiff , CF10 3AX , UK.

出版信息

RSC Adv. 2017 Jan 16;7(7):3975-3982. doi: 10.1039/c6ra19541e.

DOI:10.1039/c6ra19541e
PMID:28496975
原文链接:https://pmc.ncbi.nlm.nih.gov/articles/PMC5361108/
Abstract

Infra-luciferin, an alkene linked analogue of luciferin, gives bioluminescence emission >700 nm and has the potential to be used for multiparametric imaging. We report here a high yielding, scalable and convergent synthesis of infra-luciferin which will allow the synthesis of other conjugated luciferins for investigation in near-infrared bioluminescence imaging. We demonstrated this potential by using the new route to synthesise a diene linked analogue of luciferin, the fluorescent and bioluminescent properties of which were compared to those of d-luciferin and infra-luciferin. We found that extension of conjugation to a diene linker resulted in the specific bioluminescence activity being reduced by 3-4 orders of magnitude compared to d-luciferin. Analogous to its fluorescence emission spectrum, the diene linked analogue exhibited two peaks in its bioluminescence spectrum, the major one being slightly blue-shifted compared to natural d-luciferin, and a minor peak at 800 nm. The fluorescence quantum yield and pH dependence of fluorescence were also determined.

摘要

异鲁米诺,一种与鲁米诺相连的烯烃类似物,发出波长大于700 nm的生物发光,有潜力用于多参数成像。我们在此报告一种高产率、可扩展且收敛的异鲁米诺合成方法,该方法将允许合成其他共轭鲁米诺,用于近红外生物发光成像研究。我们通过使用新路线合成一种与鲁米诺相连的二烯类似物来证明这种潜力,并将其荧光和生物发光特性与d-鲁米诺和异鲁米诺的特性进行了比较。我们发现,与d-鲁米诺相比,共轭扩展到二烯连接体导致比生物发光活性降低3至4个数量级。与其荧光发射光谱类似,与二烯相连的类似物在其生物发光光谱中表现出两个峰,主要峰与天然d-鲁米诺相比略有蓝移,在800 nm处有一个小峰。还测定了荧光量子产率和荧光的pH依赖性。

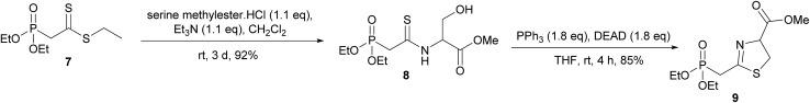
https://cdn.ncbi.nlm.nih.gov/pmc/blobs/bf35/5361108/5787bf955f75/c6ra19541e-f5.jpg
https://cdn.ncbi.nlm.nih.gov/pmc/blobs/bf35/5361108/18312207a894/c6ra19541e-f1.jpg
https://cdn.ncbi.nlm.nih.gov/pmc/blobs/bf35/5361108/eba8dacbfc0e/c6ra19541e-s1.jpg
https://cdn.ncbi.nlm.nih.gov/pmc/blobs/bf35/5361108/443365f8f6e3/c6ra19541e-f2.jpg
https://cdn.ncbi.nlm.nih.gov/pmc/blobs/bf35/5361108/1be8b4f9da59/c6ra19541e-s2.jpg
https://cdn.ncbi.nlm.nih.gov/pmc/blobs/bf35/5361108/a7b0e49182f7/c6ra19541e-s3.jpg
https://cdn.ncbi.nlm.nih.gov/pmc/blobs/bf35/5361108/075a0f31714d/c6ra19541e-f3.jpg
https://cdn.ncbi.nlm.nih.gov/pmc/blobs/bf35/5361108/fa5ab3dd47e0/c6ra19541e-f4.jpg
https://cdn.ncbi.nlm.nih.gov/pmc/blobs/bf35/5361108/5787bf955f75/c6ra19541e-f5.jpg
https://cdn.ncbi.nlm.nih.gov/pmc/blobs/bf35/5361108/18312207a894/c6ra19541e-f1.jpg
https://cdn.ncbi.nlm.nih.gov/pmc/blobs/bf35/5361108/eba8dacbfc0e/c6ra19541e-s1.jpg
https://cdn.ncbi.nlm.nih.gov/pmc/blobs/bf35/5361108/443365f8f6e3/c6ra19541e-f2.jpg
https://cdn.ncbi.nlm.nih.gov/pmc/blobs/bf35/5361108/1be8b4f9da59/c6ra19541e-s2.jpg
https://cdn.ncbi.nlm.nih.gov/pmc/blobs/bf35/5361108/a7b0e49182f7/c6ra19541e-s3.jpg
https://cdn.ncbi.nlm.nih.gov/pmc/blobs/bf35/5361108/075a0f31714d/c6ra19541e-f3.jpg
https://cdn.ncbi.nlm.nih.gov/pmc/blobs/bf35/5361108/fa5ab3dd47e0/c6ra19541e-f4.jpg
https://cdn.ncbi.nlm.nih.gov/pmc/blobs/bf35/5361108/5787bf955f75/c6ra19541e-f5.jpg

相似文献

1
Convergent synthesis and optical properties of near-infrared emitting bioluminescent infra-luciferins.近红外发光生物荧光素的收敛合成及其光学性质
RSC Adv. 2017 Jan 16;7(7):3975-3982. doi: 10.1039/c6ra19541e.
2
A dual-color far-red to near-infrared firefly luciferin analogue designed for multiparametric bioluminescence imaging.一种为多参数生物发光成像设计的双色远红到近红外萤火虫荧光素类似物。
Angew Chem Int Ed Engl. 2014 Nov 24;53(48):13059-63. doi: 10.1002/anie.201405955. Epub 2014 Sep 29.
3
Synthesis and Bioluminescence of 'V'-Shaped Firefly Luciferin Analogues Based on A Novel Benzobisthiazole Core.基于新型苯并双噻唑核心的“V”形萤火虫荧光素类似物的合成与生物发光
Chemistry. 2023 Dec 11;29(69):e202302204. doi: 10.1002/chem.202302204. Epub 2023 Oct 27.
4
Discovery of alkene-conjugated luciferins for redshifted and improved bioluminescence imaging and .用于红移和改进生物发光成像的烯烃共轭荧光素的发现以及。 (你提供的原文似乎不完整,翻译可能会存在一定局限性)
Org Biomol Chem. 2022 May 26;20(20):4224-4230. doi: 10.1039/d1ob02477a.
5
Ring-Fused Firefly Luciferins: Expanded Palette of Near-Infrared Emitting Bioluminescent Substrates.环融合萤火虫荧光素:近红外发射生物发光底物的扩展调色板。
Anal Chem. 2020 Mar 17;92(6):4235-4243. doi: 10.1021/acs.analchem.9b04562. Epub 2020 Feb 4.
6
Red-Shifted Coumarin Luciferins for Improved Bioluminescence Imaging.红色位移香豆素荧光素用于改进生物发光成像。
J Am Chem Soc. 2023 Feb 15;145(6):3335-3345. doi: 10.1021/jacs.2c07220. Epub 2023 Feb 6.
7
Bioluminescence, photophysical, computational and molecular docking studies of fully conformationally restricted enamine infraluciferin.完全构象受限的烯胺类荧光素的生物发光、光物理、计算及分子对接研究
Org Biomol Chem. 2023 Apr 5;21(14):2941-2949. doi: 10.1039/d3ob00247k.
8
Constructing firefly luciferin bioluminescence probes for imaging.构建用于成像的萤火虫荧光素生物发光探针。
Org Biomol Chem. 2022 Feb 16;20(7):1360-1372. doi: 10.1039/d1ob01940f.
9
Comparison of Bioluminescent Substrates in Natural Infection Models of Neglected Parasitic Diseases.比较忽视寄生虫病自然感染模型中的生物发光底物。
Int J Mol Sci. 2022 Dec 16;23(24):16074. doi: 10.3390/ijms232416074.
10
A luciferin analogue generating near-infrared bioluminescence achieves highly sensitive deep-tissue imaging.一种产生近红外生物发光的荧光素类似物可实现高灵敏度的深层组织成像。
Nat Commun. 2016 Jun 14;7:11856. doi: 10.1038/ncomms11856.

引用本文的文献

1
A higher spectral range of beetle bioluminescence with infraluciferin.具有红外荧光素的甲虫生物发光的更高光谱范围。
Front Bioeng Biotechnol. 2022 Aug 26;10:897272. doi: 10.3389/fbioe.2022.897272. eCollection 2022.
2
BRET based dual-colour (visible/near-infrared) molecular imaging using a quantum dot/EGFP-luciferase conjugate.基于生物发光共振能量转移(BRET)的双色(可见光/近红外)分子成像,使用量子点/增强型绿色荧光蛋白-荧光素酶共轭物。
RSC Adv. 2019 Oct 29;9(60):34964-34971. doi: 10.1039/c9ra07011g. eCollection 2019 Oct 28.
3
Systematic Comparison of Beetle Luciferase-Luciferin Pairs as Sources of Near-Infrared Light for In Vitro and In Vivo Applications.

本文引用的文献

1
Bioluminescence: a versatile technique for imaging cellular and molecular features.生物发光:一种用于成像细胞和分子特征的通用技术。
Medchemcomm. 2014 Mar 1;5(3):255-267. doi: 10.1039/C3MD00288H. Epub 2013 Dec 13.
2
A luciferin analogue generating near-infrared bioluminescence achieves highly sensitive deep-tissue imaging.一种产生近红外生物发光的荧光素类似物可实现高灵敏度的深层组织成像。
Nat Commun. 2016 Jun 14;7:11856. doi: 10.1038/ncomms11856.
3
A dual-color far-red to near-infrared firefly luciferin analogue designed for multiparametric bioluminescence imaging.
甲虫荧光素酶-荧光素对作为用于体外和体内应用的近红外光源的系统比较。
Int J Mol Sci. 2022 Feb 23;23(5):2451. doi: 10.3390/ijms23052451.
4
Multicomponent Bioluminescence Imaging with a π-Extended Luciferin.π-扩展荧光素的多组分生物发光成像。
J Am Chem Soc. 2020 Aug 19;142(33):14080-14089. doi: 10.1021/jacs.0c01064. Epub 2020 Aug 4.
5
Development of near-infrared firefly luciferin analogue reacted with wild-type and mutant luciferases.近红外萤光素类似物与野生型和突变型萤光酶的反应开发。
Chirality. 2020 Jul;32(7):922-931. doi: 10.1002/chir.23236. Epub 2020 May 4.
6
Near-infrared dual bioluminescence imaging in mouse models of cancer using infraluciferin.利用下萤光素进行癌症小鼠模型的近红外双生物发光成像。
Elife. 2019 Oct 15;8:e45801. doi: 10.7554/eLife.45801.
7
Building Biological Flashlights: Orthogonal Luciferases and Luciferins for Imaging.构建生物荧光灯:用于成像的正交荧光酶和荧光底物。
Acc Chem Res. 2019 Nov 19;52(11):3039-3050. doi: 10.1021/acs.accounts.9b00391. Epub 2019 Oct 8.
8
Mutagenesis and Structural Studies Reveal the Basis for the Activity and Stability Properties That Distinguish the Luciferases and .突变和结构研究揭示了区分荧光素酶和 的活性和稳定性特性的基础。
Biochemistry. 2019 Oct 22;58(42):4293-4303. doi: 10.1021/acs.biochem.9b00719. Epub 2019 Oct 10.
9
Advances in bioluminescence imaging: new probes from old recipes.生物发光成像技术的新进展:旧配方中的新探针。
Curr Opin Chem Biol. 2018 Aug;45:148-156. doi: 10.1016/j.cbpa.2018.05.009. Epub 2018 Jun 5.
10
Pyridone Luciferins and Mutant Luciferases for Bioluminescence Imaging.吡咯酮荧光素和突变荧光素酶用于生物发光成像。
Chembiochem. 2018 Mar 2;19(5):470-477. doi: 10.1002/cbic.201700542. Epub 2018 Jan 31.
一种为多参数生物发光成像设计的双色远红到近红外萤火虫荧光素类似物。
Angew Chem Int Ed Engl. 2014 Nov 24;53(48):13059-63. doi: 10.1002/anie.201405955. Epub 2014 Sep 29.
4
Beyond D-luciferin: expanding the scope of bioluminescence imaging in vivo.超越D-荧光素:拓展体内生物发光成像的范围
Curr Opin Chem Biol. 2014 Aug;21:112-20. doi: 10.1016/j.cbpa.2014.07.003. Epub 2014 Aug 1.
5
Expedient synthesis of electronically modified luciferins for bioluminescence imaging.用于生物发光成像的电子修饰荧光素的便捷合成。
J Am Chem Soc. 2012 May 9;134(18):7604-7. doi: 10.1021/ja301493d. Epub 2012 Apr 27.
6
Bioluminescence imaging: progress and applications.生物发光成像:进展与应用。
Trends Biotechnol. 2011 Dec;29(12):624-33. doi: 10.1016/j.tibtech.2011.06.010. Epub 2011 Jul 23.
7
In vivo bioluminescence for tracking cell fate and function.体内生物发光用于追踪细胞命运和功能。
Am J Physiol Heart Circ Physiol. 2011 Sep;301(3):H663-71. doi: 10.1152/ajpheart.00337.2011. Epub 2011 Jun 10.
8
Guided by the light: visualizing biomolecular processes in living animals with bioluminescence.受光照引导:用生物发光可视化活体动物中的生物分子过程。
Curr Opin Chem Biol. 2010 Feb;14(1):80-9. doi: 10.1016/j.cbpa.2009.11.001. Epub 2009 Dec 3.
9
Bioluminescence: imaging modality for in vitro and in vivo gene expression.生物发光:用于体外和体内基因表达的成像方式。
Methods Mol Biol. 2008;477:383-94. doi: 10.1007/978-1-60327-517-0_29.
10
Kinetics of inhibition of firefly luciferase by oxyluciferin and dehydroluciferyl-adenylate.氧化型荧光素和脱羟基荧光素腺苷酸对萤火虫荧光素酶的抑制动力学。
Photochem Photobiol Sci. 2008 Sep;7(9):1085-90. doi: 10.1039/b809935a. Epub 2008 Aug 1.