• 文献检索
  • 文档翻译
  • 深度研究
  • 学术资讯
  • Suppr Zotero 插件Zotero 插件
  • 邀请有礼
  • 套餐&价格
  • 历史记录
应用&插件
Suppr Zotero 插件Zotero 插件浏览器插件Mac 客户端Windows 客户端微信小程序
定价
高级版会员购买积分包购买API积分包
服务
文献检索文档翻译深度研究API 文档MCP 服务
关于我们
关于 Suppr公司介绍联系我们用户协议隐私条款
关注我们

Suppr 超能文献

核心技术专利:CN118964589B侵权必究
粤ICP备2023148730 号-1Suppr @ 2026

文献检索

告别复杂PubMed语法,用中文像聊天一样搜索,搜遍4000万医学文献。AI智能推荐,让科研检索更轻松。

立即免费搜索

文件翻译

保留排版,准确专业,支持PDF/Word/PPT等文件格式,支持 12+语言互译。

免费翻译文档

深度研究

AI帮你快速写综述,25分钟生成高质量综述,智能提取关键信息,辅助科研写作。

立即免费体验

童年期因创伤相关原因入院的年轻人中的自我伤害和暴力犯罪:一项丹麦全国队列研究。

Self-harm and violent criminality among young people who experienced trauma-related hospital admission during childhood: a Danish national cohort study.

作者信息

Webb Roger T, Antonsen Sussie, Carr Matthew J, Appleby Louis, Pedersen Carsten B, Mok Pearl L H

机构信息

Centre for Mental Health & Safety, Division of Psychology & Mental Health, School of Health Sciences, Faculty of Biology, Medicine and Health, The University of Manchester, Manchester, UK.

Manchester Academic Health Science Centre (MAHSC), Manchester, UK.

出版信息

Lancet Public Health. 2017 Jun 1;2(7):e314-e322. doi: 10.1016/S2468-2667(17)30094-4. eCollection 2017 Jul.

DOI:10.1016/S2468-2667(17)30094-4
PMID:28736760
原文链接:https://pmc.ncbi.nlm.nih.gov/articles/PMC5500314/
Abstract

BACKGROUND

Development of a better understanding of subsequent pathways for individuals who experienced trauma during childhood might usefully inform clinicians and public health professionals regarding the causes of self-harm and interpersonal violence. We aimed to examine these risks during late adolescence and early adulthood among people admitted to hospital following injuries or poisonings during their childhood.

METHODS

This national cohort study included Danish people born between Jan 1, 1977, and Dec 31, 1997, and was linked to the National Patient Register and Psychiatric Central Research Register to identify all people exposed to hospital admissions for injuries or poisonings due to self-harm, interpersonal violence, or accidents before their 15th birthday. Linkage to these two registers and to the National Crime Register enabled ascertainment of self-harm and violent offending, respectively, as adverse outcomes at ages 15-35 years. Sex-specific incidence rate ratios (IRRs; relative risks) and cumulative incidence percentage values (absolute risks) were estimated. The confounding influence of parental socioeconomic status was also explored.

FINDINGS

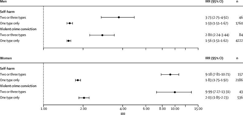
1 087 672 Danish people were included in this study. The prevalence of any trauma-related hospital admission was 10% (105 753 per 1 087 672; males: 64 454 [11%]; females: 44 299 [8%]) and for both sexes, accident was by far the most prevalent of the categories assessed (males: 59 011 [11%]; females: 40 756 [8%]). Similar patterns of increased risk for self-harm and violent criminality were observed in both sexes, although the IRRs were consistently and significantly larger in women (self-harm: IRR 1·94 [95% CI 1·85-2·02]; violent criminality: 2·16 [1·97-2·36]) than in men (self-harm: 1·61 [1·53-1·69]; violent criminality: 1·58 [1·53-1·63]). Confounding by parental socioeconomic status explained little of the increased risks observed. For young adult men, the highest absolute risk observed was for violent offending among individuals admitted to hospital for interpersonal violence injury during childhood (cumulative incidence 25·0% [95% CI 21·2-28·9]). For young adult women, absolute risk was highest for repeat self-harm among those admitted to hospital following self-harm during childhood (cumulative incidence 21·4% [95% CI 19·8-23·1]). More frequent trauma-related hospital admissions in childhood, and being admitted multiple times for more than one reason, conferred substantial risk increases among young people, with especially steep gradients of this nature observed among women.

INTERPRETATION

Trauma-related hospital admission early in life could be a useful marker for childhood distress that subsequently predicts internalised and externalised destructive behaviours among youths and young adults and might provide a timely opportunity for initiating family-oriented interventions.

FUNDING

European Research Council.

https://cdn.ncbi.nlm.nih.gov/pmc/blobs/e641/5500314/f656ef9f1319/gr3.jpg
https://cdn.ncbi.nlm.nih.gov/pmc/blobs/e641/5500314/0e997c84a500/gr1.jpg
https://cdn.ncbi.nlm.nih.gov/pmc/blobs/e641/5500314/3b5852df6913/gr2.jpg
https://cdn.ncbi.nlm.nih.gov/pmc/blobs/e641/5500314/f656ef9f1319/gr3.jpg
https://cdn.ncbi.nlm.nih.gov/pmc/blobs/e641/5500314/0e997c84a500/gr1.jpg
https://cdn.ncbi.nlm.nih.gov/pmc/blobs/e641/5500314/3b5852df6913/gr2.jpg
https://cdn.ncbi.nlm.nih.gov/pmc/blobs/e641/5500314/f656ef9f1319/gr3.jpg
摘要

背景

更好地了解童年时期经历过创伤的个体后续的发展路径,可能有助于临床医生和公共卫生专业人员了解自残和人际暴力的成因。我们旨在研究童年时期因受伤或中毒而住院的人群在青春期后期和成年早期的这些风险。

方法

这项全国队列研究纳入了1977年1月1日至1997年12月31日出生的丹麦人,并与国家患者登记册和精神病学中央研究登记册相链接,以确定所有在15岁之前因自残、人际暴力或事故而住院的人。与这两个登记册以及国家犯罪登记册相链接,分别确定了15至35岁时自残和暴力犯罪这两个不良结局。估计了按性别划分的发病率比值(IRR;相对风险)和累积发病率百分比值(绝对风险)。还探讨了父母社会经济地位的混杂影响。

结果

本研究纳入了1087672名丹麦人。任何与创伤相关的住院患病率为10%(每1087672人中105753人;男性:64454人[11%];女性:44299人[8%]),对于男女两性来说,事故是所评估类别中最常见的(男性:59011人[11%];女性:40756人[8%])。在男女两性中均观察到自残和暴力犯罪风险增加的类似模式,尽管女性的发病率比值始终且显著高于男性(自残:IRR 1.94[95%CI 1.85 - 2.02];暴力犯罪:2.16[1.97 - 2.36]),男性为(自残:1.61[1.53 - 1.69];暴力犯罪:1.58[1.53 - 1.63])。父母社会经济地位的混杂对观察到的风险增加解释甚少。对于年轻成年男性,观察到的最高绝对风险是童年时期因人际暴力受伤而住院的个体中的暴力犯罪(累积发病率25.0%[95%CI 21.2 - 28.9])。对于年轻成年女性,绝对风险最高的是童年时期自残后住院的人群中的反复自残(累积发病率21.4%[95%CI 19.8 - 23.1])。童年时期更频繁的与创伤相关的住院,以及因多种原因多次住院,会使年轻人的风险大幅增加,在女性中尤其观察到这种性质的陡峭梯度。

解读

生命早期与创伤相关的住院可能是童年困扰的一个有用指标,随后可预测青少年和年轻成年人的内化和外化破坏性行为,并可能为启动以家庭为导向的干预提供一个及时的机会。

资金来源

欧洲研究理事会。

相似文献

1
Self-harm and violent criminality among young people who experienced trauma-related hospital admission during childhood: a Danish national cohort study.童年期因创伤相关原因入院的年轻人中的自我伤害和暴力犯罪:一项丹麦全国队列研究。
Lancet Public Health. 2017 Jun 1;2(7):e314-e322. doi: 10.1016/S2468-2667(17)30094-4. eCollection 2017 Jul.
2
Family income inequalities and trajectories through childhood and self-harm and violence in young adults: a population-based, nested case-control study.家庭收入不平等与儿童期轨迹和青少年时期的自伤和暴力:一项基于人群的嵌套病例对照研究。
Lancet Public Health. 2018 Oct;3(10):e498-e507. doi: 10.1016/S2468-2667(18)30164-6.
3
Self-harm and violent criminality linked with parental death during childhood.自伤和暴力犯罪与儿童时期父母死亡有关。
Psychol Med. 2020 May;50(7):1224-1232. doi: 10.1017/S0033291719001193. Epub 2019 Jun 3.
4
Multilevel interactions between family and neighbourhood socioeconomic indices in childhood and later risks of self-harm and violent criminality in Denmark: a national cohort study.丹麦的一项全国队列研究:儿童时期家庭和邻里社会经济指数的多层次相互作用与后来的自我伤害和暴力犯罪风险。
Lancet Public Health. 2023 Feb;8(2):e99-e108. doi: 10.1016/S2468-2667(22)00292-4.
5
Risk of dying unnaturally among people aged 15-35 years who have harmed themselves and inflicted violence on others: a national nested case-control study.15-35 岁自残又伤害他人人群的非自然死亡风险:一项全国嵌套病例对照研究。
Lancet Public Health. 2019 May;4(5):e220-e228. doi: 10.1016/S2468-2667(19)30042-8.
6
National cohort study of absolute risk and age-specific incidence of multiple adverse outcomes between adolescence and early middle age.青少年至中年早期多种不良结局的绝对风险和年龄特异性发病率的全国队列研究。
BMC Public Health. 2015 Sep 19;15:920. doi: 10.1186/s12889-015-2249-5.
7
Multiple adverse outcomes following first discharge from inpatient psychiatric care: a national cohort study.首次出院后住院精神科护理的多种不良结局:一项全国队列研究。
Lancet Psychiatry. 2019 Jul;6(7):582-589. doi: 10.1016/S2215-0366(19)30180-4. Epub 2019 Jun 3.
8
Adverse Childhood Experiences and Risk of Subsequently Engaging in Self-Harm and Violence towards Other People-"Dual Harm".童年不良经历与随后实施自我伤害及对他人暴力行为(“双重伤害”)的风险
Int J Environ Res Public Health. 2020 Dec 15;17(24):9409. doi: 10.3390/ijerph17249409.
9
Association of Cumulative Childhood Adversity and Adolescent Violent Offending With Suicide in Early Adulthood.童年期累积逆境与青少年暴力犯罪对成年早期自杀的影响。
JAMA Psychiatry. 2018 Feb 1;75(2):185-193. doi: 10.1001/jamapsychiatry.2017.3788.
10
Homelessness, psychiatric disorders, and violence in Denmark: a population-based cohort study.丹麦的无家可归、精神障碍和暴力:一项基于人群的队列研究。
Lancet Public Health. 2024 Jun;9(6):e376-e385. doi: 10.1016/S2468-2667(24)00096-3.

引用本文的文献

1
Refugees' integration and emotional distress over the course of 9 months.难民在9个月期间的融入情况与情绪困扰
Front Psychol. 2024 Oct 17;15:1459934. doi: 10.3389/fpsyg.2024.1459934. eCollection 2024.
2
CHILDHOOD EXPERIENCES AND FACTORS ASSOCIATED WITH PERPETRATION OF VIOLENCE AMONG YOUNG ADULTS IN DELTA STATE PRISONS.三角州州监狱中青少年暴力犯罪的童年经历及相关因素
Ann Ib Postgrad Med. 2022 Jun;20(1):40-48.
3
The Suitability of the Childhood Trauma Questionnaire in Criminal Offender Samples.《童年期创伤问卷在犯罪者样本中的适用性》

本文引用的文献

1
Association Between Deliberate Self-harm and Violent Criminality.蓄意自伤与暴力犯罪之间的关联。
JAMA Psychiatry. 2017 Jun 1;74(6):615-621. doi: 10.1001/jamapsychiatry.2017.0338.
2
Parental Psychiatric Disease and Risks of Attempted Suicide and Violent Criminal Offending in Offspring: A Population-Based Cohort Study.父母的精神疾病与子女自杀未遂及暴力犯罪风险:一项基于人群的队列研究。
JAMA Psychiatry. 2016 Oct 1;73(10):1015-1022. doi: 10.1001/jamapsychiatry.2016.1728.
3
Childhood household dysfunction and risk of self-harm: a cohort study of 107 518 young adults in Stockholm County.
Int J Environ Res Public Health. 2023 Mar 15;20(6):5195. doi: 10.3390/ijerph20065195.
4
The impact of experiencing severe physical abuse in childhood on adolescent refugees' emotional distress and integration during the COVID-19 pandemic.童年时期遭受严重身体虐待对青少年难民在新冠疫情期间的情绪困扰和融入的影响。
Front Psychol. 2022 Nov 24;13:1023252. doi: 10.3389/fpsyg.2022.1023252. eCollection 2022.
5
The Relationship between Childhood Traumas and Crime in Male Prisoners.男性囚犯童年创伤与犯罪之间的关系
Alpha Psychiatry. 2021 Jan 19;22(1):56-60. doi: 10.5455/apd.111825. eCollection 2021 Jan.
6
Reseach progress in dual harm.双重危害研究进展。
Zhong Nan Da Xue Xue Bao Yi Xue Ban. 2022 Sep 28;47(9):1267-1274. doi: 10.11817/j.issn.1672-7347.2022.210653.
7
NETfacts: An integrated intervention at the individual and collective level to treat communities affected by organized violence.NETfacts:在个人和集体层面的综合干预,以治疗受有组织暴力影响的社区。
Proc Natl Acad Sci U S A. 2022 Nov;119(44):e2204698119. doi: 10.1073/pnas.2204698119. Epub 2022 Oct 28.
8
Behavioral pathway to a broken heart: The link between adverse childhood experiences, depression, physical exercise and cardiovascular health.心碎的行为路径:童年不良经历、抑郁、体育锻炼与心血管健康之间的联系。
Front Psychiatry. 2022 Oct 11;13:1002143. doi: 10.3389/fpsyt.2022.1002143. eCollection 2022.
9
NETfacts: a community intervention integrating trauma treatment at the individual and collective level.网络事实:一个将个体和集体层面的创伤治疗整合在一起的社区干预措施。
Eur J Psychotraumatol. 2021 Nov 24;12(1):1992962. doi: 10.1080/20008198.2021.1992962. eCollection 2021.
10
Association of trauma, post-traumatic stress disorder and non-affective psychosis across the life course: a nationwide prospective cohort study.创伤、创伤后应激障碍与非情感性精神病在生命历程中的关联:一项全国性前瞻性队列研究
Psychol Med. 2023 Mar;53(4):1620-1628. doi: 10.1017/S0033291721003287. Epub 2021 Aug 20.
童年期家庭功能障碍与自伤风险:斯德哥尔摩县 107518 名年轻成年人的队列研究。
Int J Epidemiol. 2016 Apr;45(2):501-11. doi: 10.1093/ije/dyw012. Epub 2016 Mar 31.
4
10-y Risks of Death and Emergency Re-admission in Adolescents Hospitalised with Violent, Drug- or Alcohol-Related, or Self-Inflicted Injury: A Population-Based Cohort Study.因暴力、毒品或酒精相关伤害或自残受伤住院的青少年的10年死亡风险和紧急再入院情况:一项基于人群的队列研究。
PLoS Med. 2015 Dec 29;12(12):e1001931. doi: 10.1371/journal.pmed.1001931. eCollection 2015 Dec.
5
Self-harm, Assault, and Undetermined Intent Injuries Among Pediatric Emergency Department Visits.儿科急诊科就诊中的自残、攻击伤和意图不明的损伤
Pediatr Emerg Care. 2015 Dec;31(12):813-8. doi: 10.1097/PEC.0000000000000627.
6
National cohort study of absolute risk and age-specific incidence of multiple adverse outcomes between adolescence and early middle age.青少年至中年早期多种不良结局的绝对风险和年龄特异性发病率的全国队列研究。
BMC Public Health. 2015 Sep 19;15:920. doi: 10.1186/s12889-015-2249-5.
7
Long-term outcomes following self-poisoning in adolescents: a population-based cohort study.青少年自我中毒后的长期结局:一项基于人群的队列研究。
Lancet Psychiatry. 2015 Jun;2(6):532-9. doi: 10.1016/S2215-0366(15)00170-4. Epub 2015 May 27.
8
National Cohort Study of Suicidality and Violent Criminality among Danish Immigrants.丹麦移民自杀倾向与暴力犯罪的全国队列研究。
PLoS One. 2015 Jun 29;10(6):e0131915. doi: 10.1371/journal.pone.0131915. eCollection 2015.
9
ER visits predict premature death among teenagers.急诊就诊可预测青少年的早逝。
Accid Anal Prev. 2012 Sep;48:397-400. doi: 10.1016/j.aap.2012.02.012. Epub 2012 Mar 27.
10
Absolute risk of suicide after first hospital contact in mental disorder.首次因精神障碍入院后自杀的绝对风险。
Arch Gen Psychiatry. 2011 Oct;68(10):1058-64. doi: 10.1001/archgenpsychiatry.2011.113.