Suppr超能文献

前庭核中速度存储的编码

Coding of Velocity Storage in the Vestibular Nuclei.

作者信息

Yakushin Sergei B, Raphan Theodore, Cohen Bernard

机构信息

Department of Neurology, Icahn School of Medicine at Mount Sinai, New York, NY, United States.

Department of Computer and Information Science, Brooklyn College (CUNY), Brooklyn, NY, United States.

出版信息

Front Neurol. 2017 Aug 16;8:386. doi: 10.3389/fneur.2017.00386. eCollection 2017.

Abstract

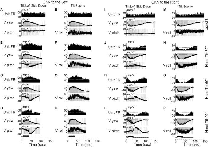
Semicircular canal afferents sense angular acceleration and output angular velocity with a short time constant of ≈4.5 s. This output is prolonged by a central integrative network, velocity storage that lengthens the time constants of eye velocity. This mechanism utilizes canal, otolith, and visual (optokinetic) information to align the axis of eye velocity toward the spatial vertical when head orientation is off-vertical axis. Previous studies indicated that vestibular-only (VO) and vestibular-pause-saccade (VPS) neurons located in the medial and superior vestibular nucleus could code all aspects of velocity storage. A recently developed technique enabled prolonged recording while animals were rotated and received optokinetic stimulation about a spatial vertical axis while upright, side-down, prone, and supine. Firing rates of 33 VO and 8 VPS neurons were studied in alert cynomolgus monkeys. Majority VO neurons were closely correlated with the horizontal component of velocity storage in head coordinates, regardless of head orientation in space. Approximately, half of all tested neurons (46%) code horizontal component of velocity in head coordinates, while the other half (54%) changed their firing rates as the head was oriented relative to the spatial vertical, coding the horizontal component of eye velocity in spatial coordinates. Some VO neurons only coded the cross-coupled pitch or roll components that move the axis of eye rotation toward the spatial vertical. Sixty-five percent of these VO and VPS neurons were more sensitive to rotation in one direction (predominantly contralateral), providing directional orientation for the subset of VO neurons on either side of the brainstem. This indicates that the three-dimensional velocity storage integrator is composed of directional subsets of neurons that are likely to be the bases for the spatial characteristics of velocity storage. Most VPS neurons ceased firing during drowsiness, but the firing rates of VO neurons were unaffected by states of alertness and declined with the time constant of velocity storage. Thus, the VO neurons are the prime components of the mechanism of coding for velocity storage, whereas the VPS neurons are likely to provide the path from the vestibular to the oculomotor system for the VO neurons.

摘要

半规管传入神经感知角加速度,并以约4.5秒的短时间常数输出角速度。该输出通过一个中央整合网络——速度存储得到延长,速度存储延长了眼速度的时间常数。当头部方向偏离垂直轴时,该机制利用半规管、耳石和视觉(视动)信息将眼速度轴对准空间垂直方向。先前的研究表明,位于内侧和上前庭核的仅前庭(VO)神经元和前庭暂停扫视(VPS)神经元可以编码速度存储的所有方面。一种最近开发的技术能够在动物直立、侧卧、俯卧和仰卧时围绕空间垂直轴旋转并接受视动刺激的同时进行长时间记录。在清醒的食蟹猴中研究了33个VO神经元和8个VPS神经元的放电率。大多数VO神经元与头部坐标中速度存储的水平分量密切相关,而与头部在空间中的方向无关。大约一半的测试神经元(46%)编码头部坐标中速度的水平分量,而另一半(54%)随着头部相对于空间垂直方向的定向而改变其放电率,编码空间坐标中眼速度的水平分量。一些VO神经元仅编码使眼旋转轴朝向空间垂直方向移动的交叉耦合俯仰或横滚分量。这些VO和VPS神经元中有65%对一个方向(主要是对侧)的旋转更敏感,为脑干两侧的VO神经元子集提供方向定向。这表明三维速度存储积分器由神经元的方向性子集组成,这些子集可能是速度存储空间特征的基础。大多数VPS神经元在嗜睡期间停止放电,但VO神经元的放电率不受警觉状态的影响,并随速度存储的时间常数下降。因此,VO神经元是速度存储编码机制的主要组成部分,而VPS神经元可能为VO神经元提供从前庭到动眼系统的路径。

https://cdn.ncbi.nlm.nih.gov/pmc/blobs/3e76/5561016/2c2650eb2b62/fneur-08-00386-g001.jpg

文献AI研究员

20分钟写一篇综述,助力文献阅读效率提升50倍。

立即体验

用中文搜PubMed

大模型驱动的PubMed中文搜索引擎

马上搜索

文档翻译

学术文献翻译模型,支持多种主流文档格式。

立即体验