Suppr超能文献

受疫苗接种意见交流影响的多重网络中的疫情传播

Epidemic spreading in multiplex networks influenced by opinion exchanges on vaccination.

作者信息

Alvarez-Zuzek Lucila G, La Rocca Cristian E, Iglesias José R, Braunstein Lidia A

机构信息

Instituto de Investigaciones Físicas de Mar del Plata (IFIMAR-CONICET), Facultad de Ciencias Exactas y Naturales, Universidad Nacional de Mar del Plata, Déan Funes 3350, Mar del Plata, Argentina.

Programa de Pós-Graduação em Economia, Escola de Gestão e Negócios, UNISINOS, 93022-000, São Leopoldo, RS, Brazil.

出版信息

PLoS One. 2017 Nov 9;12(11):e0186492. doi: 10.1371/journal.pone.0186492. eCollection 2017.

Abstract

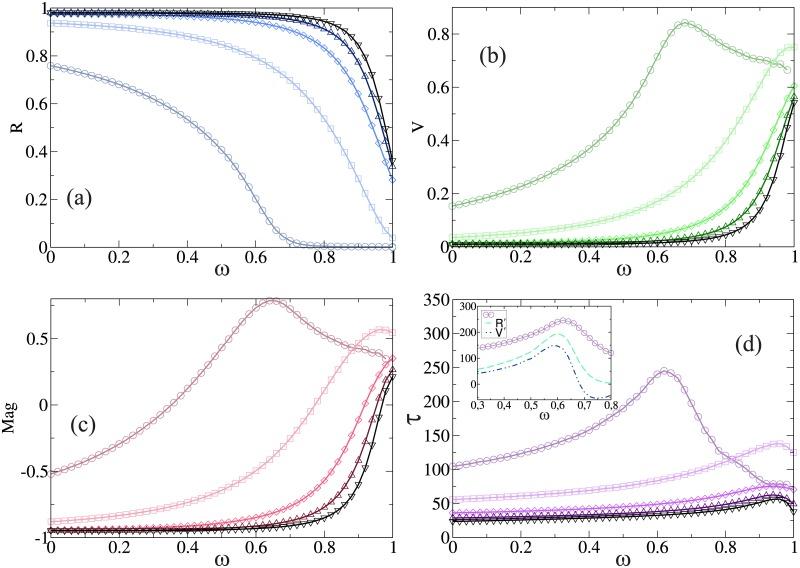
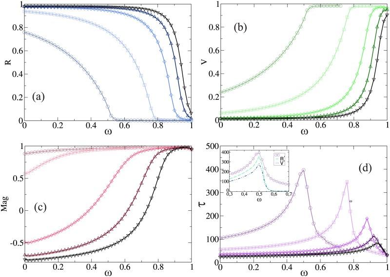
Through years, the use of vaccines has always been a controversial issue. People in a society may have different opinions about how beneficial the vaccines are and as a consequence some of those individuals decide to vaccinate or not themselves and their relatives. This attitude in face of vaccines has clear consequences in the spread of diseases and their transformation in epidemics. Motivated by this scenario, we study, in a simultaneous way, the changes of opinions about vaccination together with the evolution of a disease. In our model we consider a multiplex network consisting of two layers. One of the layers corresponds to a social network where people share their opinions and influence others opinions. The social model that rules the dynamic is the M-model, which takes into account two different processes that occurs in a society: persuasion and compromise. This two processes are related through a parameter r, r < 1 describes a moderate and committed society, for r > 1 the society tends to have extremist opinions, while r = 1 represents a neutral society. This social network may be of real or virtual contacts. On the other hand, the second layer corresponds to a network of physical contacts where the disease spreading is described by the SIR-Model. In this model the individuals may be in one of the following four states: Susceptible (S), Infected(I), Recovered (R) or Vaccinated (V). A Susceptible individual can: i) get vaccinated, if his opinion in the other layer is totally in favor of the vaccine, ii) get infected, with probability β if he is in contact with an infected neighbor. Those I individuals recover after a certain period tr = 6. Vaccinated individuals have an extremist positive opinion that does not change. We consider that the vaccine has a certain effectiveness ω and as a consequence vaccinated nodes can be infected with probability β(1 - ω) if they are in contact with an infected neighbor. In this case, if the infection process is successful, the new infected individual changes his opinion from extremist positive to totally against the vaccine. We find that depending on the trend in the opinion of the society, which depends on r, different behaviors in the spread of the epidemic occurs. An epidemic threshold was found, in which below β* and above ω* the diseases never becomes an epidemic, and it varies with the opinion parameter r.

摘要

多年来,疫苗的使用一直是一个有争议的问题。社会中的人们对于疫苗的益处可能有不同看法,因此一些人会决定自己和亲属是否接种疫苗。面对疫苗的这种态度在疾病传播及其演变为流行病方面有着明显的后果。受这种情况的驱使,我们同时研究关于接种疫苗的观点变化以及疾病的演变。在我们的模型中,我们考虑一个由两层组成的多重网络。其中一层对应一个社交网络,人们在这个网络中分享观点并影响他人的观点。支配动态的社会模型是M模型,它考虑了社会中发生的两个不同过程:说服和妥协。这两个过程通过参数r相关联,r < 1描述一个温和且坚定的社会,r > 1时社会倾向于有极端观点,而r = 1代表一个中立社会。这个社交网络可以是真实的或虚拟的联系。另一方面,第二层对应一个身体接触网络,疾病传播由SIR模型描述。在这个模型中,个体可能处于以下四种状态之一:易感(S)、感染(I)、康复(R)或接种(V)。一个易感个体可以:i)如果他在另一层的观点完全支持疫苗,就进行接种;ii)如果他与一个感染邻居接触,有β的概率被感染。那些I个体在一定时期tr = 6后康复。接种个体有极端积极的观点且不会改变。我们认为疫苗有一定的有效性ω,因此接种的节点如果与感染邻居接触,有β(1 - ω)的概率被感染。在这种情况下,如果感染过程成功,新感染的个体将其观点从极端积极转变为完全反对疫苗。我们发现,取决于社会观点的趋势(这取决于r),流行病传播会出现不同行为。发现了一个流行阈值,在β以下且ω以上,疾病永远不会成为流行病,并且它会随观点参数r而变化。

https://cdn.ncbi.nlm.nih.gov/pmc/blobs/9ed1/5679524/33f115f27261/pone.0186492.g001.jpg

文献AI研究员

20分钟写一篇综述,助力文献阅读效率提升50倍。

立即体验

用中文搜PubMed

大模型驱动的PubMed中文搜索引擎

马上搜索

文档翻译

学术文献翻译模型,支持多种主流文档格式。

立即体验