Suppr超能文献

食品防腐剂(丁基羟基茴香醚、二丁基羟基甲苯)对四氯化碳诱导的大鼠肝毒性的保肝作用。

Hepatoprotective effect of food preservatives (butylated hydroxyanisole, butylated hydroxytoluene) on carbon tetrachloride-induced hepatotoxicity in rat.

作者信息

Dassarma Barsha, Nandi Dilip K, Gangopadhyay Somnath, Samanta Saptadip

机构信息

Department of Physiology, Midnapore College, Midnapore, 721101, West Bengal, India.

Department of Physiology and Nutrition, Raja N.L. Khan Women's College, Midnapore, 721102, West Bengal, India.

出版信息

Toxicol Rep. 2017 Nov 12;5:31-37. doi: 10.1016/j.toxrep.2017.12.009. eCollection 2018.

Abstract

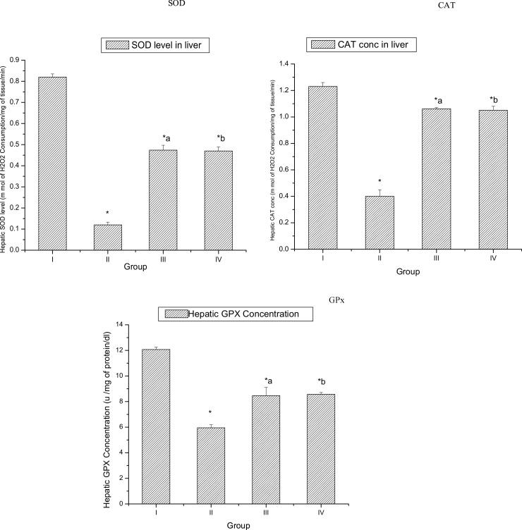
Carbon tetrachloride (CCl), a hepatotoxic agent is widely used to study the toxic mechanisms in experimental animals. This study was carried out to establish the hepatoprotective measures of food preservative antioxidants butylated hydroxyanisole and butylated hydroxytolune (BHA, BHT) when mixed with food towards carbon tetrachloride (CCl) intoxication (230 mg/ kg b wt/rat/day) in rat. Biochemical markers like serum glutamate pyruvate tranaminase (AST), serum glutamate oxaloacetate transaminase (ALT), alkaline phosphatase (ALP) and bilirubin content, antioxidant enzymes such as SOD, CAT, GPx, and malondialdehyde (MDA) as the end product of lipid peroxidanion were measured. The results had shown the elevated level of AST (121.16%), ALT (124.68%), ALP (122.41%) an, bilirubin content (57.14%) after CCl treatment. Marked decrease of activity of antioxidant enzymes such as SOD (85.36%), CAT (67.47%), GPx (50.7%) had indicated that the ROS mediated toxicity and pretreatment of BHA and BHT restored the activity of these enzymes. High level of MDA content with reduced GSH value was also observed due to oxidative stress. The hepatic antioxidant status was restored with the food preservative (BHA, BHT) antioxidant treatment which had indicated the significant protective effect against CCl induced hepatotoxicity and finally confirmed by histopathological studies.

摘要

四氯化碳(CCl)是一种肝毒性物质,被广泛用于研究实验动物的毒性机制。本研究旨在确定食品防腐剂抗氧化剂丁基羟基茴香醚和丁基羟基甲苯(BHA、BHT)与食物混合时对大鼠四氯化碳(CCl)中毒(230毫克/千克体重/大鼠/天)的肝脏保护措施。检测了血清谷氨酸丙酮酸转氨酶(AST)、血清谷氨酸草酰乙酸转氨酶(ALT)、碱性磷酸酶(ALP)和胆红素含量等生化指标,以及超氧化物歧化酶(SOD)、过氧化氢酶(CAT)、谷胱甘肽过氧化物酶(GPx)等抗氧化酶,还测定了脂质过氧化阴离子的终产物丙二醛(MDA)。结果显示,CCl处理后AST(升高121.16%)、ALT(升高124.68%)、ALP(升高122.41%)和胆红素含量(升高57.14%)水平升高。抗氧化酶如SOD(降低85.36%)、CAT(降低67.47%)、GPx(降低50.7%)活性显著下降,表明活性氧介导了毒性,而BHA和BHT预处理恢复了这些酶的活性。由于氧化应激,还观察到MDA含量升高,谷胱甘肽(GSH)值降低。食品防腐剂(BHA、BHT)抗氧化剂处理恢复了肝脏抗氧化状态,表明对CCl诱导的肝毒性具有显著的保护作用,最终通过组织病理学研究得以证实。

https://cdn.ncbi.nlm.nih.gov/pmc/blobs/53d8/5730417/1777e62e238f/fx1.jpg

文献AI研究员

20分钟写一篇综述,助力文献阅读效率提升50倍。

立即体验

用中文搜PubMed

大模型驱动的PubMed中文搜索引擎

马上搜索

文档翻译

学术文献翻译模型,支持多种主流文档格式。

立即体验