Suppr超能文献

通过催化交叉复分解合成 E-和 Z-三取代烯烃。

Synthesis of E- and Z-trisubstituted alkenes by catalytic cross-metathesis.

机构信息

Department of Chemistry, Merkert Chemistry Center, Boston College, Chestnut Hill, Massachusetts 02467, USA.

Department of Chemistry, Massachusetts Institute of Technology, Cambridge, Massachusetts 02139, USA.

出版信息

Nature. 2017 Dec 20;552(7685):347-354. doi: 10.1038/nature25002.

Abstract

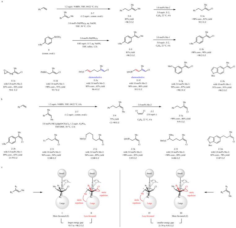
Catalytic cross-metathesis is a central transformation in chemistry, yet corresponding methods for the stereoselective generation of acyclic trisubstituted alkenes in either the E or the Z isomeric forms are not known. The key problems are a lack of chemoselectivity-namely, the preponderance of side reactions involving only the less hindered starting alkene, resulting in homo-metathesis by-products-and the formation of short-lived methylidene complexes. By contrast, in catalytic cross-coupling, substrates are more distinct and homocoupling is less of a problem. Here we show that through cross-metathesis reactions involving E- or Z-trisubstituted alkenes, which are easily prepared from commercially available starting materials by cross-coupling reactions, many desirable and otherwise difficult-to-access linear E- or Z-trisubstituted alkenes can be synthesized efficiently and in exceptional stereoisomeric purity (up to 98 per cent E or 95 per cent Z). The utility of the strategy is demonstrated by the concise stereoselective syntheses of biologically active compounds, such as the antifungal indiacen B and the anti-inflammatory coibacin D.

摘要

催化交叉复分解反应是化学中的核心转化反应,但对于以 E 或 Z 异构体形式立体选择性生成非环三取代烯烃的相应方法却不为人知。关键问题是缺乏化学选择性——即,只有起始烯烃的较少阻碍的侧反应占主导地位,导致同型复分解副产物——以及短寿命亚甲基配合物的形成。相比之下,在催化交叉偶联中,底物更为明显,同偶联问题较少。在这里,我们通过涉及 E-或 Z-三取代烯烃的交叉复分解反应表明,这些烯烃可以很容易地通过交叉偶联反应从商业上可获得的起始原料中制备,许多所需的且难以获得的线性 E-或 Z-三取代烯烃可以高效地合成,且具有非凡的立体异构体纯度(高达 98%的 E 或 95%的 Z)。该策略的实用性通过生物活性化合物的简洁立体选择性合成得到了证明,例如抗真菌的吲哚 B 和抗炎的考巴嗪 D。

https://cdn.ncbi.nlm.nih.gov/pmc/blobs/029b/5967255/4da6703beaee/nihms917306f6.jpg

文献AI研究员

20分钟写一篇综述,助力文献阅读效率提升50倍。

立即体验

用中文搜PubMed

大模型驱动的PubMed中文搜索引擎

马上搜索

文档翻译

学术文献翻译模型,支持多种主流文档格式。

立即体验